Logo ROOT  
Reference Guide
 
Loading...
Searching...
No Matches
TwoSidedFrequentistUpperLimitWithBands.C File Reference

Detailed Description

View in nbviewer Open in SWAN TwoSidedFrequentistUpperLimitWithBands

This is a standard demo that can be used with any ROOT file prepared in the standard way. You specify:

  • name for input ROOT file
  • name of workspace inside ROOT file that holds model and data
  • name of ModelConfig that specifies details for calculator tools
  • name of dataset

With default parameters the macro will attempt to run the standard hist2workspace example and read the ROOT file that it produces.

You may want to control:

double confidenceLevel=0.95;
double additionalToysFac = 1.;
int nPointsToScan = 12;
int nToyMC = 200;

This uses a modified version of the profile likelihood ratio as a test statistic for upper limits (eg. test stat = 0 if muhat>mu).

Based on the observed data, one defines a set of parameter points to be tested based on the value of the parameter of interest and the conditional MLE (eg. profiled) values of the nuisance parameters.

At each parameter point, pseudo-experiments are generated using this fixed reference model and then the test statistic is evaluated. The auxiliary measurements (global observables) associated with the constraint terms in nuisance parameters are also fluctuated in the process of generating the pseudo-experiments in a frequentist manner forming an 'unconditional ensemble'. One could form a 'conditional' ensemble in which these auxiliary measurements are fixed. Note that the nuisance parameters are not randomized, which is a Bayesian procedure. Note, the nuisance parameters are floating in the fits. For each point, the threshold that defines the 95% acceptance region is found. This forms a "Confidence Belt".

After constructing the confidence belt, one can find the confidence interval for any particular dataset by finding the intersection of the observed test statistic and the confidence belt. First this is done on the observed data to get an observed 1-sided upper limt.

Finally, there expected limit and bands (from background-only) are formed by generating background-only data and finding the upper limit. The background-only is defined as such that the nuisance parameters are fixed to their best fit value based on the data with the signal rate fixed to 0. The bands are done by hand for now, will later be part of the RooStats tools.

On a technical note, this technique IS the generalization of Feldman-Cousins with nuisance parameters.

Building the confidence belt can be computationally expensive. Once it is built, one could save it to a file and use it in a separate step.

We can use PROOF to speed things along in parallel, however, the test statistic has to be installed on the workers so either turn off PROOF or include the modified test statistic in your $ROOTSYS/roofit/roostats/inc directory, add the additional line to the LinkDef.h file, and recompile root.

Note, if you have a boundary on the parameter of interest (eg. cross-section) the threshold on the two-sided test statistic starts off at moderate values and plateaus.

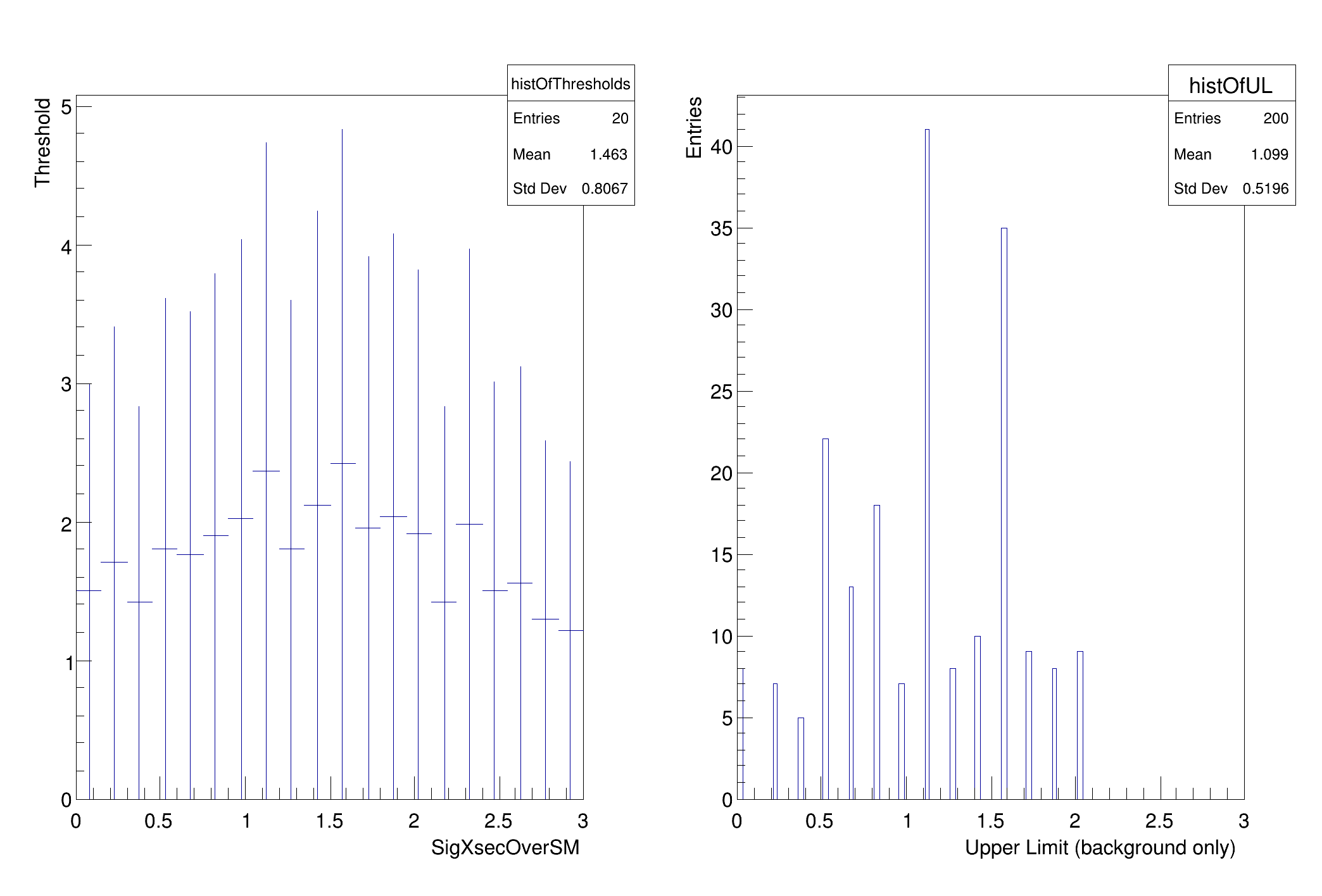
[#0] PROGRESS:Generation – generated toys: 500 / 999 NeymanConstruction: Prog: 12/50 total MC = 39 this test stat = 0 SigXsecOverSM=0.69 alpha_syst1=0.136515 alpha_syst3=0.425415 beta_syst2=1.08496 [-1e+30, 0.011215] in interval = 1

