Logo ROOT   6.14/05
Reference Guide
rf707_kernelestimation.C File Reference

Detailed Description

View in nbviewer Open in SWAN 'SPECIAL PDFS' RooFit tutorial macro #707

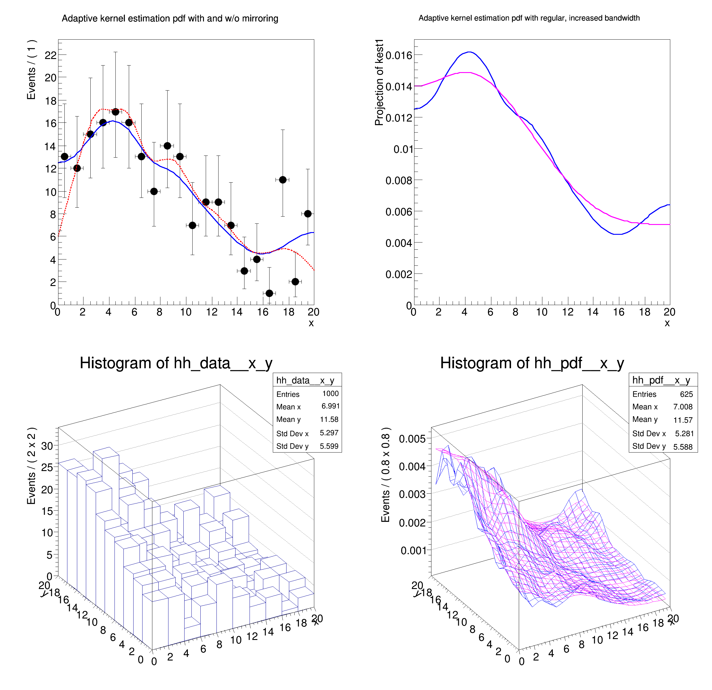
Using non-parametric (multi-dimensional) kernel estimation p.d.f.s

pict1_rf707_kernelestimation.C.png
Processing /mnt/build/workspace/root-makedoc-v614/rootspi/rdoc/src/v6-14-00-patches/tutorials/roofit/rf707_kernelestimation.C...
RooFit v3.60 -- Developed by Wouter Verkerke and David Kirkby
Copyright (C) 2000-2013 NIKHEF, University of California & Stanford University
All rights reserved, please read http://roofit.sourceforge.net/license.txt
#include "RooRealVar.h"
#include "RooDataSet.h"
#include "RooGaussian.h"
#include "RooConstVar.h"
#include "RooPolynomial.h"
#include "RooKeysPdf.h"
#include "RooNDKeysPdf.h"
#include "RooProdPdf.h"
#include "TCanvas.h"
#include "TAxis.h"
#include "TH1.h"
#include "RooPlot.h"
using namespace RooFit ;
void rf707_kernelestimation()
{
// C r e a t e l o w s t a t s 1 - D d a t a s e t
// -------------------------------------------------------
// Create a toy pdf for sampling
RooRealVar x("x","x",0,20) ;
RooPolynomial p("p","p",x,RooArgList(RooConst(0.01),RooConst(-0.01),RooConst(0.0004))) ;
// Sample 500 events from p
RooDataSet* data1 = p.generate(x,200) ;
// C r e a t e 1 - D k e r n e l e s t i m a t i o n p d f
// ---------------------------------------------------------------
// Create adaptive kernel estimation pdf. In this configuration the input data
// is mirrored over the boundaries to minimize edge effects in distribution
// that do not fall to zero towards the edges
RooKeysPdf kest1("kest1","kest1",x,*data1,RooKeysPdf::MirrorBoth) ;
// An adaptive kernel estimation pdf on the same data without mirroring option
// for comparison
RooKeysPdf kest2("kest2","kest2",x,*data1,RooKeysPdf::NoMirror) ;
// Adaptive kernel estimation pdf with increased bandwidth scale factor
// (promotes smoothness over detail preservation)
RooKeysPdf kest3("kest1","kest1",x,*data1,RooKeysPdf::MirrorBoth,2) ;
// Plot kernel estimation pdfs with and without mirroring over data
RooPlot* frame = x.frame(Title("Adaptive kernel estimation pdf with and w/o mirroring"),Bins(20)) ;
data1->plotOn(frame) ;
kest1.plotOn(frame) ;
kest2.plotOn(frame,LineStyle(kDashed),LineColor(kRed)) ;
// Plot kernel estimation pdfs with regular and increased bandwidth
RooPlot* frame2 = x.frame(Title("Adaptive kernel estimation pdf with regular, increased bandwidth")) ;
kest1.plotOn(frame2) ;
kest3.plotOn(frame2,LineColor(kMagenta)) ;
// C r e a t e l o w s t a t s 2 - D d a t a s e t
// -------------------------------------------------------
// Construct a 2D toy pdf for sampling
RooRealVar y("y","y",0,20) ;
RooPolynomial py("py","py",y,RooArgList(RooConst(0.01),RooConst(0.01),RooConst(-0.0004))) ;
RooProdPdf pxy("pxy","pxy",RooArgSet(p,py)) ;
RooDataSet* data2 = pxy.generate(RooArgSet(x,y),1000) ;
// C r e a t e 2 - D k e r n e l e s t i m a t i o n p d f
// ---------------------------------------------------------------
// Create 2D adaptive kernel estimation pdf with mirroring
RooNDKeysPdf kest4("kest4","kest4",RooArgSet(x,y),*data2,"am") ;
// Create 2D adaptive kernel estimation pdf with mirroring and double bandwidth
RooNDKeysPdf kest5("kest5","kest5",RooArgSet(x,y),*data2,"am",2) ;
// Create a histogram of the data
TH1* hh_data = data2->createHistogram("hh_data",x,Binning(10),YVar(y,Binning(10))) ;
// Create histogram of the 2d kernel estimation pdfs
TH1* hh_pdf = kest4.createHistogram("hh_pdf",x,Binning(25),YVar(y,Binning(25))) ;
TH1* hh_pdf2 = kest5.createHistogram("hh_pdf2",x,Binning(25),YVar(y,Binning(25))) ;
hh_pdf->SetLineColor(kBlue) ;
hh_pdf2->SetLineColor(kMagenta) ;
TCanvas* c = new TCanvas("rf707_kernelestimation","rf707_kernelestimation",800,800) ;
c->Divide(2,2) ;
c->cd(1) ; gPad->SetLeftMargin(0.15) ; frame->GetYaxis()->SetTitleOffset(1.4) ; frame->Draw() ;
c->cd(2) ; gPad->SetLeftMargin(0.15) ; frame2->GetYaxis()->SetTitleOffset(1.8) ; frame2->Draw() ;
c->cd(3) ; gPad->SetLeftMargin(0.15) ; hh_data->GetZaxis()->SetTitleOffset(1.4) ; hh_data->Draw("lego") ;
c->cd(4) ; gPad->SetLeftMargin(0.20) ; hh_pdf->GetZaxis()->SetTitleOffset(2.4) ; hh_pdf->Draw("surf") ; hh_pdf2->Draw("surfsame") ;
}
Author
07/2008 - Wouter Verkerke

Definition in file rf707_kernelestimation.C.