Logo ROOT   6.16/01
Reference Guide
OneSidedFrequentistUpperLimitWithBands.C File Reference

Detailed Description

View in nbviewer Open in SWAN OneSidedFrequentistUpperLimitWithBands

This is a standard demo that can be used with any ROOT file prepared in the standard way. You specify:

With default parameters the macro will attempt to run the standard hist2workspace example and read the ROOT file that it produces.

The first ~100 lines define a new test statistic, then the main macro starts. You may want to control:

double confidenceLevel=0.95;
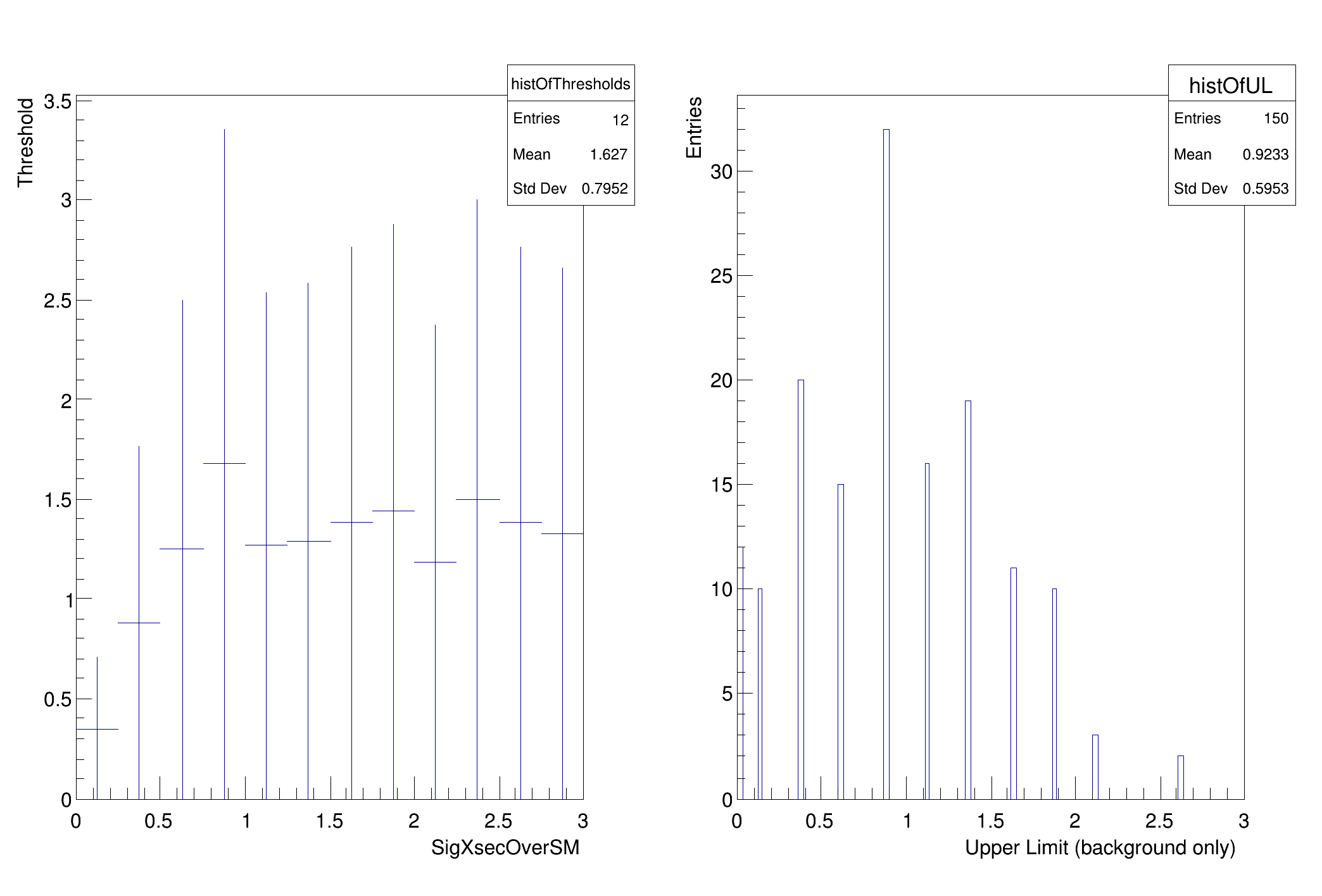
int nPointsToScan = 12;
int nToyMC = 150;

This uses a modified version of the profile likelihood ratio as a test statistic for upper limits (eg. test stat = 0 if muhat>mu).

Based on the observed data, one defines a set of parameter points to be tested based on the value of the parameter of interest and the conditional MLE (eg. profiled) values of the nuisance parameters.

At each parameter point, pseudo-experiments are generated using this fixed reference model and then the test statistic is evaluated. Note, the nuisance parameters are floating in the fits. For each point, the threshold that defines the 95% acceptance region is found. This forms a "Confidence Belt".