this tells you the values of the parameters being used to generate the pseudo-experiments and the threshold in this case is 0.011215. One would expect for 95% that the threshold would be ~1.35 once the cross-section is far enough away from 0 that it is essentially unaffected by the boundary. As one reaches the last points in the scan, the theshold starts to get artificially high. This is because the range of the parameter in the fit is the same as the range in the scan. In the future, these should be independently controlled, but they are not now. As a result the ~50% of pseudo-experiments that have an upward fluctuation end up with muhat = muMax. Because of this, the upper range of the parameter should be well above the expected upper limit... but not too high or one will need a very large value of nPointsToScan to resolve the relevant region. This can be improved, but this is the first version of this script.

Important note: when the model includes external constraint terms, like a Gaussian constraint to a nuisance parameter centered around some nominal value there is a subtlety. The asymptotic results are all based on the assumption that all the measurements fluctuate... including the nominal values from auxiliary measurements. If these do not fluctuate, this corresponds to an "conditional ensemble". The result is that the distribution of the test statistic can become very non-chi^2. This results in thresholds that become very large.

␛[1mRooFit v3.60 -- Developed by Wouter Verkerke and David Kirkby␛[0m
Copyright (C) 2000-2013 NIKHEF, University of California & Stanford University
All rights reserved, please read http://roofit.sourceforge.net/license.txt
Found data and ModelConfig:
=== Using the following for ModelConfig ===
Observables: RooArgSet:: = (obs_x_channel1,weightVar,channelCat)
Parameters of Interest: RooArgSet:: = (SigXsecOverSM)
Nuisance Parameters: RooArgSet:: = (alpha_syst2,alpha_syst3,gamma_stat_channel1_bin_0,gamma_stat_channel1_bin_1)
Global Observables: RooArgSet:: = (nom_alpha_syst2,nom_alpha_syst3,nom_gamma_stat_channel1_bin_0,nom_gamma_stat_channel1_bin_1)
PDF: RooSimultaneous::simPdf[ indexCat=channelCat channel1=model_channel1 ] = 0.174888
FeldmanCousins: ntoys per point = 499
FeldmanCousins: nEvents per toy will fluctuate about expectation
will use global observables for unconditional ensemble
RooArgSet:: = (nom_alpha_syst2,nom_alpha_syst3,nom_gamma_stat_channel1_bin_0,nom_gamma_stat_channel1_bin_1)
=== Using the following for ModelConfig ===
Observables: RooArgSet:: = (obs_x_channel1,weightVar,channelCat)
Parameters of Interest: RooArgSet:: = (SigXsecOverSM)
Nuisance Parameters: RooArgSet:: = (alpha_syst2,alpha_syst3,gamma_stat_channel1_bin_0,gamma_stat_channel1_bin_1)
Global Observables: RooArgSet:: = (nom_alpha_syst2,nom_alpha_syst3,nom_gamma_stat_channel1_bin_0,nom_gamma_stat_channel1_bin_1)
PDF: RooSimultaneous::simPdf[ indexCat=channelCat channel1=model_channel1 ] = 0.174888
FeldmanCousins: Model has nuisance parameters, will do profile construction
FeldmanCousins: # points to test = 20
lookup index = 0
NeymanConstruction: Prog: 1/20 total MC = 499 this test stat = 1.54009
SigXsecOverSM=0.075 alpha_syst2=0.656048 alpha_syst3=0.244567 gamma_stat_channel1_bin_0=1.03397 gamma_stat_channel1_bin_1=1.04971 [-1e+30, 1.4945] in interval = 0
NeymanConstruction: Prog: 2/20 total MC = 499 this test stat = 1.12274
SigXsecOverSM=0.225 alpha_syst2=0.549579 alpha_syst3=0.211046 gamma_stat_channel1_bin_0=1.02849 gamma_stat_channel1_bin_1=1.04283 [-1e+30, 1.70069] in interval = 1
NeymanConstruction: Prog: 3/20 total MC = 499 this test stat = 0.77243
SigXsecOverSM=0.375 alpha_syst2=0.44775 alpha_syst3=0.177828 gamma_stat_channel1_bin_0=1.02318 gamma_stat_channel1_bin_1=1.03602 [-1e+30, 1.41504] in interval = 1
NeymanConstruction: Prog: 4/20 total MC = 499 this test stat = 0.488545
SigXsecOverSM=0.525 alpha_syst2=0.349863 alpha_syst3=0.144895 gamma_stat_channel1_bin_0=1.01804 gamma_stat_channel1_bin_1=1.02929 [-1e+30, 1.80371] in interval = 1
NeymanConstruction: Prog: 5/20 total MC = 499 this test stat = 0.270334
SigXsecOverSM=0.675 alpha_syst2=0.255203 alpha_syst3=0.11224 gamma_stat_channel1_bin_0=1.01307 gamma_stat_channel1_bin_1=1.02264 [-1e+30, 1.75591] in interval = 1
NeymanConstruction: Prog: 6/20 total MC = 499 this test stat = 0.11689
SigXsecOverSM=0.825 alpha_syst2=0.16608 alpha_syst3=0.0821439 gamma_stat_channel1_bin_0=1.00838 gamma_stat_channel1_bin_1=1.01547 [-1e+30, 1.89781] in interval = 1
