Special pdf's: using non-parametric (multi-dimensional) kernel estimation pdfs
import ROOT
frame =
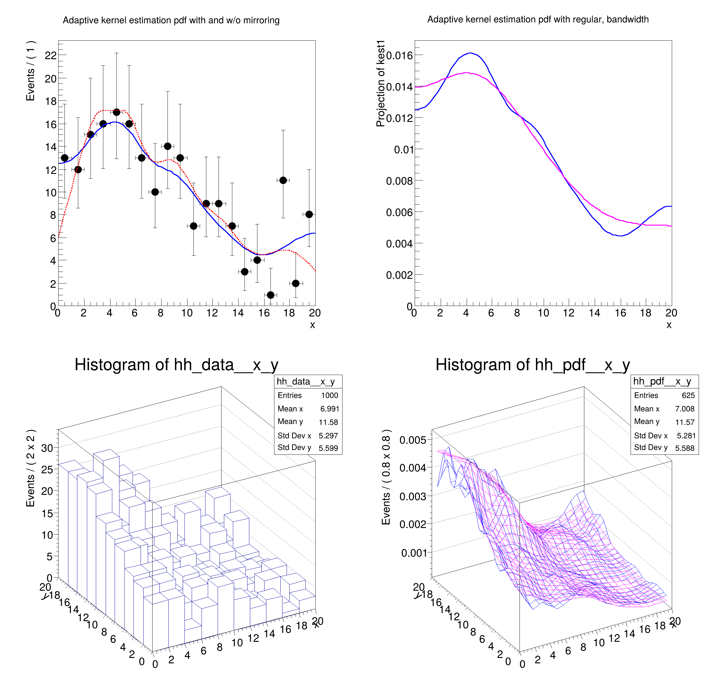
x.frame(Title=
"Adaptive kernel estimation pdf with and w/o mirroring", Bins=20)
frame2 =
x.frame(Title=
"Adaptive kernel estimation pdf with regular, bandwidth")
"py",
"py",
y,
[0.01, 0.01, -0.0004],
)
c =
ROOT.TCanvas(
"rf707_kernelestimation",
"rf707_kernelestimation", 800, 800)
ROOT::Detail::TRangeCast< T, true > TRangeDynCast
TRangeDynCast is an adapter class that allows the typed iteration through a TCollection.
- Date
- February 2018
- Authors
- Clemens Lange, Wouter Verkerke (C++ version)
Definition in file rf707_kernelestimation.py.