+
class TMVA::MethodFisher
-
library: libTMVA
#include "MethodFisher.h"
Display options:
Show inherited
Show non-public

class TMVA::MethodFisher: public TMVA::MethodBase

 
/* Fisher and Mahalanobis Discriminants (Linear Discriminant Analysis)

In the method of Fisher discriminants event selection is performed in a transformed variable space with zero linear correlations, by distinguishing the mean values of the signal and background distributions.

The linear discriminant analysis determines an axis in the (correlated) hyperspace of the input variables such that, when projecting the output classes (signal and background) upon this axis, they are pushed as far as possible away from each other, while events of a same class are confined in a close vicinity. The linearity property of this method is reflected in the metric with which "far apart" and "close vicinity" are determined: the covariance matrix of the discriminant variable space.

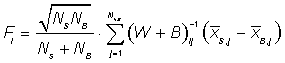
The classification of the events in signal and background classes relies on the following characteristics (only): overall sample means, xi, for each input variable, i, class-specific sample means, xS(B),i, and total covariance matrix Tij. The covariance matrix can be decomposed into the sum of a within- (Wij) and a between-class (Bij) class matrix. They describe the dispersion of events relative to the means of their own class (within-class matrix), and relative to the overall sample means (between-class matrix). The Fisher coefficients, Fi, are then given by

where in TMVA is set NS=NB, so that the factor in front of the sum simplifies to ½. The Fisher discriminant then reads
The offset F0 centers the sample mean of xFi at zero. Instead of using the within-class matrix, the Mahalanobis variant determines the Fisher coefficients as follows:
with resulting xMa that are very similar to the xFi.

TMVA provides two outputs for the ranking of the input variables:

  • Fisher test: the Fisher analysis aims at simultaneously maximising the between-class separation, while minimising the within-class dispersion. A useful measure of the discrimination power of a variable is hence given by the diagonal quantity: Bii/Wii.
  • Discrimination power: the value of the Fisher coefficient is a measure of the discriminating power of a variable. The discrimination power of set of input variables can therefore be measured by the scalar
The corresponding numbers are printed on standard output. */

Function Members (Methods)