After constructing the confidence belt, one can find the confidence interval for any particular dataset by finding the intersection of the observed test statistic and the confidence belt. First this is done on the observed data to get an observed 1-sided upper limt.

Finally, there expected limit and bands (from background-only) are formed by generating background-only data and finding the upper limit. This is done by hand for now, will later be part of the RooStats tools.

On a technical note, this technique is NOT the Feldman-Cousins technique, because that is a 2-sided interval BY DEFINITION. However, like the Feldman-Cousins technique this is a Neyman-Construction. For technical reasons the easiest way to implement this right now is to use the FeldmanCousins tool and then change the test statistic that it is using.

Building the confidence belt can be computationally expensive. Once it is built, one could save it to a file and use it in a separate step.

We can use PROOF to speed things along in parallel, however, the test statistic has to be installed on the workers so either turn off PROOF or include the modified test statistic in your $ROOTSYS/roofit/roostats/inc directory, add the additional line to the LinkDef.h file, and recompile root.

Note, if you have a boundary on the parameter of interest (eg. cross-section) the threshold on the one-sided test statistic starts off very small because we are only including downward fluctuations. You can see the threshold in these printouts:

[#0] PROGRESS:Generation -- generated toys: 500 / 999
NeymanConstruction: Prog: 12/50 total MC = 39 this test stat = 0
SigXsecOverSM=0.69 alpha_syst1=0.136515 alpha_syst3=0.425415 beta_syst2=1.08496 [-1e+30, 0.011215] in interval = 1
#define e(i)
Definition: RSha256.hxx:103
static unsigned int total
@ Generation
Definition: RooGlobalFunc.h:57
Definition: test.py:1

this tells you the values of the parameters being used to generate the pseudo-experiments and the threshold in this case is 0.011215. One would expect for 95% that the threshold would be ~1.35 once the cross-section is far enough away from 0 that it is essentially unaffected by the boundary. As one reaches the last points in the scan, the theshold starts to get artificially high. This is because the range of the parameter in the fit is the same as the range in the scan. In the future, these should be independently controlled, but they are not now. As a result the ~50% of pseudo-experiments that have an upward fluctuation end up with muhat = muMax. Because of this, the upper range of the parameter should be well above the expected upper limit... but not too high or one will need a very large value of nPointsToScan to resolve the relevant region. This can be improved, but this is the first version of this script.

Important note: when the model includes external constraint terms, like a Gaussian constraint to a nuisance parameter centered around some nominal value there is a subtlety. The asymptotic results are all based on the assumption that all the measurements fluctuate... including the nominal values from auxiliary measurements. If these do not fluctuate, this corresponds to an "conditional ensemble". The result is that the distribution of the test statistic can become very non-chi^2. This results in thresholds that become very large. This can be seen in the following thought experiment. Say the model is \( Pois(N | s + b)G(b0|b,sigma) \) where \( G(b0|b,sigma) \) is the external constraint and b0 is 100. If N is also 100 then the profiled value of b given s is going to be some trade off between 100-s and b0. If sigma is \( \sqrt(N) \), then the profiled value of b is probably 100 - s/2 So for s=60 we are going to have a profiled value of b~70. Now when we generate pseudo-experiments for s=60, b=70 we will have N~130 and the average shat will be 30, not 60. In practice, this is only an issue for values of s that are very excluded. For values of s near the 95% limit this should not be a big effect. This can be avoided if the nominal values of the constraints also fluctuate, but that requires that those parameters are RooRealVars in the model. This version does not deal with this issue, but it will be addressed in a future version.

