Logo ROOT   6.08/07
Reference Guide
testUnfold3.C File Reference

Detailed Description

View in nbviewer Open in SWAN Simple Test program for the class TUnfoldDensity

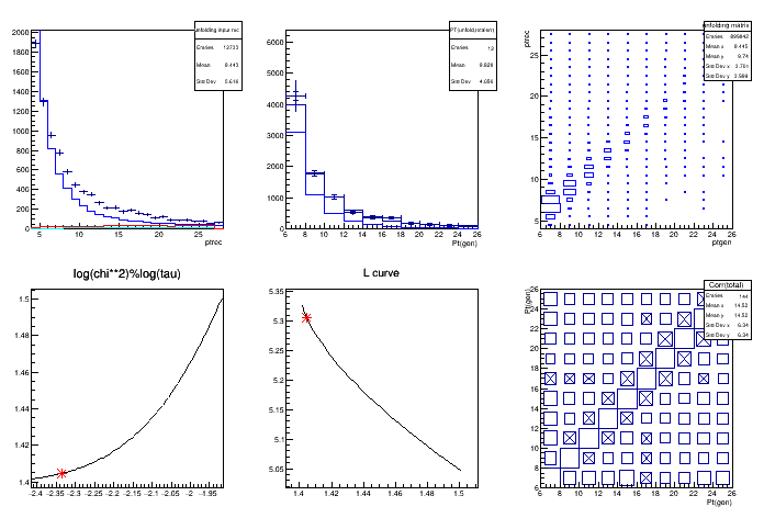
1-dimensional unfolding with background subtraction

the goal is to unfold the underlying "true" distribution of a variable Pt

the reconstructed Pt is measured in 24 bins from 4 to 28 the generator-level Pt is unfolded into 10 bins from 6 to 26 plus underflow bin from 0 to 6 plus overflow bin above 26 there are two background sources bgr1 and bgr2 the signal has a finite trigger efficiency at a threshold of 8 GeV

one type of systematic error is studied, where the signal parameters are changed

Finally, the unfolding is compared to a "bin-by-bin" correction method

History:

pict1_testUnfold3.C.png
Processing /mnt/build/workspace/root-makedoc-v608/rootspi/rdoc/src/v6-08-00-patches/tutorials/math/testUnfold3.C...
TUnfold version is V17.1
chi**2=25.3912+4.28619 / 11
bin truth result (stat) (bgr) (sys)
===+=====+=========+========+========+=======
1 4002 4261.3 +/-137.0 +/- 8.9 +/-473.2 (unfolding)
4190.1 +/-128.7 +/-104.7 +/-266.3 (bin-by-bin)
2 1816 1775.1 +/- 82.0 +/- 7.3 +/- 25.2 (unfolding)
1714.1 +/- 61.0 +/- 17.0 +/- 70.8 (bin-by-bin)
3 1011 1020.9 +/- 60.1 +/- 6.7 +/- 24.8 (unfolding)
959.5 +/- 40.9 +/- 9.2 +/- 43.3 (bin-by-bin)
4 593 526.9 +/- 45.2 +/- 6.1 +/- 15.0 (unfolding)
506.2 +/- 27.9 +/- 6.6 +/- 45.2 (bin-by-bin)
5 379 371.6 +/- 38.6 +/- 6.5 +/- 19.8 (unfolding)
351.8 +/- 22.6 +/- 6.0 +/- 29.2 (bin-by-bin)
6 256 341.5 +/- 34.4 +/- 6.0 +/- 9.2 (unfolding)
282.5 +/- 19.2 +/- 5.2 +/- 46.6 (bin-by-bin)
7 193 182.0 +/- 30.1 +/- 5.7 +/- 7.5 (unfolding)
177.7 +/- 15.8 +/- 4.9 +/- 22.5 (bin-by-bin)
8 137 147.1 +/- 28.4 +/- 5.6 +/- 7.0 (unfolding)
133.6 +/- 13.9 +/- 4.5 +/- 20.5 (bin-by-bin)
9 123 109.6 +/- 26.3 +/- 5.4 +/- 10.4 (unfolding)
98.6 +/- 12.1 +/- 4.1 +/- 20.7 (bin-by-bin)
10 78 100.7 +/- 24.7 +/- 6.1 +/- 8.4 (unfolding)
89.7 +/- 13.2 +/- 5.0 +/- 17.1 (bin-by-bin)
#include <TMath.h>
#include <TCanvas.h>
#include <TRandom3.h>
#include <TFitter.h>
#include <TF1.h>
#include <TStyle.h>
#include <TVector.h>
#include <TGraph.h>
#include "TUnfoldDensity.h"
using namespace std;
TRandom *rnd=0;
Double_t GenerateEvent(const Double_t *parm,
const Double_t *triggerParm,
Double_t *intLumi,
Bool_t *triggerFlag,
Double_t *ptGen,Int_t *iType)
{
// generate an event
// input:
// parameters for the event generator
// return value:
// reconstructed Pt
// output to pointers:
// integrated luminosity
// several variables only accessible on generator level
//
// the parm array defines the physical parameters
// parm[0]: background source 1 fraction
// parm[1]: background source 2 fraction
// parm[2]: lower limit of generated Pt distribution
// parm[3]: upper limit of generated Pt distribution
// parm[4]: exponent for Pt distribution signal
// parm[5]: exponent for Pt distribution background 1
// parm[6]: exponent for Pt distribution background 2
// parm[7]: resolution parameter a goes with sqrt(Pt)
// parm[8]: resolution parameter b goes with Pt
// triggerParm[0]: trigger threshold turn-on position
// triggerParm[1]: trigger threshold turn-on width
