Logo ROOT   6.07/09
Reference Guide
rf315_projectpdf.C File Reference

Detailed Description

;;;; View in nbviewer Open in SWAN 'MULTIDIMENSIONAL MODELS' RooFit tutorial macro #315

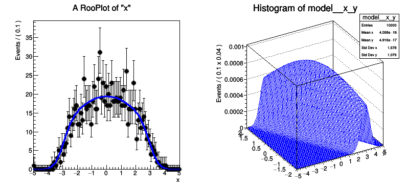
Marginizalization of multi-dimensional p.d.f.s through integration

pict1_rf315_projectpdf.C.png
Processing /mnt/vdb/lsf/workspace/root-makedoc-v608/rootspi/rdoc/src/v6-08-00-patches/tutorials/roofit/rf315_projectpdf.C...
RooFit v3.60 -- Developed by Wouter Verkerke and David Kirkby
Copyright (C) 2000-2013 NIKHEF, University of California & Stanford University
All rights reserved, please read http://roofit.sourceforge.net/license.txt
[#1] INFO:NumericIntegration -- RooRealIntegral::init([gaussy_NORM[y]_X_gaussx_NORM[x]]_Int[y]) using numeric integrator RooIntegrator1D to calculate Int(y)
[#1] INFO:NumericIntegration -- RooRealIntegral::init([gaussy_NORM[y]_X_gaussx_NORM[x]]_Int[y]) using numeric integrator RooIntegrator1D to calculate Int(y)
[#1] INFO:Minization -- RooMinimizer::optimizeConst: activating const optimization
[#1] INFO:Minization -- The following expressions will be evaluated in cache-and-track mode: (gaussx)
[#0] WARNING:Minization -- RooMinimizerFcn::synchronize: WARNING: no initial error estimate available for a1: using 0.4
**********
** 1 **SET PRINT 1
**********
**********
** 2 **SET NOGRAD
**********
PARAMETER DEFINITIONS:
NO. NAME VALUE STEP SIZE LIMITS
1 a1 -1.50000e+00 4.00000e-01 -3.00000e+00 1.00000e+00
**********
** 3 **SET ERR 0.5
**********
**********
** 4 **SET PRINT 1
**********
**********
** 5 **SET STR 1
**********
NOW USING STRATEGY 1: TRY TO BALANCE SPEED AGAINST RELIABILITY
**********
** 6 **MIGRAD 500 1
**********
FIRST CALL TO USER FUNCTION AT NEW START POINT, WITH IFLAG=4.
prevFCN = 1900.156536 START MIGRAD MINIMIZATION. STRATEGY 1. CONVERGENCE WHEN EDM .LT. 1.00e-03
a1=-1.491,
prevFCN = 1900.000822 a1=-1.509,
prevFCN = 1900.423606 a1=-1.499,
prevFCN = 1900.135899 a1=-1.501,
prevFCN = 1900.178287 FCN=1900.16 FROM MIGRAD STATUS=INITIATE 4 CALLS 5 TOTAL
EDM= unknown STRATEGY= 1 NO ERROR MATRIX
EXT PARAMETER CURRENT GUESS STEP FIRST
NO. NAME VALUE ERROR SIZE DERIVATIVE
1 a1 -1.50000e+00 4.00000e-01 2.08372e-01 -4.77802e+01
ERR DEF= 0.5
a1=-1.484,
prevFCN = 1899.958651 a1=-1.483,
prevFCN = 1899.959675 a1=-1.484,
prevFCN = 1899.958586 a1=-1.484,
prevFCN = 1899.958497 a1=-1.483,
prevFCN = 1899.958935 a1=-1.485,
prevFCN = 1899.958964 MIGRAD MINIMIZATION HAS CONVERGED.
MIGRAD WILL VERIFY CONVERGENCE AND ERROR MATRIX.
a1=-1.484,
prevFCN = 1899.958497 a1=-1.483,
prevFCN = 1899.958935 a1=-1.485,
prevFCN = 1899.958964 a1=-1.484,
prevFCN = 1899.958512 a1=-1.484,
prevFCN = 1899.958518 COVARIANCE MATRIX CALCULATED SUCCESSFULLY
FCN=1899.96 FROM MIGRAD STATUS=CONVERGED 15 CALLS 16 TOTAL
EDM=2.41873e-07 STRATEGY= 1 ERROR MATRIX ACCURATE
EXT PARAMETER STEP FIRST
NO. NAME VALUE ERROR SIZE DERIVATIVE
1 a1 -1.48409e+00 2.51054e-02 3.89173e-04 -3.80132e-02
ERR DEF= 0.5
EXTERNAL ERROR MATRIX. NDIM= 25 NPAR= 1 ERR DEF=0.5
6.303e-04
a1=-1.484, **********
