Logo ROOT  
Reference Guide
 
Loading...
Searching...
No Matches

Detailed Description

View in nbviewer Open in SWAN
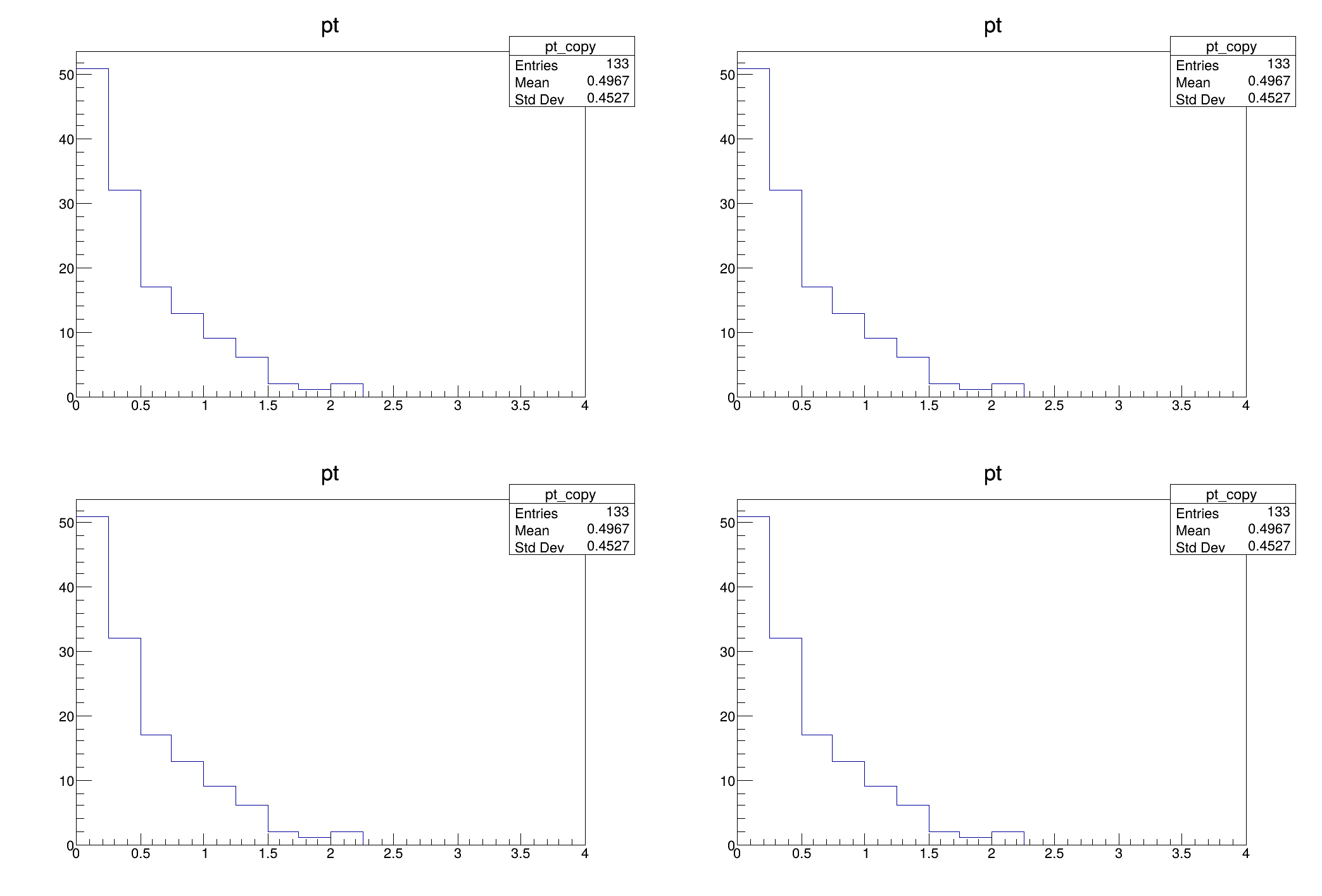
Use RVecs to plot the transverse momentum of selected particles.