public:
virtual~MethodFisher()
voidTObject::AbstractMethod(const char* method) const
voidTObject::AbstractMethod(const char* method) const
virtual voidTObject::AppendPad(Option_t* option = "")
virtual voidTObject::AppendPad(Option_t* option = "")
TDirectory*TMVA::MethodBase::BaseDir() const
virtual voidTObject::Browse(TBrowser* b)
virtual voidTObject::Browse(TBrowser* b)
voidTMVA::Configurable::CheckForUnusedOptions() const
static TClass*Class()
virtual const char*TObject::ClassName() const
virtual const char*TObject::ClassName() const
virtual voidTObject::Clear(Option_t* = "")
virtual voidTObject::Clear(Option_t* = "")
virtual TObject*TObject::Clone(const char* newname = "") const
virtual TObject*TObject::Clone(const char* newname = "") const
virtual Int_tTObject::Compare(const TObject* obj) const
virtual Int_tTObject::Compare(const TObject* obj) const
TMVA::ConfigurableTMVA::Configurable::Configurable(const TString& theOption = "")
virtual voidTObject::Copy(TObject& object) const
virtual voidTObject::Copy(TObject& object) const
voidTMVA::MethodBase::CreateMVAPdfs()
virtual const TMVA::Ranking*CreateRanking()
TMVA::DataSet&TMVA::MethodBase::Data() const
virtual voidTObject::Delete(Option_t* option = "")
virtual voidTObject::Delete(Option_t* option = "")
virtual Int_tTObject::DistancetoPrimitive(Int_t px, Int_t py)
virtual Int_tTObject::DistancetoPrimitive(Int_t px, Int_t py)
virtual voidTObject::Draw(Option_t* option = "")
virtual voidTObject::Draw(Option_t* option = "")
virtual voidTObject::DrawClass() const
virtual voidTObject::DrawClass() const
virtual TObject*TObject::DrawClone(Option_t* option = "") const
virtual TObject*TObject::DrawClone(Option_t* option = "") const
virtual voidTObject::Dump() const
virtual voidTObject::Dump() const
virtual voidTObject::Error(const char* method, const char* msgfmt) const
virtual voidTObject::Error(const char* method, const char* msgfmt) const
virtual voidTObject::Execute(const char* method, const char* params, Int_t* error = 0)
virtual voidTObject::Execute(TMethod* method, TObjArray* params, Int_t* error = 0)
virtual voidTObject::Execute(const char* method, const char* params, Int_t* error = 0)
virtual voidTObject::Execute(TMethod* method, TObjArray* params, Int_t* error = 0)
virtual voidTObject::ExecuteEvent(Int_t event, Int_t px, Int_t py)
virtual voidTObject::ExecuteEvent(Int_t event, Int_t px, Int_t py)
virtual voidTObject::Fatal(const char* method, const char* msgfmt) const
virtual voidTObject::Fatal(const char* method, const char* msgfmt) const
virtual TObject*TObject::FindObject(const char* name) const
virtual TObject*TObject::FindObject(const TObject* obj) const
virtual TObject*TObject::FindObject(const char* name) const
virtual TObject*TObject::FindObject(const TObject* obj) const
virtual Option_t*TObject::GetDrawOption() const
virtual Option_t*TObject::GetDrawOption() const
static Long_tTObject::GetDtorOnly()
static Long_tTObject::GetDtorOnly()
Double_tTMVA::MethodBase::GetEffForRoot(Double_t)
virtual Double_tTMVA::MethodBase::GetEfficiency(TString, TTree*, Double_t& err)
TMVA::Event&TMVA::MethodBase::GetEvent() const
Double_tTMVA::MethodBase::GetEventVal(Int_t ivar) const
Double_tTMVA::MethodBase::GetEventWeight() const
virtual TMVA::MethodFisher::EFisherMethodGetFisherMethod()
virtual const char*TObject::GetIconName() const
virtual const char*TObject::GetIconName() const
const TString&TMVA::MethodBase::GetInputExp(int i) const
const TString&TMVA::MethodBase::GetInputVar(int i) const
const TString&TMVA::MethodBase::GetJobName() const
const TString&TMVA::MethodBase::GetMethodName() const
const TString&TMVA::MethodBase::GetMethodTitle() const
TMVA::Types::EMVATMVA::MethodBase::GetMethodType() const
virtual Double_tTMVA::MethodBase::GetmuTransform(TTree*)
virtual Double_tGetMvaValue()
virtual const char*TMVA::MethodBase::GetName() const
Int_tTMVA::MethodBase::GetNvar() const
virtual char*TObject::GetObjectInfo(Int_t px, Int_t py) const
virtual char*TObject::GetObjectInfo(Int_t px, Int_t py) const
static Bool_tTObject::GetObjectStat()
static Bool_tTObject::GetObjectStat()
virtual Double_tTMVA::MethodBase::GetOptimalSignificance(Double_t SignalEvents, Double_t BackgroundEvents, Double_t& optimal_significance_value) const
virtual Option_t*TObject::GetOption() const
virtual Option_t*TObject::GetOption() const
const TString&TMVA::Configurable::GetOptions() const
virtual Double_tTMVA::MethodBase::GetProba(Double_t mvaVal, Double_t ap_sig)
const TStringTMVA::MethodBase::GetProbaName() const
virtual Double_tTMVA::MethodBase::GetRarity(Double_t mvaVal, TMVA::Types::ESBType reftype = Types::kBackground) const
Double_tTMVA::MethodBase::GetRMS(Int_t ivar) const
virtual Double_tTMVA::MethodBase::GetSeparation(TH1*, TH1*) const
virtual Double_tTMVA::MethodBase::GetSeparation(TMVA::PDF* pdfS = 0, TMVA::PDF* pdfB = 0) const