␛[1mRooFit v3.60 -- Developed by Wouter Verkerke and David Kirkby␛[0m
Copyright (C) 2000-2013 NIKHEF, University of California & Stanford University
All rights reserved, please read http://roofit.sourceforge.net/license.txt
FeldmanCousins: ntoys per point = 499
FeldmanCousins: nEvents per toy will fluctuate about expectation
will use global observables for unconditional ensemble
RooArgSet:: = (nom_alpha_syst2,nom_alpha_syst3,nom_gamma_stat_channel1_bin_0,nom_gamma_stat_channel1_bin_1)
=== Using the following for ModelConfig ===
Observables: RooArgSet:: = (obs_x_channel1,weightVar,channelCat)
Parameters of Interest: RooArgSet:: = (SigXsecOverSM)
Nuisance Parameters: RooArgSet:: = (alpha_syst2,alpha_syst3,gamma_stat_channel1_bin_0,gamma_stat_channel1_bin_1)
Global Observables: RooArgSet:: = (nom_alpha_syst2,nom_alpha_syst3,nom_gamma_stat_channel1_bin_0,nom_gamma_stat_channel1_bin_1)
PDF: RooSimultaneous::simPdf[ indexCat=channelCat channel1=model_channel1 ] = 0.174888
FeldmanCousins: Model has nuisance parameters, will do profile construction
FeldmanCousins: # points to test = 12
lookup index = 0
NeymanConstruction: Prog: 1/12 total MC = 499 this test stat = 0
SigXsecOverSM=0.125 alpha_syst2=0.620013 alpha_syst3=0.233371 gamma_stat_channel1_bin_0=1.03213 gamma_stat_channel1_bin_1=1.04741 [-1e+30, 0.352289] in interval = 1
NeymanConstruction: Prog: 2/12 total MC = 499 this test stat = 0
SigXsecOverSM=0.375 alpha_syst2=0.447753 alpha_syst3=0.177838 gamma_stat_channel1_bin_0=1.02318 gamma_stat_channel1_bin_1=1.03602 [-1e+30, 0.880615] in interval = 1
NeymanConstruction: Prog: 3/12 total MC = 499 this test stat = 0
SigXsecOverSM=0.625 alpha_syst2=0.286439 alpha_syst3=0.123101 gamma_stat_channel1_bin_0=1.01471 gamma_stat_channel1_bin_1=1.02485 [-1e+30, 1.24865] in interval = 1
NeymanConstruction: Prog: 4/12 total MC = 499 this test stat = 0
SigXsecOverSM=0.875 alpha_syst2=0.135227 alpha_syst3=0.0712312 gamma_stat_channel1_bin_0=1.00681 gamma_stat_channel1_bin_1=1.01342 [-1e+30, 1.67695] in interval = 1
NeymanConstruction: Prog: 5/12 total MC = 499 this test stat = 0.000123982
SigXsecOverSM=1.125 alpha_syst2=-0.0145151 alpha_syst3=0.0140841 gamma_stat_channel1_bin_0=0.999276 gamma_stat_channel1_bin_1=1.00325 [-1e+30, 1.27013] in interval = 1
NeymanConstruction: Prog: 6/12 total MC = 499 this test stat = 0.0914826
SigXsecOverSM=1.375 alpha_syst2=-0.158296 alpha_syst3=-0.0388344 gamma_stat_channel1_bin_0=0.992172 gamma_stat_channel1_bin_1=0.99314 [-1e+30, 1.2931] in interval = 1
NeymanConstruction: Prog: 7/12 total MC = 499 this test stat = 0.348977
SigXsecOverSM=1.625 alpha_syst2=-0.293123 alpha_syst3=-0.0887596 gamma_stat_channel1_bin_0=0.985749 gamma_stat_channel1_bin_1=0.98241 [-1e+30, 1.38422] in interval = 1
NeymanConstruction: Prog: 8/12 total MC = 499 this test stat = 0.767852
SigXsecOverSM=1.875 alpha_syst2=-0.422662 alpha_syst3=-0.140488 gamma_stat_channel1_bin_0=0.979598 gamma_stat_channel1_bin_1=0.972408 [-1e+30, 1.44103] in interval = 1
NeymanConstruction: Prog: 9/12 total MC = 499 this test stat = 1.34349
SigXsecOverSM=2.125 alpha_syst2=-0.544231 alpha_syst3=-0.191113 gamma_stat_channel1_bin_0=0.973832 gamma_stat_channel1_bin_1=0.962561 [-1e+30, 1.18511] in interval = 0
NeymanConstruction: Prog: 10/12 total MC = 499 this test stat = 2.07144
SigXsecOverSM=2.375 alpha_syst2=-0.657507 alpha_syst3=-0.240928 gamma_stat_channel1_bin_0=0.968401 gamma_stat_channel1_bin_1=0.952927 [-1e+30, 1.49941] in interval = 0
NeymanConstruction: Prog: 11/12 total MC = 499 this test stat = 2.94737
SigXsecOverSM=2.625 alpha_syst2=-0.763071 alpha_syst3=-0.290559 gamma_stat_channel1_bin_0=0.963225 gamma_stat_channel1_bin_1=0.943651 [-1e+30, 1.38056] in interval = 0
NeymanConstruction: Prog: 12/12 total MC = 499 this test stat = 3.9668
SigXsecOverSM=2.875 alpha_syst2=-0.861426 alpha_syst3=-0.338746 gamma_stat_channel1_bin_0=0.958365 gamma_stat_channel1_bin_1=0.934518 [-1e+30, 1.33024] in interval = 0
[#1] INFO:Eval -- 8 points in interval
95% interval on SigXsecOverSM is : [0.125, 1.875]
[#1] INFO:Minization -- p.d.f. provides expected number of events, including extended term in likelihood.
[#1] INFO:Minization -- createNLL picked up cached consraints from workspace with 6 entries
[#1] INFO:Minization -- Including the following contraint terms in minimization: (lumiConstraint,alpha_syst1Constraint,alpha_syst2Constraint,alpha_syst3Constraint,gamma_stat_channel1_bin_0_constraint,gamma_stat_channel1_bin_1_constraint)