NeymanConstruction: Prog: 7/20 total MC = 499 this test stat = 0.0271562
SigXsecOverSM=0.975 alpha_syst2=0.0745784 alpha_syst3=0.0487673 gamma_stat_channel1_bin_0=1.00375 gamma_stat_channel1_bin_1=1.00931 [-1e+30, 2.02136] in interval = 1
NeymanConstruction: Prog: 8/20 total MC = 499 this test stat = 0.000125096
SigXsecOverSM=1.125 alpha_syst2=-0.0140996 alpha_syst3=0.0151511 gamma_stat_channel1_bin_0=0.999297 gamma_stat_channel1_bin_1=1.00317 [-1e+30, 2.36523] in interval = 1
NeymanConstruction: Prog: 9/20 total MC = 499 this test stat = 0.0347209
SigXsecOverSM=1.275 alpha_syst2=-0.101327 alpha_syst3=-0.0176472 gamma_stat_channel1_bin_0=0.994967 gamma_stat_channel1_bin_1=0.99714 [-1e+30, 1.79773] in interval = 1
NeymanConstruction: Prog: 10/20 total MC = 499 this test stat = 0.12986
SigXsecOverSM=1.425 alpha_syst2=-0.185801 alpha_syst3=-0.0506339 gamma_stat_channel1_bin_0=0.990814 gamma_stat_channel1_bin_1=0.991141 [-1e+30, 2.11797] in interval = 1
NeymanConstruction: Prog: 11/20 total MC = 499 this test stat = 0.284381
SigXsecOverSM=1.575 alpha_syst2=-0.266353 alpha_syst3=-0.0784096 gamma_stat_channel1_bin_0=0.987025 gamma_stat_channel1_bin_1=0.984445 [-1e+30, 2.41483] in interval = 1
NeymanConstruction: Prog: 12/20 total MC = 499 this test stat = 0.497424
SigXsecOverSM=1.725 alpha_syst2=-0.3458 alpha_syst3=-0.10947 gamma_stat_channel1_bin_0=0.983247 gamma_stat_channel1_bin_1=0.978371 [-1e+30, 1.95432] in interval = 1
NeymanConstruction: Prog: 13/20 total MC = 499 this test stat = 0.767852
SigXsecOverSM=1.875 alpha_syst2=-0.422672 alpha_syst3=-0.140541 gamma_stat_channel1_bin_0=0.979595 gamma_stat_channel1_bin_1=0.972417 [-1e+30, 2.03922] in interval = 1
NeymanConstruction: Prog: 14/20 total MC = 499 this test stat = 1.09468
SigXsecOverSM=2.025 alpha_syst2=-0.496602 alpha_syst3=-0.171004 gamma_stat_channel1_bin_0=0.976094 gamma_stat_channel1_bin_1=0.966484 [-1e+30, 1.90696] in interval = 1
NeymanConstruction: Prog: 15/20 total MC = 499 this test stat = 1.47704
SigXsecOverSM=2.175 alpha_syst2=-0.567566 alpha_syst3=-0.201186 gamma_stat_channel1_bin_0=0.972718 gamma_stat_channel1_bin_1=0.960626 [-1e+30, 1.41513] in interval = 0
NeymanConstruction: Prog: 16/20 total MC = 499 this test stat = 1.91389
SigXsecOverSM=2.325 alpha_syst2=-0.63553 alpha_syst3=-0.231072 gamma_stat_channel1_bin_0=0.96946 gamma_stat_channel1_bin_1=0.954845 [-1e+30, 1.98699] in interval = 1
NeymanConstruction: Prog: 17/20 total MC = 499 this test stat = 2.40432
SigXsecOverSM=2.475 alpha_syst2=-0.700748 alpha_syst3=-0.261131 gamma_stat_channel1_bin_0=0.966278 gamma_stat_channel1_bin_1=0.949239 [-1e+30, 1.50323] in interval = 0
NeymanConstruction: Prog: 18/20 total MC = 499 this test stat = 2.94737
SigXsecOverSM=2.625 alpha_syst2=-0.763083 alpha_syst3=-0.290538 gamma_stat_channel1_bin_0=0.963225 gamma_stat_channel1_bin_1=0.943654 [-1e+30, 1.5594] in interval = 0
NeymanConstruction: Prog: 19/20 total MC = 499 this test stat = 3.54205
SigXsecOverSM=2.775 alpha_syst2=-0.822865 alpha_syst3=-0.319576 gamma_stat_channel1_bin_0=0.960275 gamma_stat_channel1_bin_1=0.938148 [-1e+30, 1.29457] in interval = 0
NeymanConstruction: Prog: 20/20 total MC = 499 this test stat = 4.18752
SigXsecOverSM=2.925 alpha_syst2=-0.880381 alpha_syst3=-0.348221 gamma_stat_channel1_bin_0=0.957426 gamma_stat_channel1_bin_1=0.932721 [-1e+30, 1.21599] in interval = 0
[#1] INFO:Eval -- 14 points in interval
95% interval on SigXsecOverSM is : [0.225, 2.325]
[#1] INFO:Minimization -- p.d.f. provides expected number of events, including extended term in likelihood.
[#1] INFO:Minimization -- createConstraintTerm picked up cached constraints from workspace with 6 entries
[#1] INFO:Minimization -- Including the following constraint terms in minimization: (lumiConstraint,alpha_syst1Constraint,alpha_syst2Constraint,alpha_syst3Constraint,gamma_stat_channel1_bin_0_constraint,gamma_stat_channel1_bin_1_constraint)
[#1] INFO:Minimization -- The global observables are not defined , normalize constraints with respect to the parameters (Lumi,SigXsecOverSM,alpha_syst1,alpha_syst2,alpha_syst3,gamma_stat_channel1_bin_0,gamma_stat_channel1_bin_1,nom_alpha_syst1,nom_alpha_syst2,nom_alpha_syst3,nom_gamma_stat_channel1_bin_0,nom_gamma_stat_channel1_bin_1,nominalLumi)
[#1] INFO:Minimization -- RooProfileLL::evaluate(nll_simPdf_obsData_with_constr_Profile[SigXsecOverSM]) Creating instance of MINUIT
