Logo ROOT  
Reference Guide
 
Loading...
Searching...
No Matches
rf315_projectpdf.C File Reference

Detailed Description

View in nbviewer Open in SWAN
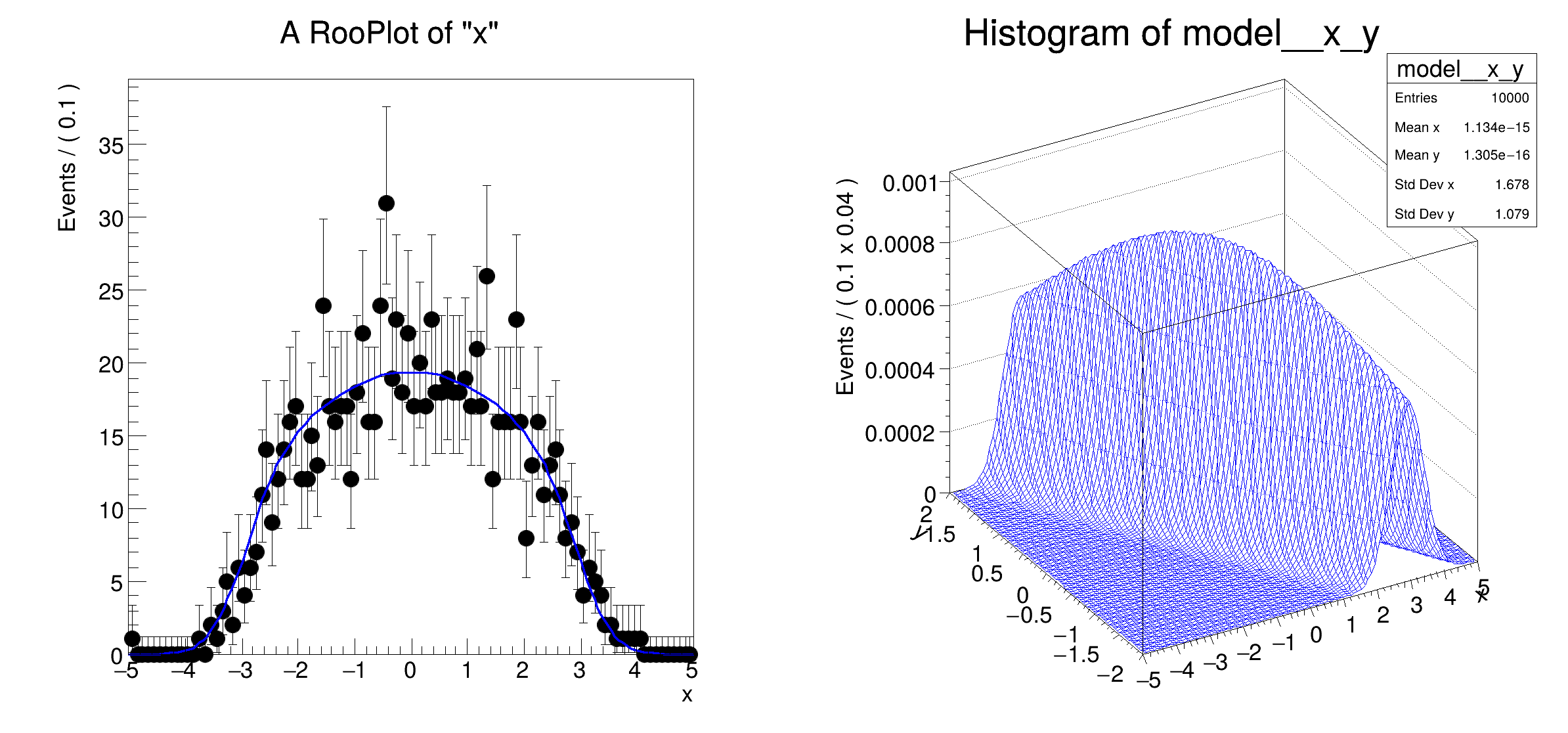
Multidimensional models: marginizalization of multi-dimensional pdfs through integration