[#1] INFO:Minization -- RooProfileLL::evaluate(nll_simPdf_obsData_with_constr_Profile[SigXsecOverSM]) Creating instance of MINUIT
[#1] INFO:Fitting -- RooAddition::defaultErrorLevel(nll_simPdf_obsData_with_constr) Summation contains a RooNLLVar, using its error level
[#1] INFO:Minization -- RooProfileLL::evaluate(nll_simPdf_obsData_with_constr_Profile[SigXsecOverSM]) determining minimum likelihood for current configurations w.r.t all observable
RooAbsTestStatistic::initSimMode: creating slave calculator #0 for state channel1 (2 dataset entries)
[#1] INFO:Fitting -- RooAbsTestStatistic::initSimMode: created 1 slave calculators.
[#1] INFO:Minization -- RooProfileLL::evaluate(nll_simPdf_obsData_with_constr_Profile[SigXsecOverSM]) minimum found at (SigXsecOverSM=1.11573)
.
Will use these parameter points to generate pseudo data for bkg only
1) 0x55860ffd7650 RooRealVar:: alpha_syst2 = 0.71117 +/- 0.914105 L(-5 - 5) "alpha_syst2"
2) 0x55860ffb92b0 RooRealVar:: alpha_syst3 = 0.261459 +/- 0.9291 L(-5 - 5) "alpha_syst3"
3) 0x55860ffa3ab0 RooRealVar:: gamma_stat_channel1_bin_0 = 1.03677 +/- 0.0462899 L(0 - 1.25) "gamma_stat_channel1_bin_0"
4) 0x55860ff9db10 RooRealVar:: gamma_stat_channel1_bin_1 = 1.05319 +/- 0.0761205 L(0 - 1.5) "gamma_stat_channel1_bin_1"
5) 0x55860ff8e990 RooRealVar:: SigXsecOverSM = 0 +/- 0 L(0 - 3) B(12) "SigXsecOverSM"
-2 sigma band 6.91895e-310
-1 sigma band 0.345 [Power Constraint)]
median of band 0.855
+1 sigma band 1.605
+2 sigma band 2.085
observed 95% upper-limit 1.875
CLb strict [P(toy>obs|0)] for observed 95% upper-limit 0.946667
CLb inclusive [P(toy>=obs|0)] for observed 95% upper-limit 0.946667
#include "TFile.h"
#include "TROOT.h"
#include "TH1F.h"
#include "TCanvas.h"
#include "TSystem.h"
#include "RooWorkspace.h"
#include "RooAbsData.h"
using namespace RooFit;
using namespace RooStats;
bool useProof = false; // flag to control whether to use Proof
int nworkers = 0; // number of workers (default use all available cores)
// -------------------------------------------------------
// The actual macro
void OneSidedFrequentistUpperLimitWithBands(const char* infile = "",
const char* workspaceName = "combined",
const char* modelConfigName = "ModelConfig",
const char* dataName = "obsData") {
double confidenceLevel=0.95;
int nPointsToScan = 12;
int nToyMC = 150;
// -------------------------------------------------------
// First part is just to access a user-defined file
// or create the standard example file if it doesn't exist
const char* filename = "";
if (!strcmp(infile,"")) {
filename = "results/example_combined_GaussExample_model.root";
bool fileExist = !gSystem->AccessPathName(filename); // note opposite return code
// if file does not exists generate with histfactory
if (!fileExist) {
#ifdef _WIN32
cout << "HistFactory file cannot be generated on Windows - exit" << endl;
return;
#endif
// Normally this would be run on the command line
cout <<"will run standard hist2workspace example"<<endl;
gROOT->ProcessLine(".! prepareHistFactory .");
gROOT->ProcessLine(".! hist2workspace config/example.xml");
cout <<"\n\n---------------------"<<endl;
cout <<"Done creating example input"<<endl;
cout <<"---------------------\n\n"<<endl;
}
}
else
filename = infile;
// Try to open the file
TFile *file = TFile::Open(filename);
// if input file was specified byt not found, quit
if(!file ){
cout <<"StandardRooStatsDemoMacro: Input file " << filename << " is not found" << endl;
return;
}
// -------------------------------------------------------
// Now get the data and workspace
// get the workspace out of the file
RooWorkspace* w = (RooWorkspace*) file->Get(workspaceName);
if(!w){
cout <<"workspace not found" << endl;
return;
}
// get the modelConfig out of the file
ModelConfig* mc = (ModelConfig*) w->obj(modelConfigName);
// get the modelConfig out of the file
RooAbsData* data = w->data(dataName);
// make sure ingredients are found
if(!data || !mc){
w->Print();
cout << "data or ModelConfig was not found" <<endl;
return;
}
// -------------------------------------------------------
// Now get the POI for convenience
// you may want to adjust the range of your POI
RooRealVar* firstPOI = (RooRealVar*) mc->GetParametersOfInterest()->first();
/* firstPOI->setMin(0);*/
/* firstPOI->setMax(10);*/
// --------------------------------------------
// Create and use the FeldmanCousins tool
// to find and plot the 95% confidence interval