// triggerParm[2]: trigger efficiency for high pt
//
// intLumi is advanced bu 1 for each *generated* event
// for data, several events may be generated, until one passes the trigger
//
// some generator-level quantities are also returned:
// triggerFlag: whether the event passed the trigger threshold
// ptGen: the generated pt
// iType: which type of process was simulated
//
// the "triggerFlag" also has another meaning:
// if(triggerFlag==0) only triggered events are returned
//
// Usage to generate data events
// ptObs=GenerateEvent(parm,triggerParm,0,0,0)
//
// Usage to generate MC events
// ptGen=GenerateEvent(parm,triggerParm,&triggerFlag,&ptGen,&iType);
//
Double_t ptObs;
Bool_t isTriggered=kFALSE;
do {
Int_t itype;
Double_t ptgen;
Double_t f=rnd->Rndm();
// decide whether this is background or signal
itype=0;
if(f<parm[0]) itype=1;
else if(f<parm[0]+parm[1]) itype=2;
// generate Pt according to distribution pow(ptgen,a)
// get exponent
Double_t a=parm[4+itype];
Double_t a1=a+1.0;
Double_t t=rnd->Rndm();
if(a1 == 0.0) {
Double_t x0=TMath::Log(parm[2]);
ptgen=TMath::Exp(t*(TMath::Log(parm[3])-x0)+x0);
} else {
Double_t x0=pow(parm[2],a1);
ptgen=pow(t*(pow(parm[3],a1)-x0)+x0,1./a1);
}
if(iType) *iType=itype;
if(ptGen) *ptGen=ptgen;
// smearing in Pt with large asymmetric tail
TMath::Sqrt(parm[7]*parm[7]*ptgen+parm[8]*parm[8]*ptgen*ptgen);
ptObs=rnd->BreitWigner(ptgen,sigma);
// decide whether event was triggered
Double_t triggerProb =
triggerParm[2]/(1.+TMath::Exp((triggerParm[0]-ptObs)/triggerParm[1]));
isTriggered= rnd->Rndm()<triggerProb;
(*intLumi) ++;
} while((!triggerFlag) && (!isTriggered));
// return trigger decision
if(triggerFlag) *triggerFlag=isTriggered;
return ptObs;
}
//int main(int argc, char *argv[])
void testUnfold3()
{
// switch on histogram errors
// show fit result
gStyle->SetOptFit(1111);
// random generator
rnd=new TRandom3();
// data and MC luminosities
Double_t const lumiData= 30000;
Double_t const lumiMC =1000000;
//========================
// Step 1: define binning, book histograms
// reconstructed pt (fine binning)
Int_t const nDet=24;
Double_t const xminDet=4.0;
Double_t const xmaxDet=28.0;
// generated pt (coarse binning)
Int_t const nGen=10;
Double_t const xminGen= 6.0;
Double_t const xmaxGen=26.0;
//==================================================================
// book histograms
// (1) unfolding input: binning scheme is fine for detector,coarse for gen
// histUnfoldInput : reconstructed data, binning for unfolding
// histUnfoldMatrix : generated vs reconstructed distribution
// histUnfoldBgr1 : background source1, as predicted by MC
// histUnfoldBgr2 : background source2, as predicted by MC
// for systematic studies
// histUnfoldMatrixSys : generated vs reconstructed with different signal
//
// (2) histograms required for bin-by-bin method
// histDetDATAbbb : reconstructed data for bin-by-bin
// histDetMCbbb : reconstructed MC for bin-by-bin
// histDetMCBgr1bbb : reconstructed MC bgr1 for bin-by-bin
// histDetMCBgr2bbb : reconstructed MC bgr2 for bin-by-bin
// histDetMCBgrPtbbb : reconstructed MC bgr from low/high pt for bin-by-bin
// histGenMCbbb : generated MC truth
// for systematic studies