[#1] INFO:Fitting -- RooAddition::defaultErrorLevel(nll_simPdf_obsData_with_constr) Summation contains a RooNLLVar, using its error level
[#1] INFO:Minimization -- RooProfileLL::evaluate(nll_simPdf_obsData_with_constr_Profile[SigXsecOverSM]) determining minimum likelihood for current configurations w.r.t all observable
RooAbsTestStatistic::initSimMode: creating slave calculator #0 for state channel1 (2 dataset entries)
[#1] INFO:Fitting -- RooAbsTestStatistic::initSimMode: created 1 slave calculators.
[#1] INFO:Minimization -- RooProfileLL::evaluate(nll_simPdf_obsData_with_constr_Profile[SigXsecOverSM]) minimum found at (SigXsecOverSM=1.11597)
.
Will use these parameter points to generate pseudo data for bkg only
1) 0x55ca67935950 RooRealVar:: alpha_syst2 = 0.711172 +/- 0.914106 L(-5 - 5) "alpha_syst2"
2) 0x55ca679756a0 RooRealVar:: alpha_syst3 = 0.26146 +/- 0.9291 L(-5 - 5) "alpha_syst3"
3) 0x55ca6790a720 RooRealVar:: gamma_stat_channel1_bin_0 = 1.03677 +/- 0.0462899 L(0 - 1.25) "gamma_stat_channel1_bin_0"
4) 0x55ca678e84e0 RooRealVar:: gamma_stat_channel1_bin_1 = 1.05319 +/- 0.0761205 L(0 - 1.5) "gamma_stat_channel1_bin_1"
5) 0x55ca67941810 RooRealVar:: SigXsecOverSM = 0 +/- 0 L(0 - 3) B(20) "SigXsecOverSM"
-2 sigma band 0
-1 sigma band 0.495 [Power Constraint)]
median of band 1.095
+1 sigma band 1.545
+2 sigma band 1.995
observed 95% upper-limit 2.325
CLb strict [P(toy>obs|0)] for observed 95% upper-limit 0.96
CLb inclusive [P(toy>=obs|0)] for observed 95% upper-limit 0.96
#include "TFile.h"
#include "TROOT.h"
#include "TH1F.h"
#include "TCanvas.h"
#include "TSystem.h"
#include <iostream>
#include "RooWorkspace.h"
#include "RooAbsData.h"
using namespace RooFit;
using namespace RooStats;
using namespace std;
bool useProof = false; // flag to control whether to use Proof
int nworkers = 0; // number of workers (default use all available cores)
// -------------------------------------------------------
void TwoSidedFrequentistUpperLimitWithBands(const char *infile = "", const char *workspaceName = "combined",
const char *modelConfigName = "ModelConfig",
const char *dataName = "obsData")
{
double confidenceLevel = 0.95;
// degrade/improve number of pseudo-experiments used to define the confidence belt.
// value of 1 corresponds to default number of toys in the tail, which is 50/(1-confidenceLevel)
double additionalToysFac = 0.5;
int nPointsToScan = 20; // number of steps in the parameter of interest
int nToyMC = 200; // number of toys used to define the expected limit and band
// -------------------------------------------------------
// First part is just to access a user-defined file
// or create the standard example file if it doesn't exist
const char *filename = "";
if (!strcmp(infile, "")) {
filename = "results/example_combined_GaussExample_model.root";
bool fileExist = !gSystem->AccessPathName(filename); // note opposite return code
// if file does not exists generate with histfactory
if (!fileExist) {
#ifdef _WIN32
cout << "HistFactory file cannot be generated on Windows - exit" << endl;
return;
#endif
// Normally this would be run on the command line
cout << "will run standard hist2workspace example" << endl;
gROOT->ProcessLine(".! prepareHistFactory .");
gROOT->ProcessLine(".! hist2workspace config/example.xml");
cout << "\n\n---------------------" << endl;
cout << "Done creating example input" << endl;
cout << "---------------------\n\n" << endl;
}
} else
filename = infile;
// Try to open the file
TFile *file = TFile::Open(filename);
// if input file was specified byt not found, quit
if (!file) {
cout << "StandardRooStatsDemoMacro: Input file " << filename << " is not found" << endl;
return;
}
// -------------------------------------------------------
// Now get the data and workspace
// get the workspace out of the file
RooWorkspace *w = (RooWorkspace *)file->Get(workspaceName);
if (!w) {
cout << "workspace not found" << endl;
return;
}
// get the modelConfig out of the file
ModelConfig *mc = (ModelConfig *)w->obj(modelConfigName);
// get the modelConfig out of the file
RooAbsData *data = w->data(dataName);
// make sure ingredients are found
if (!data || !mc) {
w->Print();
cout << "data or ModelConfig was not found" << endl;
return;
}
cout << "Found data and ModelConfig:" << endl;
mc->Print();
// -------------------------------------------------------
// Now get the POI for convenience