// on the parameter of interest as specified
// in the model config
// REMEMBER, we will change the test statistic
// so this is NOT a Feldman-Cousins interval
FeldmanCousins fc(*data,*mc);
fc.SetConfidenceLevel(confidenceLevel);
fc.AdditionalNToysFactor(0.5); // degrade/improve sampling that defines confidence belt: in this case makes the example faster
/* fc.UseAdaptiveSampling(true); // speed it up a bit, don't use for expected limits*/
fc.SetNBins(nPointsToScan); // set how many points per parameter of interest to scan
fc.CreateConfBelt(true); // save the information in the belt for plotting
// -------------------------------------------------------
// Feldman-Cousins is a unified limit by definition
// but the tool takes care of a few things for us like which values
// of the nuisance parameters should be used to generate toys.
// so let's just change the test statistic and realize this is
// no longer "Feldman-Cousins" but is a fully frequentist Neyman-Construction.
/* ProfileLikelihoodTestStatModified onesided(*mc->GetPdf());*/
/* fc.GetTestStatSampler()->SetTestStatistic(&onesided);*/
/* ((ToyMCSampler*) fc.GetTestStatSampler())->SetGenerateBinned(true); */
ToyMCSampler* toymcsampler = (ToyMCSampler*) fc.GetTestStatSampler();
ProfileLikelihoodTestStat* testStat = dynamic_cast<ProfileLikelihoodTestStat*>(toymcsampler->GetTestStatistic());
testStat->SetOneSided(true);
// Since this tool needs to throw toy MC the PDF needs to be
// extended or the tool needs to know how many entries in a dataset
// per pseudo experiment.
// In the 'number counting form' where the entries in the dataset
// are counts, and not values of discriminating variables, the
// datasets typically only have one entry and the PDF is not
// extended.
if(!mc->GetPdf()->canBeExtended()){
if(data->numEntries()==1)
fc.FluctuateNumDataEntries(false);
else
cout <<"Not sure what to do about this model" <<endl;
}
// We can use PROOF to speed things along in parallel
// However, the test statistic has to be installed on the workers
// so either turn off PROOF or include the modified test statistic
// in your `$ROOTSYS/roofit/roostats/inc` directory,
// add the additional line to the LinkDef.h file,
// and recompile root.
if (useProof) {
ProofConfig pc(*w, nworkers, "", false);
toymcsampler->SetProofConfig(&pc); // enable proof
}
if(mc->GetGlobalObservables()){
cout << "will use global observables for unconditional ensemble"<<endl;
mc->GetGlobalObservables()->Print();
toymcsampler->SetGlobalObservables(*mc->GetGlobalObservables());
}
// Now get the interval
PointSetInterval* interval = fc.GetInterval();
ConfidenceBelt* belt = fc.GetConfidenceBelt();
// print out the interval on the first Parameter of Interest
cout << "\n95% interval on " <<firstPOI->GetName()<<" is : ["<<
interval->LowerLimit(*firstPOI) << ", "<<
interval->UpperLimit(*firstPOI) <<"] "<<endl;
// get observed UL and value of test statistic evaluated there
RooArgSet tmpPOI(*firstPOI);
double observedUL = interval->UpperLimit(*firstPOI);
firstPOI->setVal(observedUL);
double obsTSatObsUL = fc.GetTestStatSampler()->EvaluateTestStatistic(*data,tmpPOI);
// Ask the calculator which points were scanned
RooDataSet* parameterScan = (RooDataSet*) fc.GetPointsToScan();
RooArgSet* tmpPoint;
// make a histogram of parameter vs. threshold
TH1F* histOfThresholds = new TH1F("histOfThresholds","",
parameterScan->numEntries(),
firstPOI->getMin(),
firstPOI->getMax());
histOfThresholds->GetXaxis()->SetTitle(firstPOI->GetName());
histOfThresholds->GetYaxis()->SetTitle("Threshold");
// loop through the points that were tested and ask confidence belt
// what the upper/lower thresholds were.
// For FeldmanCousins, the lower cut off is always 0
for(Int_t i=0; i<parameterScan->numEntries(); ++i){
tmpPoint = (RooArgSet*) parameterScan->get(i)->clone("temp");
//cout <<"get threshold"<<endl;
double arMax = belt->GetAcceptanceRegionMax(*tmpPoint);
double poiVal = tmpPoint->getRealValue(firstPOI->GetName()) ;
histOfThresholds->Fill(poiVal,arMax);
}
TCanvas* c1 = new TCanvas();
c1->Divide(2);
c1->cd(1);
histOfThresholds->SetMinimum(0);
histOfThresholds->Draw();
c1->cd(2);
// -------------------------------------------------------
// Now we generate the expected bands and power-constraint
// First: find parameter point for mu=0, with conditional MLEs for nuisance parameters
RooAbsReal* nll = mc->GetPdf()->createNLL(*data);
