Logo ROOT  
Reference Guide
 
Loading...
Searching...
No Matches
rf707_kernelestimation.py File Reference

Detailed Description

View in nbviewer Open in SWAN
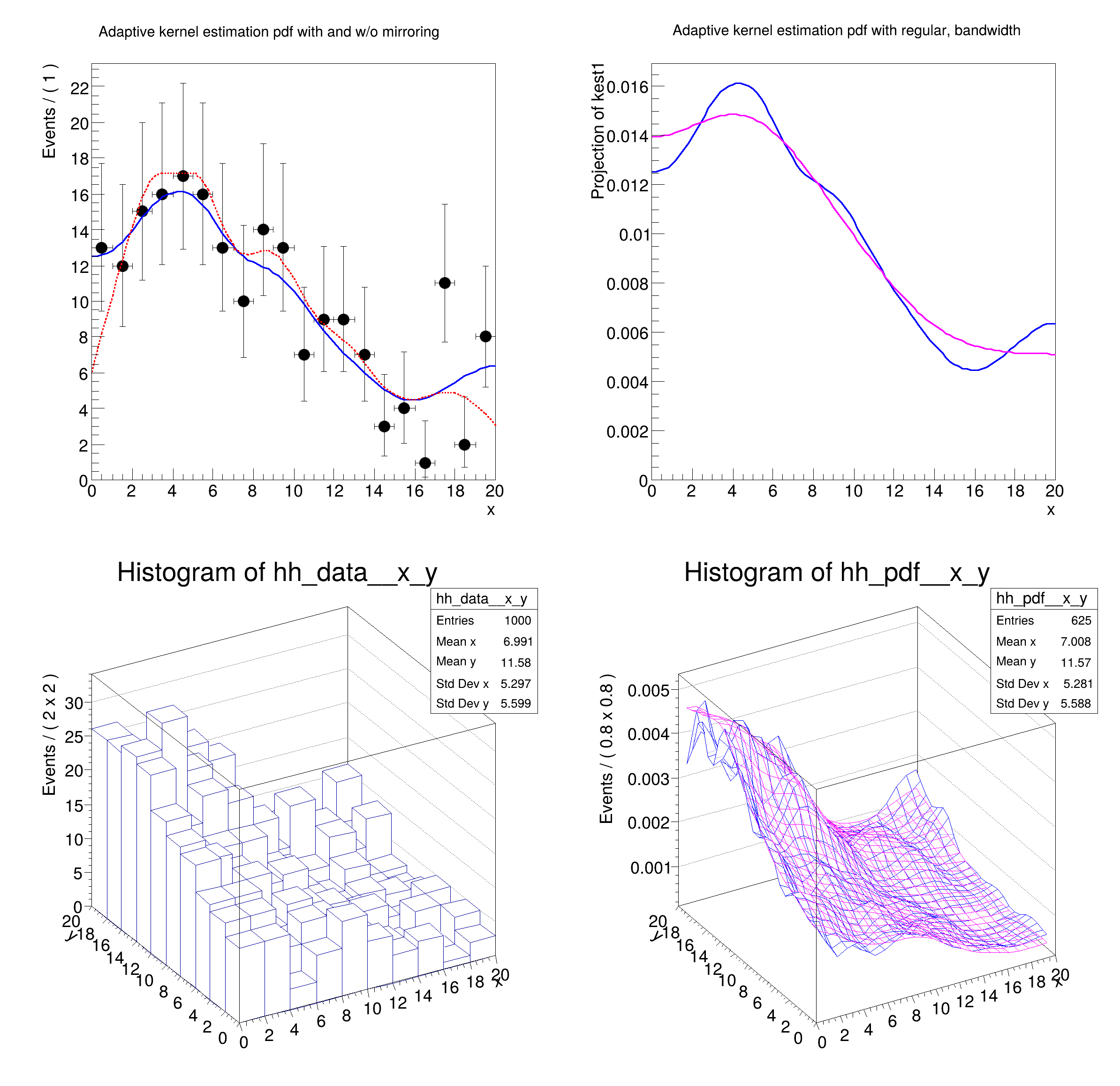
Special pdf's: using non-parametric (multi-dimensional) kernel estimation pdfs