// histDetMCSysbbb : reconstructed with changed trigger
// histGenMCSysbbb : generated MC truth
//
// (3) monitoring and control
// histGenData : data truth for bias tests
// histDetMC : MC prediction
// (1) create histograms required for unfolding
TH1D *histUnfoldInput=
new TH1D("unfolding input rec",";ptrec",nDet,xminDet,xmaxDet);
TH2D *histUnfoldMatrix=
new TH2D("unfolding matrix",";ptgen;ptrec",
nGen,xminGen,xmaxGen,nDet,xminDet,xmaxDet);
TH1D *histUnfoldBgr1=
new TH1D("unfolding bgr1 rec",";ptrec",nDet,xminDet,xmaxDet);
TH1D *histUnfoldBgr2=
new TH1D("unfolding bgr2 rec",";ptrec",nDet,xminDet,xmaxDet);
TH2D *histUnfoldMatrixSys=
new TH2D("unfolding matrix sys",";ptgen;ptrec",
nGen,xminGen,xmaxGen,nDet,xminDet,xmaxDet);
// (2) histograms required for bin-by-bin
TH1D *histBbbInput=
new TH1D("bbb input rec",";ptrec",nGen,xminGen,xmaxGen);
TH1D *histBbbSignalRec=
new TH1D("bbb signal rec",";ptrec",nGen,xminGen,xmaxGen);
TH1D *histBbbBgr1=
new TH1D("bbb bgr1 rec",";ptrec",nGen,xminGen,xmaxGen);
TH1D *histBbbBgr2=
new TH1D("bbb bgr2 rec",";ptrec",nGen,xminGen,xmaxGen);
TH1D *histBbbBgrPt=
new TH1D("bbb bgrPt rec",";ptrec",nGen,xminGen,xmaxGen);
TH1D *histBbbSignalGen=
new TH1D("bbb signal gen",";ptgen",nGen,xminGen,xmaxGen);
TH1D *histBbbSignalRecSys=
new TH1D("bbb signal sys rec",";ptrec",nGen,xminGen,xmaxGen);
TH1D *histBbbBgrPtSys=
new TH1D("bbb bgrPt sys rec",";ptrec",nGen,xminGen,xmaxGen);
TH1D *histBbbSignalGenSys=
new TH1D("bbb signal sys gen",";ptgen",nGen,xminGen,xmaxGen);
// (3) control histograms
TH1D *histDataTruth=
new TH1D("DATA truth gen",";ptgen",nGen,xminGen,xmaxGen);
TH1D *histDetMC=
new TH1D("MC prediction rec",";ptrec",nDet,xminDet,xmaxDet);
// ==============================================================
// Step 2: generate data distributions
//
// data parameters: in real life these are unknown
static Double_t parm_DATA[]={
0.05, // fraction of background 1 (on generator level)
0.05, // fraction of background 2 (on generator level)
3.5, // lower Pt cut (generator level)
100.,// upper Pt cut (generator level)
-3.0,// signal exponent
0.1, // background 1 exponent
-0.5, // background 2 exponent
0.2, // energy resolution a term
0.01, // energy resolution b term
};
static Double_t triggerParm_DATA[]={8.0, // threshold is 8 GeV
4.0, // width is 4 GeV
0.95 // high Pt efficiency os 95%
};
Double_t intLumi=0.0;
while(intLumi<lumiData) {
Int_t iTypeGen;
Bool_t isTriggered;
Double_t ptGen;
Double_t ptObs=GenerateEvent(parm_DATA,triggerParm_DATA,&intLumi,
&isTriggered,&ptGen,&iTypeGen);
if(isTriggered) {
// (1) histogram for unfolding
histUnfoldInput->Fill(ptObs);
// (2) histogram for bin-by-bin
histBbbInput->Fill(ptObs);
}
// (3) monitoring
if(iTypeGen==0) histDataTruth->Fill(ptGen);
}
// ==============================================================
// Step 3: generate default MC distributions
//
// MC parameters
// default settings
static Double_t parm_MC[]={
0.05, // fraction of background 1 (on generator level)
0.05, // fraction of background 2 (on generator level)
3.5, // lower Pt cut (generator level)
100.,// upper Pt cut (generator level)
-4.0,// signal exponent !!! steeper than in data
// to illustrate bin-by-bin bias
0.1, // background 1 exponent