This tutorial shows how VecOps can be used to slim down the programming model typically adopted in HEP for analysis. In this case we have a dataset containing the kinematic properties of particles stored in individual arrays. We want to plot the transverse momentum of these particles if the energy is greater than 100 MeV.

auto filename = gROOT->GetTutorialDir() + "/analysis/dataframe/df017_vecOpsHEP.root";
auto treename = "myDataset";
using namespace ROOT;
{
TH1F h("pt", "pt", 16, 0, 4);
while (tr.Next()) {
for (auto i=0U;i < px.GetSize(); ++i) {
if (E[i] > 100) h.Fill(sqrt(px[i]*px[i] + py[i]*py[i]));
}
}
h.DrawCopy();
}
{
auto CalcPt = [](RVecD &px, RVecD &py, RVecD &E) {
for (auto i=0U;i < px.size(); ++i) {
if (E[i] > 100) {
v.emplace_back(sqrt(px[i]*px[i] + py[i]*py[i]));
}
}
return v;
};
f.Define("pt", CalcPt, {"px", "py", "E"})
.Histo1D<RVecD>({"pt", "pt", 16, 0, 4}, "pt")->DrawCopy();
}
{
auto CalcPt = [](RVecD &px, RVecD &py, RVecD &E) {
auto pt = sqrt(px*px + py*py);
return pt[E>100];
};
f.Define("good_pt", CalcPt, {"px", "py", "E"})
.Histo1D<RVecD>({"pt", "pt", 16, 0, 4}, "good_pt")->DrawCopy();
}
{
f.Define("good_pt", "sqrt(px*px + py*py)[E>100]")
.Histo1D({"pt", "pt", 16, 0, 4}, "good_pt")->DrawCopy();
}
void df017_vecOpsHEP()
{
// We plot four times the same quantity, the key is to look into the implementation
// of the functions above.
auto c = new TCanvas();
c->Divide(2,2);
c->cd(1);
c->cd(2);
c->cd(3);
c->cd(4);
}
#define f(i)
Definition RSha256.hxx:104
#define c(i)
Definition RSha256.hxx:101
#define h(i)
Definition RSha256.hxx:106
ROOT::Detail::TRangeCast< T, true > TRangeDynCast
TRangeDynCast is an adapter class that allows the typed iteration through a TCollection.
Option_t Option_t TPoint TPoint const char GetTextMagnitude GetFillStyle GetLineColor GetLineWidth GetMarkerStyle GetTextAlign GetTextColor GetTextSize void char Point_t Rectangle_t WindowAttributes_t Float_t Float_t Float_t Int_t Int_t UInt_t UInt_t Rectangle_t Int_t Int_t Window_t TString Int_t GCValues_t GetPrimarySelectionOwner GetDisplay GetScreen GetColormap GetNativeEvent const char const char dpyName wid window const char font_name cursor keysym reg const char only_if_exist regb h Point_t winding char text const char depth char const char Int_t count const char ColorStruct_t color const char filename
#define gROOT
Definition TROOT.h:426
reference emplace_back(ArgTypes &&...Args)
Definition RVec.hxx:917
ROOT's RDataFrame offers a modern, high-level interface for analysis of data stored in TTree ,...
The Canvas class.
Definition TCanvas.h:23
A file, usually with extension .root, that stores data and code in the form of serialized objects in ...
Definition TFile.h:130
1-D histogram with a float per channel (see TH1 documentation)
Definition TH1.h:878
A simple, robust and fast interface to read values from ROOT columnar datasets such as TTree,...
Definition TTreeReader.h:46
TPaveText * pt
constexpr Double_t E()
Base of natural log: .
Definition TMath.h:96
Date
March 2018
Authors
Danilo Piparo (CERN), Andre Vieira Silva

Definition in file df017_vecOpsHEP.C.