RooAbsReal* profile = nll->createProfile(*mc->GetParametersOfInterest());
firstPOI->setVal(0.);
profile->getVal(); // this will do fit and set nuisance parameters to profiled values
RooArgSet* poiAndNuisance = new RooArgSet();
if(mc->GetNuisanceParameters())
poiAndNuisance->add(*mc->GetNuisanceParameters());
poiAndNuisance->add(*mc->GetParametersOfInterest());
w->saveSnapshot("paramsToGenerateData",*poiAndNuisance);
RooArgSet* paramsToGenerateData = (RooArgSet*) poiAndNuisance->snapshot();
cout << "\nWill use these parameter points to generate pseudo data for bkg only" << endl;
paramsToGenerateData->Print("v");
RooArgSet unconditionalObs;
unconditionalObs.add(*mc->GetObservables());
unconditionalObs.add(*mc->GetGlobalObservables()); // comment this out for the original conditional ensemble
double CLb=0;
double CLbinclusive=0;
// Now we generate background only and find distribution of upper limits
TH1F* histOfUL = new TH1F("histOfUL","",100,0,firstPOI->getMax());
histOfUL->GetXaxis()->SetTitle("Upper Limit (background only)");
histOfUL->GetYaxis()->SetTitle("Entries");
for(int imc=0; imc<nToyMC; ++imc){
// set parameters back to values for generating pseudo data
// cout << "\n get current nuis, set vals, print again" << endl;
w->loadSnapshot("paramsToGenerateData");
// poiAndNuisance->Print("v");
RooDataSet* toyData = 0;
// now generate a toy dataset
if(!mc->GetPdf()->canBeExtended()){
if(data->numEntries()==1)
toyData = mc->GetPdf()->generate(*mc->GetObservables(),1);
else
cout <<"Not sure what to do about this model" <<endl;
} else{
// cout << "generating extended dataset"<<endl;
toyData = mc->GetPdf()->generate(*mc->GetObservables(),Extended());
}
// generate global observables
// need to be careful for simpdf
// RooDataSet* globalData = mc->GetPdf()->generate(*mc->GetGlobalObservables(),1);
RooSimultaneous* simPdf = dynamic_cast<RooSimultaneous*>(mc->GetPdf());
if(!simPdf){
RooDataSet *one = mc->GetPdf()->generate(*mc->GetGlobalObservables(), 1);
const RooArgSet *values = one->get();
RooArgSet *allVars = mc->GetPdf()->getVariables();
*allVars = *values;
delete allVars;
delete values;
delete one;
} else {
//try fix for sim pdf
TIterator* iter = simPdf->indexCat().typeIterator() ;
RooCatType* tt = NULL;
while((tt=(RooCatType*) iter->Next())) {
// Get pdf associated with state from simpdf
RooAbsPdf* pdftmp = simPdf->getPdf(tt->GetName()) ;
// Generate only global variables defined by the pdf associated with this state
RooArgSet* globtmp = pdftmp->getObservables(*mc->GetGlobalObservables()) ;
RooDataSet* tmp = pdftmp->generate(*globtmp,1) ;
// Transfer values to output placeholder
*globtmp = *tmp->get(0) ;
// Cleanup
delete globtmp ;
delete tmp ;
}
}
// globalData->Print("v");
// unconditionalObs = *globalData->get();
// mc->GetGlobalObservables()->Print("v");
// delete globalData;
// cout << "toy data = " << endl;
// toyData->get()->Print("v");
// get test stat at observed UL in observed data
firstPOI->setVal(observedUL);
double toyTSatObsUL = fc.GetTestStatSampler()->EvaluateTestStatistic(*toyData,tmpPOI);
// toyData->get()->Print("v");
// cout <<"obsTSatObsUL " <<obsTSatObsUL << "toyTS " << toyTSatObsUL << endl;
if(obsTSatObsUL < toyTSatObsUL) // not sure about <= part yet
CLb+= (1.)/nToyMC;
if(obsTSatObsUL <= toyTSatObsUL) // not sure about <= part yet
CLbinclusive+= (1.)/nToyMC;
// loop over points in belt to find upper limit for this toy data
double thisUL = 0;
for(Int_t i=0; i<parameterScan->numEntries(); ++i){
tmpPoint = (RooArgSet*) parameterScan->get(i)->clone("temp");
double arMax = belt->GetAcceptanceRegionMax(*tmpPoint);
firstPOI->setVal( tmpPoint->getRealValue(firstPOI->GetName()) );
// double thisTS = profile->getVal();
double thisTS = fc.GetTestStatSampler()->EvaluateTestStatistic(*toyData,tmpPOI);
// cout << "poi = " << firstPOI->getVal()
// << " max is " << arMax << " this profile = " << thisTS << endl;
// cout << "thisTS = " << thisTS<<endl;
if(thisTS<=arMax){
thisUL = firstPOI->getVal();
} else{
break;
}
}
/*
// loop over points in belt to find upper limit for this toy data
double thisUL = 0;
for(Int_t i=0; i<histOfThresholds->GetNbinsX(); ++i){
tmpPoint = (RooArgSet*) parameterScan->get(i)->clone("temp");
cout <<"---------------- "<<i<<endl;
tmpPoint->Print("v");
cout << "from hist " << histOfThresholds->GetBinCenter(i+1) <<endl;
double arMax = histOfThresholds->GetBinContent(i+1);
// cout << " threhold from Hist = aMax " << arMax<<endl;