-0.5, // background 2 exponent
0.2, // energy resolution a term
0.01, // energy resolution b term
};
static Double_t triggerParm_MC[]={8.0, // threshold is 8 GeV
4.0, // width is 4 GeV
0.95 // high Pt efficiency is 95%
};
// weighting factor to accomodate for the different luminosity in data and MC
Double_t lumiWeight = lumiData/lumiMC;
intLumi=0.0;
while(intLumi<lumiMC) {
Int_t iTypeGen;
Bool_t isTriggered;
Double_t ptGen;
Double_t ptObs=GenerateEvent(parm_MC,triggerParm_MC,&intLumi,&isTriggered,
&ptGen,&iTypeGen);
if(!isTriggered) ptObs=0.0;
// (1) distribution required for unfolding
if(iTypeGen==0) {
histUnfoldMatrix->Fill(ptGen,ptObs,lumiWeight);
} else if(iTypeGen==1) {
histUnfoldBgr1->Fill(ptObs,lumiWeight);
} else if(iTypeGen==2) {
histUnfoldBgr2->Fill(ptObs,lumiWeight);
}
// (2) distributions for bbb
if(iTypeGen==0) {
if((ptGen>=xminGen)&&(ptGen<xmaxGen)) {
histBbbSignalRec->Fill(ptObs,lumiWeight);
} else {
histBbbBgrPt->Fill(ptObs,lumiWeight);
}
histBbbSignalGen->Fill(ptGen,lumiWeight);
} else if(iTypeGen==1) {
histBbbBgr1->Fill(ptObs,lumiWeight);
} else if(iTypeGen==2) {
histBbbBgr2->Fill(ptObs,lumiWeight);
}
// (3) control distribution
histDetMC ->Fill(ptObs,lumiWeight);
}
// ==============================================================
// Step 4: generate MC distributions for systematic study
// example: study dependence on initial signal shape
// -> BGR distributions do not change
static Double_t parm_MC_SYS[]={
0.05, // fraction of background: unchanged
0.05, // fraction of background: unchanged
3.5, // lower Pt cut (generator level)
100.,// upper Pt cut (generator level)
-2.0, // signal exponent changed
0.1, // background 1 exponent
-0.5, // background 2 exponent
0.2, // energy resolution a term
0.01, // energy resolution b term
};
intLumi=0.0;
while(intLumi<lumiMC) {
Int_t iTypeGen;
Bool_t isTriggered;
Double_t ptGen;
Double_t ptObs=GenerateEvent(parm_MC_SYS,triggerParm_MC,&intLumi,
&isTriggered,&ptGen,&iTypeGen);
if(!isTriggered) ptObs=0.0;
// (1) for unfolding
if(iTypeGen==0) {
histUnfoldMatrixSys->Fill(ptGen,ptObs);
}
// (2) for bin-by-bin
if(iTypeGen==0) {
if((ptGen>=xminGen)&&(ptGen<xmaxGen)) {
histBbbSignalRecSys->Fill(ptObs);
} else {
histBbbBgrPtSys->Fill(ptObs);
}
histBbbSignalGenSys->Fill(ptGen);
}
}
// this method is new in version 16 of TUnfold
cout<<"TUnfold version is "<<TUnfold::GetTUnfoldVersion()<<"\n";
//========================
// Step 5: unfolding
//
// here one has to decide about the regularisation scheme
// regularize curvature
// preserve the area
TUnfold::EConstraint constraintMode=
// bin content is divided by the bin width
// set up matrix of migrations
regMode,constraintMode,densityFlags);
// define the input vector (the measured data distribution)
unfold.SetInput(histUnfoldInput);
// subtract background, normalized to data luminosity
// with 10% scale error each
Double_t scale_bgr=1.0;
Double_t dscale_bgr=0.1;
unfold.SubtractBackground(histUnfoldBgr1,"background1",scale_bgr,dscale_bgr);
unfold.SubtractBackground(histUnfoldBgr2,"background2",scale_bgr,dscale_bgr);
// add systematic error
unfold.AddSysError(histUnfoldMatrixSys,"signalshape_SYS",
// run the unfolding
Int_t nScan=30;
TSpline *logTauX,*logTauY;