#include "RooRealVar.h"
#include "RooDataHist.h"
#include "RooGaussian.h"
#include "RooProdPdf.h"
#include "RooPolyVar.h"
#include "TH1.h"
#include "TCanvas.h"
#include "TAxis.h"
#include "RooPlot.h"
using namespace RooFit;
void rf315_projectpdf()
{
// C r e a t e p d f m ( x , y ) = g x ( x | y ) * g ( y )
// --------------------------------------------------------------
// Increase default precision of numeric integration
// as this exercise has high sensitivity to numeric integration precision
// Create observables
RooRealVar x("x", "x", -5, 5);
RooRealVar y("y", "y", -2, 2);
// Create function f(y) = a0 + a1*y
RooRealVar a0("a0", "a0", 0);
RooRealVar a1("a1", "a1", -1.5, -3, 1);
RooPolyVar fy("fy", "fy", y, RooArgSet(a0, a1));
// Create gaussx(x,f(y),sx)
RooRealVar sigmax("sigmax", "width of gaussian", 0.5);
RooGaussian gaussx("gaussx", "Gaussian in x with shifting mean in y", x, fy, sigmax);
// Create gaussy(y,0,2)
RooGaussian gaussy("gaussy", "Gaussian in y", y, 0.0, 2.0);
// Create gaussx(x,sx|y) * gaussy(y)
RooProdPdf model("model", "gaussx(x|y)*gaussy(y)", gaussy, Conditional(gaussx, x));
// M a r g i n a l i z e m ( x , y ) t o m ( x )
// ----------------------------------------------------
// modelx(x) = Int model(x,y) dy
RooAbsPdf *modelx = model.createProjection(y);
// U s e m a r g i n a l i z e d p . d . f . a s r e g u l a r 1 - D p . d . f .
// ------------------------------------------------------------------------------------------
// Sample 1000 events from modelx
std::unique_ptr<RooAbsData> data{modelx->generateBinned(x, 1000)};
// Fit modelx to toy data
modelx->fitTo(*data, Verbose(), PrintLevel(-1));
// Plot modelx over data
RooPlot *frame = x.frame(40);
data->plotOn(frame);
modelx->plotOn(frame);
// Make 2D histogram of model(x,y)
TH1 *hh = model.createHistogram("x,y");
hh->SetLineColor(kBlue);
TCanvas *c = new TCanvas("rf315_projectpdf", "rf315_projectpdf", 800, 400);
c->Divide(2);
c->cd(1);
gPad->SetLeftMargin(0.15);
frame->GetYaxis()->SetTitleOffset(1.4);
frame->Draw();
c->cd(2);
gPad->SetLeftMargin(0.20);
hh->GetZaxis()->SetTitleOffset(2.5);
hh->Draw("surf");
}
#define c(i)
Definition RSha256.hxx:101
#define e(i)
Definition RSha256.hxx:103
@ kBlue
Definition Rtypes.h:66
ROOT::Detail::TRangeCast< T, true > TRangeDynCast
TRangeDynCast is an adapter class that allows the typed iteration through a TCollection.
Option_t Option_t TPoint TPoint const char GetTextMagnitude GetFillStyle GetLineColor GetLineWidth GetMarkerStyle GetTextAlign GetTextColor GetTextSize void data
#define gPad
Abstract interface for all probability density functions.
Definition RooAbsPdf.h:40
static RooNumIntConfig * defaultIntegratorConfig()
Returns the default numeric integration configuration for all RooAbsReals.
RooArgSet is a container object that can hold multiple RooAbsArg objects.
Definition RooArgSet.h:24
Plain Gaussian p.d.f.
Definition RooGaussian.h:24
Plot frame and a container for graphics objects within that frame.
Definition RooPlot.h:43
static RooPlot * frame(const RooAbsRealLValue &var, double xmin, double xmax, Int_t nBins)
Create a new frame for a given variable in x.
Definition RooPlot.cxx:184
TAxis * GetYaxis() const
Definition RooPlot.cxx:1223
void Draw(Option_t *options=nullptr) override
Draw this plot and all of the elements it contains.
Definition RooPlot.cxx:596
A RooAbsReal implementing a polynomial in terms of a list of RooAbsReal coefficients.
Definition RooPolyVar.h:25
Efficient implementation of a product of PDFs of the form.
Definition RooProdPdf.h:36
Variable that can be changed from the outside.
Definition RooRealVar.h:37
virtual void SetTitleOffset(Float_t offset=1)
Set distance between the axis and the axis title.
Definition TAttAxis.cxx:280
The Canvas class.
Definition TCanvas.h:23