// you may want to adjust the range of your POI
/* firstPOI->setMin(0);*/
/* firstPOI->setMax(10);*/
// -------------------------------------------------------
// create and use the FeldmanCousins tool
// to find and plot the 95% confidence interval
// on the parameter of interest as specified
// in the model config
// REMEMBER, we will change the test statistic
// so this is NOT a Feldman-Cousins interval
FeldmanCousins fc(*data, *mc);
fc.SetConfidenceLevel(confidenceLevel);
fc.AdditionalNToysFactor(additionalToysFac); // improve sampling that defines confidence belt
// fc.UseAdaptiveSampling(true); // speed it up a bit, but don't use for expected limits
fc.SetNBins(nPointsToScan); // set how many points per parameter of interest to scan
fc.CreateConfBelt(true); // save the information in the belt for plotting
// -------------------------------------------------------
// Feldman-Cousins is a unified limit by definition
// but the tool takes care of a few things for us like which values
// of the nuisance parameters should be used to generate toys.
// so let's just change the test statistic and realize this is
// no longer "Feldman-Cousins" but is a fully frequentist Neyman-Construction.
// fc.GetTestStatSampler()->SetTestStatistic(&onesided);
// ((ToyMCSampler*) fc.GetTestStatSampler())->SetGenerateBinned(true);
ToyMCSampler *toymcsampler = (ToyMCSampler *)fc.GetTestStatSampler();
ProfileLikelihoodTestStat *testStat = dynamic_cast<ProfileLikelihoodTestStat *>(toymcsampler->GetTestStatistic());
// Since this tool needs to throw toy MC the PDF needs to be
// extended or the tool needs to know how many entries in a dataset
// per pseudo experiment.
// In the 'number counting form' where the entries in the dataset
// are counts, and not values of discriminating variables, the
// datasets typically only have one entry and the PDF is not
// extended.
if (!mc->GetPdf()->canBeExtended()) {
if (data->numEntries() == 1)
fc.FluctuateNumDataEntries(false);
else
cout << "Not sure what to do about this model" << endl;
}
// We can use PROOF to speed things along in parallel
// However, the test statistic has to be installed on the workers
// so either turn off PROOF or include the modified test statistic
// in your $ROOTSYS/roofit/roostats/inc directory,
// add the additional line to the LinkDef.h file,
// and recompile root.
if (useProof) {
ProofConfig pc(*w, nworkers, "", false);
toymcsampler->SetProofConfig(&pc); // enable proof
}
if (mc->GetGlobalObservables()) {
cout << "will use global observables for unconditional ensemble" << endl;
}
// Now get the interval
PointSetInterval *interval = fc.GetInterval();
ConfidenceBelt *belt = fc.GetConfidenceBelt();
// print out the interval on the first Parameter of Interest
cout << "\n95% interval on " << firstPOI->GetName() << " is : [" << interval->LowerLimit(*firstPOI) << ", "
<< interval->UpperLimit(*firstPOI) << "] " << endl;
// get observed UL and value of test statistic evaluated there
RooArgSet tmpPOI(*firstPOI);
double observedUL = interval->UpperLimit(*firstPOI);
firstPOI->setVal(observedUL);
double obsTSatObsUL = fc.GetTestStatSampler()->EvaluateTestStatistic(*data, tmpPOI);
// Ask the calculator which points were scanned
RooDataSet *parameterScan = (RooDataSet *)fc.GetPointsToScan();
RooArgSet *tmpPoint;
// make a histogram of parameter vs. threshold
TH1F *histOfThresholds =
new TH1F("histOfThresholds", "", parameterScan->numEntries(), firstPOI->getMin(), firstPOI->getMax());
histOfThresholds->GetXaxis()->SetTitle(firstPOI->GetName());
histOfThresholds->GetYaxis()->SetTitle("Threshold");
// loop through the points that were tested and ask confidence belt
// what the upper/lower thresholds were.
// For FeldmanCousins, the lower cut off is always 0
for (Int_t i = 0; i < parameterScan->numEntries(); ++i) {
tmpPoint = (RooArgSet *)parameterScan->get(i)->clone("temp");
// cout <<"get threshold"<<endl;
double arMax = belt->GetAcceptanceRegionMax(*tmpPoint);
double poiVal = tmpPoint->getRealValue(firstPOI->GetName());
histOfThresholds->Fill(poiVal, arMax);
}
TCanvas *c1 = new TCanvas();
c1->Divide(2);
c1->cd(1);
histOfThresholds->SetMinimum(0);
histOfThresholds->Draw();
c1->cd(2);
// -------------------------------------------------------
// Now we generate the expected bands and power-constraint
// First: find parameter point for mu=0, with conditional MLEs for nuisance parameters
RooAbsReal *nll = mc->GetPdf()->createNLL(*data);