TGraph *lCurve;
// this method scans the parameter tau and finds the kink in the L curve
// finally, the unfolding is done for the best choice of tau
Int_t iBest=unfold.ScanLcurve(nScan,0.,0.,&lCurve,&logTauX,&logTauY);
cout<<"chi**2="<<unfold.GetChi2A()<<"+"<<unfold.GetChi2L()
<<" / "<<unfold.GetNdf()<<"\n";
// save graphs with one point to visualize best choice of tau
Double_t t[1],x[1],y[1];
logTauX->GetKnot(iBest,t[0],x[0]);
logTauY->GetKnot(iBest,t[0],y[0]);
TGraph *bestLcurve=new TGraph(1,x,y);
TGraph *bestLogTauLogChi2=new TGraph(1,t,x);
//===========================
// Step 6: retreive unfolding results
// get unfolding output
// includes the statistical and background errors
// but not the other systematic uncertainties
TH1 *histUnfoldOutput=unfold.GetOutput("PT(unfold,stat+bgrerr)");
// retreive error matrix of statistical errors
TH2 *histEmatStat=unfold.GetEmatrixInput("unfolding stat error matrix");
// retreive full error matrix
// This includes all systematic errors
TH2 *histEmatTotal=unfold.GetEmatrixTotal("unfolding total error matrix");
// create two copies of the unfolded data, one with statistical errors
// the other with total errors
TH1 *histUnfoldStat=new TH1D("PT(unfold,staterr)",";Pt(gen)",
nGen,xminGen,xmaxGen);
TH1 *histUnfoldTotal=new TH1D("PT(unfold,totalerr)",";Pt(gen)",
nGen,xminGen,xmaxGen);
for(Int_t i=0;i<nGen+2;i++) {
Double_t c=histUnfoldOutput->GetBinContent(i);
// histogram with unfolded data and stat errors
histUnfoldStat->SetBinContent(i,c);
histUnfoldStat->SetBinError
(i,TMath::Sqrt(histEmatStat->GetBinContent(i,i)));
// histogram with unfolded data and total errors
histUnfoldTotal->SetBinContent(i,c);
histUnfoldTotal->SetBinError
(i,TMath::Sqrt(histEmatTotal->GetBinContent(i,i)));
}
// create histogram with correlation matrix
TH2D *histCorr=new TH2D("Corr(total)",";Pt(gen);Pt(gen)",
nGen,xminGen,xmaxGen,nGen,xminGen,xmaxGen);
for(Int_t i=0;i<nGen+2;i++) {
Double_t ei,ej;
ei=TMath::Sqrt(histEmatTotal->GetBinContent(i,i));
if(ei<=0.0) continue;
for(Int_t j=0;j<nGen+2;j++) {
ej=TMath::Sqrt(histEmatTotal->GetBinContent(j,j));
if(ej<=0.0) continue;
histCorr->SetBinContent(i,j,histEmatTotal->GetBinContent(i,j)/ei/ej);
}
}
// retreive bgr source 1
TH1 *histDetNormBgr1=unfold.GetBackground("bgr1 normalized",
"background1");
TH1 *histDetNormBgrTotal=unfold.GetBackground("bgr total normalized");
//========================
// Step 7: plots
TCanvas *output = new TCanvas();
output->Divide(3,2);
output->cd(1);
// data, MC prediction, background
histUnfoldInput->SetMinimum(0.0);
histUnfoldInput->Draw("E");
histDetMC->SetMinimum(0.0);
histDetMC->SetLineColor(kBlue);
histDetNormBgrTotal->SetLineColor(kRed);
histDetNormBgr1->SetLineColor(kCyan);
histDetMC->Draw("SAME HIST");
histDetNormBgr1->Draw("SAME HIST");
histDetNormBgrTotal->Draw("SAME HIST");
output->cd(2);
// unfolded data, data truth, MC truth
histUnfoldTotal->SetMinimum(0.0);
histUnfoldTotal->SetMaximum(histUnfoldTotal->GetMaximum()*1.5);
// outer error: total error
histUnfoldTotal->Draw("E");
// middle error: stat+bgr
histUnfoldOutput->Draw("SAME E1");
// inner error: stat only
histUnfoldStat->Draw("SAME E1");
histDataTruth->Draw("SAME HIST");
histBbbSignalGen->SetLineColor(kBlue);