// double arMax2 = belt->GetAcceptanceRegionMax(*tmpPoint);
// cout << "from scan arMax2 = "<< arMax2 << endl; // not the same due to TH1F not TH1D
// cout << "scan - hist" << arMax2-arMax << endl;
firstPOI->setVal( histOfThresholds->GetBinCenter(i+1));
// double thisTS = profile->getVal();
double thisTS = fc.GetTestStatSampler()->EvaluateTestStatistic(*toyData,tmpPOI);
// cout << "poi = " << firstPOI->getVal()
// << " max is " << arMax << " this profile = " << thisTS << endl;
// cout << "thisTS = " << thisTS<<endl;
// NOTE: need to add a small epsilon term for single precision vs. double precision
if(thisTS<=arMax + 1e-7){
thisUL = firstPOI->getVal();
} else{
break;
}
}
*/
histOfUL->Fill(thisUL);
// for few events, data is often the same, and UL is often the same
// cout << "thisUL = " << thisUL<<endl;
delete toyData;
}
histOfUL->Draw();
c1->SaveAs("one-sided_upper_limit_output.pdf");
// if you want to see a plot of the sampling distribution for a particular scan point:
/*
SamplingDistPlot sampPlot;
int indexInScan = 0;
tmpPoint = (RooArgSet*) parameterScan->get(indexInScan)->clone("temp");
firstPOI->setVal( tmpPoint->getRealValue(firstPOI->GetName()) );
toymcsampler->SetParametersForTestStat(tmpPOI);
SamplingDistribution* samp = toymcsampler->GetSamplingDistribution(*tmpPoint);
sampPlot.AddSamplingDistribution(samp);
sampPlot.Draw();
*/
// Now find bands and power constraint
Double_t* bins = histOfUL->GetIntegral();
TH1F* cumulative = (TH1F*) histOfUL->Clone("cumulative");
cumulative->SetContent(bins);
double band2sigDown, band1sigDown, bandMedian, band1sigUp,band2sigUp;
for(int i=1; i<=cumulative->GetNbinsX(); ++i){
band2sigDown=cumulative->GetBinCenter(i);
band1sigDown=cumulative->GetBinCenter(i);
if(bins[i]<0.5)
bandMedian=cumulative->GetBinCenter(i);
band1sigUp=cumulative->GetBinCenter(i);
band2sigUp=cumulative->GetBinCenter(i);
}
cout << "-2 sigma band " << band2sigDown << endl;
cout << "-1 sigma band " << band1sigDown << " [Power Constraint)]" << endl;
cout << "median of band " << bandMedian << endl;
cout << "+1 sigma band " << band1sigUp << endl;
cout << "+2 sigma band " << band2sigUp << endl;
// print out the interval on the first Parameter of Interest
cout << "\nobserved 95% upper-limit "<< interval->UpperLimit(*firstPOI) <<endl;
cout << "CLb strict [P(toy>obs|0)] for observed 95% upper-limit "<< CLb <<endl;
cout << "CLb inclusive [P(toy>=obs|0)] for observed 95% upper-limit "<< CLbinclusive <<endl;
delete profile;
delete nll;
}
int Int_t
Definition: RtypesCore.h:41
double Double_t
Definition: RtypesCore.h:55
#define gROOT
Definition: TROOT.h:410
R__EXTERN TSystem * gSystem
Definition: TSystem.h:540
static struct mg_connection * fc(struct mg_context *ctx)
Definition: civetweb.c:3728
RooArgSet * getObservables(const RooArgSet &set, Bool_t valueOnly=kTRUE) const
Definition: RooAbsArg.h:194
TIterator * typeIterator() const
Return iterator over all defined states.
RooAbsCollection * snapshot(Bool_t deepCopy=kTRUE) const
Take a snap shot of current collection contents: An owning collection is returned containing clones o...
virtual void Print(Option_t *options=0) const
This method must be overridden when a class wants to print itself.
RooAbsData is the common abstract base class for binned and unbinned datasets.
Definition: RooAbsData.h:37
virtual Int_t numEntries() const
Definition: RooAbsData.cxx:285
RooAbsPdf is the abstract interface for all probability density functions The class provides hybrid a...
Definition: RooAbsPdf.h:41
RooDataSet * generate(const RooArgSet &whatVars, Int_t nEvents, const RooCmdArg &arg1, const RooCmdArg &arg2=RooCmdArg::none(), const RooCmdArg &arg3=RooCmdArg::none(), const RooCmdArg &arg4=RooCmdArg::none(), const RooCmdArg &arg5=RooCmdArg::none())
See RooAbsPdf::generate(const RooArgSet&,const RooCmdArg&,const RooCmdArg&,const RooCmdArg&,...
Definition: RooAbsPdf.h:56
virtual Double_t getMax(const char *name=0) const
virtual Double_t getMin(const char *name=0) const
RooAbsReal is the common abstract base class for objects that represent a real value and implements f...
Definition: RooAbsReal.h:53
virtual RooAbsReal * createProfile(const RooArgSet &paramsOfInterest)
Create a RooProfileLL object that eliminates all nuisance parameters in the present function.
Definition: RooAbsReal.cxx:462
Double_t getVal(const RooArgSet *set=0) const
Evaluate object. Returns either cached value or triggers a recalculation.
Definition: RooAbsReal.h:64