** 7 **SET ERR 0.5
**********
**********
** 8 **SET PRINT 1
**********
**********
** 9 **HESSE 500
**********
prevFCN = 1899.958497 a1=-1.484,
prevFCN = 1899.958512 a1=-1.484,
prevFCN = 1899.958518 a1=-1.484,
prevFCN = 1899.958497 a1=-1.484,
prevFCN = 1899.958498 COVARIANCE MATRIX CALCULATED SUCCESSFULLY
FCN=1899.96 FROM HESSE STATUS=OK 5 CALLS 21 TOTAL
EDM=2.42353e-07 STRATEGY= 1 ERROR MATRIX ACCURATE
EXT PARAMETER INTERNAL INTERNAL
NO. NAME VALUE ERROR STEP SIZE VALUE
1 a1 -1.48409e+00 2.51054e-02 7.78346e-05 -2.44471e-01
ERR DEF= 0.5
EXTERNAL ERROR MATRIX. NDIM= 25 NPAR= 1 ERR DEF=0.5
6.303e-04
a1=-1.484, [#1] INFO:Minization -- RooMinimizer::optimizeConst: deactivating const optimization
[#1] INFO:NumericIntegration -- RooRealIntegral::init([gaussy_NORM[y]_X_gaussx_NORM[x]]_Int[y]) using numeric integrator RooIntegrator1D to calculate Int(y)
#include "RooRealVar.h"
#include "RooDataHist.h"
#include "RooGaussian.h"
#include "RooProdPdf.h"
#include "RooPolyVar.h"
#include "TH1.h"
#include "TCanvas.h"
#include "TAxis.h"
#include "RooPlot.h"
#include "RooConstVar.h"
using namespace RooFit ;
void rf315_projectpdf()
{
// C r e a t e p d f m ( x , y ) = g x ( x | y ) * g ( y )
// --------------------------------------------------------------
// Increase default precision of numeric integration
// as this exercise has high sensitivity to numeric integration precision
// Create observables
RooRealVar x("x","x",-5,5) ;
RooRealVar y("y","y",-2,2) ;
// Create function f(y) = a0 + a1*y
RooRealVar a0("a0","a0",0) ;
RooRealVar a1("a1","a1",-1.5,-3,1) ;
RooPolyVar fy("fy","fy",y,RooArgSet(a0,a1)) ;
// Create gaussx(x,f(y),sx)
RooRealVar sigmax("sigmax","width of gaussian",0.5) ;
RooGaussian gaussx("gaussx","Gaussian in x with shifting mean in y",x,fy,sigmax) ;
// Create gaussy(y,0,2)
RooGaussian gaussy("gaussy","Gaussian in y",y,RooConst(0),RooConst(2)) ;
// Create gaussx(x,sx|y) * gaussy(y)
RooProdPdf model("model","gaussx(x|y)*gaussy(y)",gaussy,Conditional(gaussx,x)) ;
// M a r g i n a l i z e m ( x , y ) t o m ( x )
// ----------------------------------------------------
// modelx(x) = Int model(x,y) dy
RooAbsPdf* modelx = model.createProjection(y) ;
// U s e m a r g i n a l i z e d p . d . f . a s r e g u l a r 1 - D p . d . f .
// ------------------------------------------------------------------------------------------
// Sample 1000 events from modelx
RooAbsData* data = modelx->generateBinned(x,1000) ;
// Fit modelx to toy data
modelx->fitTo(*data,Verbose()) ;
// Plot modelx over data
RooPlot* frame = x.frame(40) ;
data->plotOn(frame) ;
modelx->plotOn(frame) ;
// Make 2D histogram of model(x,y)
TH1* hh = model.createHistogram("x,y") ;
hh->SetLineColor(kBlue) ;
TCanvas* c = new TCanvas("rf315_projectpdf","rf315_projectpdf",800,400) ;
c->Divide(2) ;
c->cd(1) ; gPad->SetLeftMargin(0.15) ; frame->GetYaxis()->SetTitleOffset(1.4) ; frame->Draw() ;
c->cd(2) ; gPad->SetLeftMargin(0.20) ; hh->GetZaxis()->SetTitleOffset(2.5) ; hh->Draw("surf") ;
}
Author
07/2008 - Wouter Verkerke

Definition in file rf315_projectpdf.C.