import ROOT
# Create low stats 1D dataset
# -------------------------------------------------------
# Create a toy pdf for sampling
x = ROOT.RooRealVar("x", "x", 0, 20)
p = ROOT.RooPolynomial("p", "p", x, [0.01, -0.01, 0.0004])
# Sample 500 events from p
data1 = p.generate({x}, 200)
# Create 1D kernel estimation pdf
# ---------------------------------------------------------------
# Create adaptive kernel estimation pdf. In self configuration the input data
# is mirrored over the boundaries to minimize edge effects in distribution
# that do not fall to zero towards the edges
kest1 = ROOT.RooKeysPdf("kest1", "kest1", x, data1, ROOT.RooKeysPdf.MirrorBoth)
# An adaptive kernel estimation pdf on the same data without mirroring option
# for comparison
kest2 = ROOT.RooKeysPdf("kest2", "kest2", x, data1, ROOT.RooKeysPdf.NoMirror)
# Adaptive kernel estimation pdf with increased bandwidth scale factor
# (promotes smoothness over detail preservation)
kest3 = ROOT.RooKeysPdf("kest1", "kest1", x, data1, ROOT.RooKeysPdf.MirrorBoth, 2)
# Plot kernel estimation pdfs with and without mirroring over data
frame = x.frame(Title="Adaptive kernel estimation pdf with and w/o mirroring", Bins=20)
kest2.plotOn(frame, LineStyle="--", LineColor="r")
# Plot kernel estimation pdfs with regular and increased bandwidth
frame2 = x.frame(Title="Adaptive kernel estimation pdf with regular, bandwidth")
kest1.plotOn(frame2)
kest3.plotOn(frame2, LineColor="m")
# Create low status 2D dataset
# -------------------------------------------------------
# Construct a 2D toy pdf for sampleing
y = ROOT.RooRealVar("y", "y", 0, 20)
"py",
"py",
y,
[0.01, 0.01, -0.0004],
)
pxy = ROOT.RooProdPdf("pxy", "pxy", [p, py])
data2 = pxy.generate({x, y}, 1000)
# Create 2D kernel estimation pdf
# ---------------------------------------------------------------
# Create 2D adaptive kernel estimation pdf with mirroring
kest4 = ROOT.RooNDKeysPdf("kest4", "kest4", [x, y], data2, "am")
# Create 2D adaptive kernel estimation pdf with mirroring and double
# bandwidth
kest5 = ROOT.RooNDKeysPdf("kest5", "kest5", [x, y], data2, "am", 2)
# Create a histogram of the data
hh_data = data2.createHistogram("hh_data", x, Binning=10, YVar=dict(var=y, Binning=10))
# Create histogram of the 2d kernel estimation pdfs
hh_pdf = kest4.createHistogram("hh_pdf", x, Binning=25, YVar=dict(var=y, Binning=25))
hh_pdf2 = kest5.createHistogram("hh_pdf2", x, Binning=25, YVar=dict(var=y, Binning=25))
c = ROOT.TCanvas("rf707_kernelestimation", "rf707_kernelestimation", 800, 800)
c.Divide(2, 2)
c.cd(1)
frame.GetYaxis().SetTitleOffset(1.4)
c.cd(2)
frame2.GetYaxis().SetTitleOffset(1.8)
c.cd(3)
hh_data.GetZaxis().SetTitleOffset(1.4)
hh_data.Draw("lego")
c.cd(4)
hh_pdf.GetZaxis().SetTitleOffset(2.4)
hh_pdf.Draw("surf")
hh_pdf2.Draw("surfsame")
c.SaveAs("rf707_kernelestimation.png")
ROOT::Detail::TRangeCast< T, true > TRangeDynCast
TRangeDynCast is an adapter class that allows the typed iteration through a TCollection.
Date
February 2018
Authors
Clemens Lange, Wouter Verkerke (C++ version)

Definition in file rf707_kernelestimation.py.