RooArgSet is a container object that can hold multiple RooAbsArg objects.
Definition: RooArgSet.h:28
Double_t getRealValue(const char *name, Double_t defVal=0, Bool_t verbose=kFALSE) const
Get value of a RooAbsReal stored in set with given name.
Definition: RooArgSet.cxx:472
virtual TObject * clone(const char *newname) const
Definition: RooArgSet.h:84
virtual Bool_t add(const RooAbsCollection &col, Bool_t silent=kFALSE)
Add a collection of arguments to this collection by calling add() for each element in the source coll...
Definition: RooArgSet.h:88
RooCatType is an auxilary class for RooAbsCategory and defines a a single category state.
Definition: RooCatType.h:22
RooDataSet is a container class to hold unbinned data.
Definition: RooDataSet.h:31
virtual const RooArgSet * get(Int_t index) const
Return RooArgSet with coordinates of event 'index'.
Definition: RooDataSet.cxx:995
RooRealVar represents a fundamental (non-derived) real valued object.
Definition: RooRealVar.h:36
virtual void setVal(Double_t value)
Set value of variable to 'value'.
Definition: RooRealVar.cxx:204
RooSimultaneous facilitates simultaneous fitting of multiple PDFs to subsets of a given dataset.
const RooAbsCategoryLValue & indexCat() const
RooAbsPdf * getPdf(const char *catName) const
Return the p.d.f associated with the given index category name.
The RooWorkspace is a persistable container for RooFit projects.
Definition: RooWorkspace.h:43
RooAbsData * data(const char *name) const
Retrieve dataset (binned or unbinned) with given name. A null pointer is returned if not found.
void Print(Option_t *opts=0) const
Print contents of the workspace.
Bool_t saveSnapshot(const char *name, const char *paramNames)
Save snapshot of values and attributes (including "Constant") of parameters 'params' If importValues ...
Bool_t loadSnapshot(const char *name)
Load the values and attributes of the parameters in the snapshot saved with the given name.
TObject * obj(const char *name) const
Return any type of object (RooAbsArg, RooAbsData or generic object) with given name)
The Canvas class.
Definition: TCanvas.h:31
A ROOT file is a suite of consecutive data records (TKey instances) with a well defined format.
Definition: TFile.h:48
static TFile * Open(const char *name, Option_t *option="", const char *ftitle="", Int_t compress=ROOT::RCompressionSetting::EDefaults::kUseGeneralPurpose, Int_t netopt=0)
Create / open a file.
Definition: TFile.cxx:3975
1-D histogram with a float per channel (see TH1 documentation)}
Definition: TH1.h:571
virtual Double_t GetBinCenter(Int_t bin) const
Return bin center for 1D histogram.
Definition: TH1.cxx:8462
TAxis * GetXaxis()
Get the behaviour adopted by the object about the statoverflows. See EStatOverflows for more informat...
Definition: TH1.h:316
TObject * Clone(const char *newname=0) const
Make a complete copy of the underlying object.
Definition: TH1.cxx:2657
virtual Int_t GetNbinsX() const
Definition: TH1.h:292
virtual Int_t Fill(Double_t x)
Increment bin with abscissa X by 1.
Definition: TH1.cxx:3251
TAxis * GetYaxis()
Definition: TH1.h:317
virtual void SetContent(const Double_t *content)
Replace bin contents by the contents of array content.
Definition: TH1.cxx:7728
virtual void SetMinimum(Double_t minimum=-1111)
Definition: TH1.h:395
virtual void Draw(Option_t *option="")
Draw this histogram with options.
Definition: TH1.cxx:2974
virtual Double_t * GetIntegral()
Return a pointer to the array of bins integral.
Definition: TH1.cxx:2515
Iterator abstract base class.
Definition: TIterator.h:30
virtual TObject * Next()=0
virtual void SetTitle(const char *title="")
Set the title of the TNamed.
Definition: TNamed.cxx:164
virtual const char * GetName() const
Returns name of object.
Definition: TNamed.h:47
virtual Bool_t AccessPathName(const char *path, EAccessMode mode=kFileExists)
Returns FALSE if one can access a file using the specified access mode.
Definition: TSystem.cxx:1286
return c1
Definition: legend1.C:41
RooCmdArg Extended(Bool_t flag=kTRUE)
@(#)root/roostats:$Id$ Author: George Lewis, Kyle Cranmer
Definition: Asimov.h:20
Double_t SignificanceToPValue(Double_t Z)
returns p-value corresponding to a 1-sided significance
Definition: RooStatsUtils.h:49
static constexpr double pc
Definition: file.py:1
auto * tt
Definition: textangle.C:16
Authors
Kyle Cranmer Haichen Wang Daniel Whiteson

Definition in file OneSidedFrequentistUpperLimitWithBands.C.