firstPOI->setVal(0.);
profile->getVal(); // this will do fit and set nuisance parameters to profiled values
RooArgSet *poiAndNuisance = new RooArgSet();
poiAndNuisance->add(*mc->GetNuisanceParameters());
poiAndNuisance->add(*mc->GetParametersOfInterest());
w->saveSnapshot("paramsToGenerateData", *poiAndNuisance);
RooArgSet *paramsToGenerateData = (RooArgSet *)poiAndNuisance->snapshot();
cout << "\nWill use these parameter points to generate pseudo data for bkg only" << endl;
paramsToGenerateData->Print("v");
RooArgSet unconditionalObs;
unconditionalObs.add(*mc->GetObservables());
unconditionalObs.add(*mc->GetGlobalObservables()); // comment this out for the original conditional ensemble
double CLb = 0;
double CLbinclusive = 0;
// Now we generate background only and find distribution of upper limits
TH1F *histOfUL = new TH1F("histOfUL", "", 100, 0, firstPOI->getMax());
histOfUL->GetXaxis()->SetTitle("Upper Limit (background only)");
histOfUL->GetYaxis()->SetTitle("Entries");
for (int imc = 0; imc < nToyMC; ++imc) {
// set parameters back to values for generating pseudo data
// cout << "\n get current nuis, set vals, print again" << endl;
w->loadSnapshot("paramsToGenerateData");
// poiAndNuisance->Print("v");
RooDataSet *toyData = 0;
// now generate a toy dataset for the main measurement
if (!mc->GetPdf()->canBeExtended()) {
if (data->numEntries() == 1)
toyData = mc->GetPdf()->generate(*mc->GetObservables(), 1);
else
cout << "Not sure what to do about this model" << endl;
} else {
// cout << "generating extended dataset"<<endl;
toyData = mc->GetPdf()->generate(*mc->GetObservables(), Extended());
}
// generate global observables
// need to be careful for simpdf.
// In ROOT 5.28 there is a problem with generating global observables
// with a simultaneous PDF. In 5.29 there is a solution with
// RooSimultaneous::generateSimGlobal, but this may change to
// the standard generate interface in 5.30.
RooSimultaneous *simPdf = dynamic_cast<RooSimultaneous *>(mc->GetPdf());
if (!simPdf) {
RooDataSet *one = mc->GetPdf()->generate(*mc->GetGlobalObservables(), 1);
const RooArgSet *values = one->get();
RooArgSet *allVars = mc->GetPdf()->getVariables();
*allVars = *values;
delete allVars;
delete one;
} else {
const RooArgSet *values = one->get();
RooArgSet *allVars = mc->GetPdf()->getVariables();
*allVars = *values;
delete allVars;
delete one;
}
// get test stat at observed UL in observed data
firstPOI->setVal(observedUL);
double toyTSatObsUL = fc.GetTestStatSampler()->EvaluateTestStatistic(*toyData, tmpPOI);
// toyData->get()->Print("v");
// cout <<"obsTSatObsUL " <<obsTSatObsUL << "toyTS " << toyTSatObsUL << endl;
if (obsTSatObsUL < toyTSatObsUL) // not sure about <= part yet
CLb += (1.) / nToyMC;
if (obsTSatObsUL <= toyTSatObsUL) // not sure about <= part yet
CLbinclusive += (1.) / nToyMC;
// loop over points in belt to find upper limit for this toy data
double thisUL = 0;
for (Int_t i = 0; i < parameterScan->numEntries(); ++i) {
tmpPoint = (RooArgSet *)parameterScan->get(i)->clone("temp");
double arMax = belt->GetAcceptanceRegionMax(*tmpPoint);
firstPOI->setVal(tmpPoint->getRealValue(firstPOI->GetName()));
// double thisTS = profile->getVal();
double thisTS = fc.GetTestStatSampler()->EvaluateTestStatistic(*toyData, tmpPOI);
// cout << "poi = " << firstPOI->getVal()
// << " max is " << arMax << " this profile = " << thisTS << endl;
// cout << "thisTS = " << thisTS<<endl;
if (thisTS <= arMax) {
thisUL = firstPOI->getVal();
} else {
break;
}
}
histOfUL->Fill(thisUL);
// for few events, data is often the same, and UL is often the same
// cout << "thisUL = " << thisUL<<endl;
delete toyData;
}
histOfUL->Draw();
c1->SaveAs("two-sided_upper_limit_output.pdf");
// if you want to see a plot of the sampling distribution for a particular scan point:
/*
SamplingDistPlot sampPlot;
int indexInScan = 0;
tmpPoint = (RooArgSet*) parameterScan->get(indexInScan)->clone("temp");
firstPOI->setVal( tmpPoint->getRealValue(firstPOI->GetName()) );
toymcsampler->SetParametersForTestStat(tmpPOI);
SamplingDistribution* samp = toymcsampler->GetSamplingDistribution(*tmpPoint);
sampPlot.AddSamplingDistribution(samp);
sampPlot.Draw();
*/
// Now find bands and power constraint
Double_t *bins = histOfUL->GetIntegral();
TH1F *cumulative = (TH1F *)histOfUL->Clone("cumulative");
cumulative->SetContent(bins);
double band2sigDown = 0, band1sigDown = 0, bandMedian = 0, band1sigUp = 0, band2sigUp = 0;