histBbbSignalGen->Draw("SAME HIST");
output->cd(3);
// unfolding matrix
histUnfoldMatrix->SetLineColor(kBlue);
histUnfoldMatrix->Draw("BOX");
// show tau as a function of chi**2
output->cd(4);
logTauX->Draw();
bestLogTauLogChi2->SetMarkerColor(kRed);
bestLogTauLogChi2->Draw("*");
// show the L curve
output->cd(5);
lCurve->Draw("AL");
bestLcurve->SetMarkerColor(kRed);
bestLcurve->Draw("*");
// show correlation matrix
output->cd(6);
histCorr->Draw("BOX");
//============================================================
// step 8: compare results to the so-called bin-by-bin "correction"
std::cout<<"bin truth result (stat) (bgr) (sys)\n";
std::cout<<"===+=====+=========+========+========+=======\n";
for(Int_t i=1;i<=nGen;i++) {
// data contribution in this bin
Double_t data=histBbbInput->GetBinContent(i);
Double_t errData=histBbbInput->GetBinError(i);
// subtract background contributions
Double_t data_bgr=data
- scale_bgr*(histBbbBgr1->GetBinContent(i)
+ histBbbBgr2->GetBinContent(i)
+ histBbbBgrPt->GetBinContent(i));
Double_t errData_bgr=TMath::Sqrt
(errData*errData+
TMath::Power(dscale_bgr*histBbbBgr1->GetBinContent(i),2)+
TMath::Power(scale_bgr*histBbbBgr1->GetBinError(i),2)+
TMath::Power(dscale_bgr*histBbbBgr2->GetBinContent(i),2)+
TMath::Power(scale_bgr*histBbbBgr2->GetBinError(i),2)+
TMath::Power(dscale_bgr*histBbbBgrPt->GetBinContent(i),2)+
TMath::Power(scale_bgr*histBbbBgrPt->GetBinError(i),2));
// "correct" the data, using the Monte Carlo and neglecting off-diagonals
Double_t fCorr=(histBbbSignalGen->GetBinContent(i)/
histBbbSignalRec->GetBinContent(i));
Double_t data_bbb= data_bgr *fCorr;
// stat only error
Double_t errData_stat_bbb = errData*fCorr;
// stat plus background subtraction
Double_t errData_statbgr_bbb = errData_bgr*fCorr;
// estimate systematic error by repeating the exercise
// using the MC with systematic shifts applied
Double_t fCorr_sys=(histBbbSignalGenSys->GetBinContent(i)/
histBbbSignalRecSys->GetBinContent(i));
Double_t shift_sys= data_bgr*fCorr_sys - data_bbb;
// add systematic shift quadratically and get total error
Double_t errData_total_bbb=
TMath::Sqrt(errData_statbgr_bbb*errData_statbgr_bbb
+shift_sys*shift_sys);
// get results from real unfolding
Double_t data_unfold= histUnfoldStat->GetBinContent(i);
Double_t errData_stat_unfold=histUnfoldStat->GetBinError(i);
Double_t errData_statbgr_unfold=histUnfoldOutput->GetBinError(i);
Double_t errData_total_unfold=histUnfoldTotal->GetBinError(i);
// compare
std::cout<<TString::Format
("%3d %5.0f %8.1f +/-%5.1f +/-%5.1f +/-%5.1f (unfolding)",
i,histDataTruth->GetBinContent(i),data_unfold,
errData_stat_unfold,TMath::Sqrt(errData_statbgr_unfold*
errData_statbgr_unfold-
errData_stat_unfold*
errData_stat_unfold),
TMath::Sqrt(errData_total_unfold*
errData_total_unfold-
errData_statbgr_unfold*
errData_statbgr_unfold))<<"\n";
std::cout<<TString::Format
(" %8.1f +/-%5.1f +/-%5.1f +/-%5.1f (bin-by-bin)",
data_bbb,errData_stat_bbb,TMath::Sqrt(errData_statbgr_bbb*
errData_statbgr_bbb-
errData_stat_bbb*
errData_stat_bbb),
TMath::Sqrt(errData_total_bbb*
errData_total_bbb-
errData_statbgr_bbb*
errData_statbgr_bbb))
<<"\n\n";
}
}
Author
Stefan Schmitt, DESY

Definition in file testUnfold3.C.