TH1 is the base class of all histogram classes in ROOT.
Definition TH1.h:108
Double_t y[n]
Definition legend1.C:17
Double_t x[n]
Definition legend1.C:17
The namespace RooFit contains mostly switches that change the behaviour of functions of PDFs (or othe...
Definition CodegenImpl.h:65
[#0] WARNING:InputArguments -- The parameter 'sigmax' with range [-inf, inf] of the RooGaussian 'gaussx' exceeds the safe range of (0, inf). Advise to limit its range.
[#1] INFO:NumericIntegration -- RooRealIntegral::init(SPECINT[gaussy_NORM[y]_X_gaussx_NORM[x]]_Int[y]) using numeric integrator RooIntegrator1D to calculate Int(y)
[#1] INFO:Fitting -- RooAbsPdf::fitTo(model_Int[y]_Norm[x,y]) fixing normalization set for coefficient determination to observables in data
[#1] INFO:Fitting -- using generic CPU library compiled with no vectorizations
[#1] INFO:Fitting -- Creation of NLL object took 770.602 μs
[#1] INFO:Fitting -- RooAddition::defaultErrorLevel(nll_model_Int[y]_Norm[x,y]_genData) Summation contains a RooNLLVar, using its error level
[#1] INFO:Minimization -- RooAbsMinimizerFcn::setOptimizeConst: activating const optimization
[#0] WARNING:Minimization -- RooAbsMinimizerFcn::synchronize: WARNING: no initial error estimate available for a1: using 0.4
[#0] WARNING:Minimization -- RooAbsMinimizerFcn::synchronize: WARNING: no initial error estimate available for y: using 0.4
[#1] INFO:NumericIntegration -- RooRealIntegral::init(SPECINT[gaussy_NORM[y]_X_gaussx_NORM[x]]_Int[y]) using numeric integrator RooIntegrator1D to calculate Int(y)
prevFCN = 12037.78496 a1=-1.469,
prevFCN = 1900.132597 a1=-1.531,
prevFCN = 1901.591671 a1=-1.497,
prevFCN = 1900.088181 a1=-1.503,
prevFCN = 1900.238998 a1=-1.5, y=0.03051,
prevFCN = 1900.156536 y=-0.03051,
prevFCN = 1900.156536 y=0.003051,
prevFCN = 1900.156536 y=-0.003051,
prevFCN = 1900.156536 a1=-1.497, y=0,
prevFCN = 1900.088181 a1=-1.485,
prevFCN = 1899.958806 a1=-1.491,
prevFCN = 1899.994382 a1=-1.484,
prevFCN = 1899.958577 a1=-1.485,
prevFCN = 1899.959183 a1=-1.484,
prevFCN = 1899.958511 a1=-1.485,
prevFCN = 1899.960007 a1=-1.485, y=0.0003051,
prevFCN = 1899.958806 y=-0.0003051,
prevFCN = 1899.958806 a1=-1.484, y=0,
prevFCN = 1899.958497 a1=-1.483,
prevFCN = 1899.958952 a1=-1.485,
prevFCN = 1899.95895 a1=-1.484, y=0.003051,
prevFCN = 1899.958497 y=-0.003051,
prevFCN = 1899.958497 y=0,
prevFCN = 1899.958497 a1=-1.483,
prevFCN = 1899.958952 a1=-1.485,
prevFCN = 1899.95895 a1=-1.484, y=0.003051,
prevFCN = 1899.958497 y=-0.003051,
prevFCN = 1899.958497 y=0.03051,
prevFCN = 1899.958497 y=-0.03051,
prevFCN = 1899.958497 y=0.3039,
prevFCN = 1899.958497 y=-0.3039,
prevFCN = 1899.958497 y=0.9764,
prevFCN = 1899.958497 y=-0.9764,
prevFCN = 1899.958497 y=0, [#0] WARNING:Minimization -- RooAbsMinimizerFcn::synchronize: WARNING: no initial error estimate available for a1: using 0.4
[#0] WARNING:Minimization -- RooAbsMinimizerFcn::synchronize: WARNING: no initial error estimate available for y: using 0.4
prevFCN = 1899.958497 a1=-1.483,
prevFCN = 1899.958952 a1=-1.485,
prevFCN = 1899.95895 a1=-1.484, y=0.003051,
prevFCN = 1899.958497 y=-0.003051,
prevFCN = 1899.958497 y=0.03051,
prevFCN = 1899.958497 y=-0.03051,
prevFCN = 1899.958497 y=0.3039,
prevFCN = 1899.958497 y=-0.3039,
prevFCN = 1899.958497 y=0.9764,
prevFCN = 1899.958497 y=-0.9764,
prevFCN = 1899.958497 [#0] ERROR:Minimization -- RooMinimizer::calculateHessErrors() Error when calculating Hessian
y=0, [#1] INFO:Minimization -- RooAbsMinimizerFcn::setOptimizeConst: deactivating const optimization
[#1] INFO:NumericIntegration -- RooRealIntegral::init(SPECINT[gaussy_NORM[y]_X_gaussx_NORM[x]]_Int[y]) using numeric integrator RooIntegrator1D to calculate Int(y)
Date
July 2008
Author
Wouter Verkerke

Definition in file rf315_projectpdf.C.