for (int i = 1; i <= cumulative->GetNbinsX(); ++i) {
band2sigDown = cumulative->GetBinCenter(i);
band1sigDown = cumulative->GetBinCenter(i);
if (bins[i] < 0.5)
bandMedian = cumulative->GetBinCenter(i);
if (bins[i] < RooStats::SignificanceToPValue(-1))
band1sigUp = cumulative->GetBinCenter(i);
if (bins[i] < RooStats::SignificanceToPValue(-2))
band2sigUp = cumulative->GetBinCenter(i);
}
cout << "-2 sigma band " << band2sigDown << endl;
cout << "-1 sigma band " << band1sigDown << " [Power Constraint)]" << endl;
cout << "median of band " << bandMedian << endl;
cout << "+1 sigma band " << band1sigUp << endl;
cout << "+2 sigma band " << band2sigUp << endl;
// print out the interval on the first Parameter of Interest
cout << "\nobserved 95% upper-limit " << interval->UpperLimit(*firstPOI) << endl;
cout << "CLb strict [P(toy>obs|0)] for observed 95% upper-limit " << CLb << endl;
cout << "CLb inclusive [P(toy>=obs|0)] for observed 95% upper-limit " << CLbinclusive << endl;
delete profile;
delete nll;
}
int Int_t
Definition RtypesCore.h:45
double Double_t
Definition RtypesCore.h:59
#define gROOT
Definition TROOT.h:404
R__EXTERN TSystem * gSystem
Definition TSystem.h:559
static struct mg_connection * fc(struct mg_context *ctx)
Definition civetweb.c:3728
RooArgSet * getVariables(Bool_t stripDisconnected=kTRUE) const
Return RooArgSet with all variables (tree leaf nodes of expresssion tree)
virtual Bool_t add(const RooAbsArg &var, Bool_t silent=kFALSE)
Add the specified argument to list.
Double_t getRealValue(const char *name, Double_t defVal=0, Bool_t verbose=kFALSE) const
Get value of a RooAbsReal stored in set with given name.
RooAbsArg * first() const
virtual void Print(Option_t *options=0) const
This method must be overridden when a class wants to print itself.
RooAbsData is the common abstract base class for binned and unbinned datasets.
Definition RooAbsData.h:82
virtual Int_t numEntries() const
Return number of entries in dataset, i.e., count unweighted entries.
virtual RooAbsReal * createNLL(RooAbsData &data, const RooLinkedList &cmdList)
Construct representation of -log(L) of PDFwith given dataset.
Bool_t canBeExtended() const
If true, PDF can provide extended likelihood term.
Definition RooAbsPdf.h:262
RooDataSet * generate(const RooArgSet &whatVars, Int_t nEvents, const RooCmdArg &arg1, const RooCmdArg &arg2=RooCmdArg::none(), const RooCmdArg &arg3=RooCmdArg::none(), const RooCmdArg &arg4=RooCmdArg::none(), const RooCmdArg &arg5=RooCmdArg::none())
See RooAbsPdf::generate(const RooArgSet&,const RooCmdArg&,const RooCmdArg&,const RooCmdArg&,...
Definition RooAbsPdf.h:58
virtual Double_t getMax(const char *name=0) const
Get maximum of currently defined range.
virtual Double_t getMin(const char *name=0) const
Get miniminum of currently defined range.
RooAbsReal is the common abstract base class for objects that represent a real value and implements f...
Definition RooAbsReal.h:64
virtual RooAbsReal * createProfile(const RooArgSet &paramsOfInterest)
Create a RooProfileLL object that eliminates all nuisance parameters in the present function.
Double_t getVal(const RooArgSet *normalisationSet=nullptr) const
Evaluate object.
Definition RooAbsReal.h:94
RooArgSet is a container object that can hold multiple RooAbsArg objects.
Definition RooArgSet.h:35
TObject * clone(const char *newname) const override
Definition RooArgSet.h:128
RooArgSet * snapshot(bool deepCopy=true) const
Use RooAbsCollection::snapshot(), but return as RooArgSet.
Definition RooArgSet.h:158
RooDataSet is a container class to hold unbinned data.
Definition RooDataSet.h:36
virtual const RooArgSet * get(Int_t index) const override
Return RooArgSet with coordinates of event 'index'.
RooRealVar represents a variable that can be changed from the outside.
Definition RooRealVar.h:39
virtual void setVal(Double_t value)
Set value of variable to 'value'.
RooSimultaneous facilitates simultaneous fitting of multiple PDFs to subsets of a given dataset.
virtual RooDataSet * generateSimGlobal(const RooArgSet &whatVars, Int_t nEvents)
Special generator interface for generation of 'global observables' – for RooStats tools.
ConfidenceBelt is a concrete implementation of the ConfInterval interface.
Double_t GetAcceptanceRegionMax(RooArgSet &, Double_t cl=-1., Double_t leftside=-1.)
The FeldmanCousins class (like the Feldman-Cousins technique) is essentially a specific configuration...
