Logo ROOT   6.07/09
Reference Guide
fit2d.C File Reference

Detailed Description

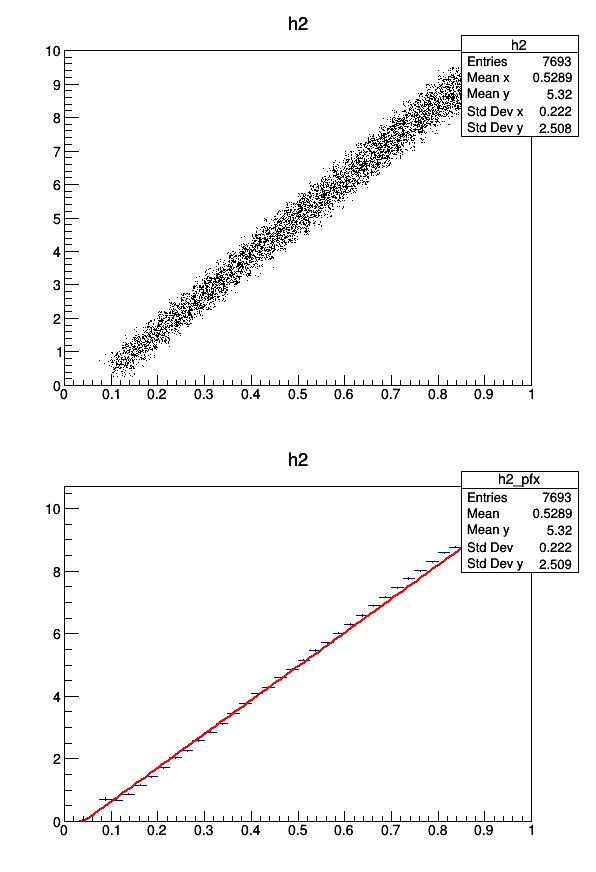
View in nbviewer Open in SWAN Example illustrating how to fit a 2-d histogram of type y=f(x)

pict1_fit2d.C.png
Processing /mnt/vdb/lsf/workspace/root-makedoc-v608/rootspi/rdoc/src/v6-08-00-patches/tutorials/fit/fit2d.C...
****************************************
Minimizer is Linear
Chi2 = 4501.58
NDf = 33
p0 = -0.47055 +/- 0.00713644
p1 = 10.8033 +/- 0.0124078
void fit2d()
{
// generate a 2-d histogram using a TCutG
const Int_t n = 6;
Float_t x[n] = {0.092,0.83,0.94,0.81,0.12,0.1};
Float_t y[n] = {0.71,9.4,9,8,0.3,0.71};
TCutG *cut = new TCutG("cut",n,x,y);
TH2F *h2 = new TH2F("h2","h2",40,0,1,40,0,10);
for (Int_t i=0;i<100000;i++) {
u = gRandom->Rndm();
v = 10*gRandom->Rndm();
if (cut->IsInside(u,v)) h2->Fill(u,v);
}
TCanvas *c1 = new TCanvas("c1","show profile",600,900);
c1->Divide(1,2);
c1->cd(1);
h2->Draw();
c1->cd(2);
//use a TProfile to convert the 2-d to 1-d problem
TProfile *prof = h2->ProfileX();
prof->Fit("pol1");
}
Author
Rene Brun

Definition in file fit2d.C.