ModelConfig is a simple class that holds configuration information specifying how a model should be u...
Definition ModelConfig.h:30
const RooArgSet * GetGlobalObservables() const
get RooArgSet for global observables (return NULL if not existing)
const RooArgSet * GetParametersOfInterest() const
get RooArgSet containing the parameter of interest (return NULL if not existing)
const RooArgSet * GetNuisanceParameters() const
get RooArgSet containing the nuisance parameters (return NULL if not existing)
virtual void Print(Option_t *option="") const override
overload the print method
const RooArgSet * GetObservables() const
get RooArgSet for observables (return NULL if not existing)
RooAbsPdf * GetPdf() const
get model PDF (return NULL if pdf has not been specified or does not exist)
PointSetInterval is a concrete implementation of the ConfInterval interface.
Double_t UpperLimit(RooRealVar &param)
return upper limit on a given parameter
Double_t LowerLimit(RooRealVar &param)
return lower limit on a given parameter
ProfileLikelihoodTestStat is an implementation of the TestStatistic interface that calculates the pro...
Holds configuration options for proof and proof-lite.
Definition ProofConfig.h:46
ToyMCSampler is an implementation of the TestStatSampler interface.
void SetProofConfig(ProofConfig *pc=NULL)
virtual TestStatistic * GetTestStatistic(unsigned int i) const
virtual void SetGlobalObservables(const RooArgSet &o)
The RooWorkspace is a persistable container for RooFit projects.
RooAbsData * data(const char *name) const
Retrieve dataset (binned or unbinned) with given name. A null pointer is returned if not found.
void Print(Option_t *opts=0) const
Print contents of the workspace.
Bool_t saveSnapshot(const char *name, const char *paramNames)
Save snapshot of values and attributes (including "Constant") of given parameters.
Bool_t loadSnapshot(const char *name)
Load the values and attributes of the parameters in the snapshot saved with the given name.
TObject * obj(const char *name) const
Return any type of object (RooAbsArg, RooAbsData or generic object) with given name)
The Canvas class.
Definition TCanvas.h:23
A ROOT file is a suite of consecutive data records (TKey instances) with a well defined format.
Definition TFile.h:54
static TFile * Open(const char *name, Option_t *option="", const char *ftitle="", Int_t compress=ROOT::RCompressionSetting::EDefaults::kUseCompiledDefault, Int_t netopt=0)
Create / open a file.
Definition TFile.cxx:4025
1-D histogram with a float per channel (see TH1 documentation)}
Definition TH1.h:575
virtual Double_t GetBinCenter(Int_t bin) const
Return bin center for 1D histogram.
Definition TH1.cxx:8971
TAxis * GetXaxis()
Get the behaviour adopted by the object about the statoverflows. See EStatOverflows for more informat...
Definition TH1.h:320
TObject * Clone(const char *newname=0) const
Make a complete copy of the underlying object.
Definition TH1.cxx:2741
virtual Int_t GetNbinsX() const
Definition TH1.h:296
virtual Int_t Fill(Double_t x)
Increment bin with abscissa X by 1.
Definition TH1.cxx:3351
TAxis * GetYaxis()
Definition TH1.h:321
virtual void SetContent(const Double_t *content)
Replace bin contents by the contents of array content.
Definition TH1.cxx:8228
virtual void SetMinimum(Double_t minimum=-1111)
Definition TH1.h:399
virtual void Draw(Option_t *option="")
Draw this histogram with options.
Definition TH1.cxx:3074
virtual Double_t * GetIntegral()
Return a pointer to the array of bins integral.
Definition TH1.cxx:2579
virtual void SetTitle(const char *title="")
Set the title of the TNamed.
Definition TNamed.cxx:164
virtual const char * GetName() const
Returns name of object.
Definition TNamed.h:47
virtual Bool_t AccessPathName(const char *path, EAccessMode mode=kFileExists)
Returns FALSE if one can access a file using the specified access mode.
Definition TSystem.cxx:1296
RooCmdArg Extended(Bool_t flag=kTRUE)
return c1
Definition legend1.C:41
The namespace RooFit contains mostly switches that change the behaviour of functions of PDFs (or othe...
Definition Common.h:18
Namespace for the RooStats classes.
Definition Asimov.h:19
Double_t SignificanceToPValue(Double_t Z)
returns p-value corresponding to a 1-sided significance
Definition file.py:1
Authors
Kyle Cranmer,Contributions from Aaron Armbruster, Haoshuang Ji, Haichen Wang and Daniel Whiteson

Definition in file TwoSidedFrequentistUpperLimitWithBands.C.