Double_tTMVA::MethodBase::GetSignalReferenceCut() const
virtual Double_tTMVA::MethodBase::GetSignificance() const
TTree*TMVA::MethodBase::GetTestTree() const
const TString&TMVA::MethodBase::GetTestvarName() const
static TMVA::MethodBase*TMVA::MethodBase::GetThisBase()
virtual const char*TObject::GetTitle() const
virtual const char*TObject::GetTitle() const
virtual Double_tTMVA::MethodBase::GetTrainingEfficiency(TString)
TTree*TMVA::MethodBase::GetTrainingTree() const
virtual UInt_tTObject::GetUniqueID() const
virtual UInt_tTObject::GetUniqueID() const
TMVA::Types::EVariableTransformTMVA::MethodBase::GetVariableTransform() const
TMVA::VariableTransformBase&TMVA::MethodBase::GetVarTransform() const
TStringTMVA::MethodBase::GetWeightFileDir() const
TStringTMVA::MethodBase::GetWeightFileName() const
Double_tTMVA::MethodBase::GetXmax(Int_t ivar) const
Double_tTMVA::MethodBase::GetXmax(const TString& var) const
Double_tTMVA::MethodBase::GetXmin(Int_t ivar) const
Double_tTMVA::MethodBase::GetXmin(const TString& var) const
virtual Bool_tTObject::HandleTimer(TTimer* timer)
virtual Bool_tTObject::HandleTimer(TTimer* timer)
virtual ULong_tTObject::Hash() const
virtual ULong_tTObject::Hash() const
Bool_tTMVA::MethodBase::HasTrainingTree() const
Bool_tTMVA::MethodBase::Help() const
static Double_tTMVA::MethodBase::IGetEffForRoot(Double_t)
virtual voidTObject::Info(const char* method, const char* msgfmt) const
virtual voidTObject::Info(const char* method, const char* msgfmt) const
virtual Bool_tTObject::InheritsFrom(const char* classname) const
virtual Bool_tTObject::InheritsFrom(const TClass* cl) const
virtual Bool_tTObject::InheritsFrom(const char* classname) const
virtual Bool_tTObject::InheritsFrom(const TClass* cl) const
virtual voidTObject::Inspect() const
virtual voidTObject::Inspect() const
voidTObject::InvertBit(UInt_t f)
voidTObject::InvertBit(UInt_t f)
virtual TClass*IsA() const
virtual Bool_tTObject::IsEqual(const TObject* obj) const
virtual Bool_tTObject::IsEqual(const TObject* obj) const
virtual Bool_tTObject::IsFolder() const
virtual Bool_tTObject::IsFolder() const
Bool_tTMVA::MethodBase::IsMVAPdfs() const
Bool_tTMVA::MethodBase::IsNormalised() const
Bool_tTMVA::MethodBase::IsOK() const
Bool_tTObject::IsOnHeap() const
Bool_tTObject::IsOnHeap() const
Bool_tTMVA::MethodBase::IsSignalEvent() const
virtual Bool_tTMVA::MethodBase::IsSignalLike()
virtual Bool_tTObject::IsSortable() const
virtual Bool_tTObject::IsSortable() const
Bool_tTObject::IsZombie() const
Bool_tTObject::IsZombie() const
virtual voidTObject::ls(Option_t* option = "") const
virtual voidTObject::ls(Option_t* option = "") const
virtual voidTMVA::MethodBase::MakeClass(const TString& classFileName = "") const
voidTObject::MayNotUse(const char* method) const
voidTObject::MayNotUse(const char* method) const
TDirectory*TMVA::MethodBase::MethodBaseDir() const
TMVA::MethodFisherMethodFisher(TMVA::DataSet& theData, TString theWeightFile, TDirectory* theTargetDir = NULL)
TMVA::MethodFisherMethodFisher(TString jobName, TString methodTitle, TMVA::DataSet& theData, TString theOption = "Fisher", TDirectory* theTargetDir = 0)
Double_tTMVA::MethodBase::Norm(Int_t ivar, Double_t x) const
Double_tTMVA::MethodBase::Norm(TString var, Double_t x) const
virtual Bool_tTObject::Notify()
virtual Bool_tTObject::Notify()
static voidTObject::operator delete(void* ptr)
static voidTObject::operator delete(void* ptr)
static voidTObject::operator delete(void* ptr, void* vp)
static voidTObject::operator delete(void* ptr, void* vp)
static voidTObject::operator delete[](void* ptr)
static voidTObject::operator delete[](void* ptr)
static voidTObject::operator delete[](void* ptr, void* vp)
static voidTObject::operator delete[](void* ptr, void* vp)
void*TObject::operator new(size_t sz)
void*TObject::operator new(size_t sz)
void*TObject::operator new(size_t sz, void* vp)
void*TObject::operator new(size_t sz, void* vp)
void*TObject::operator new[](size_t sz)
void*TObject::operator new[](size_t sz)
void*TObject::operator new[](size_t sz, void* vp)
void*TObject::operator new[](size_t sz, void* vp)
TMVA::IMethod&TMVA::IMethod::operator=(const TMVA::IMethod&)
virtual voidTObject::Paint(Option_t* option = "")
virtual voidTObject::Paint(Option_t* option = "")
voidTMVA::Configurable::ParseOptions(Bool_t verbose = kTRUE)
virtual voidTObject::Pop()
virtual voidTObject::Pop()
virtual voidTMVA::MethodBase::PrepareEvaluationTree(TTree* theTestTree)
virtual voidTObject::Print(Option_t* option = "") const
virtual voidTObject::Print(Option_t* option = "") const
virtual voidTMVA::MethodBase::PrintHelpMessage() const
voidTMVA::Configurable::PrintOptions() const
virtual Int_tTObject::Read(const char* name)
virtual Int_tTObject::Read(const char* name)
virtual Bool_tTMVA::MethodBase::ReadEvent(TTree* tr, UInt_t ievt, TMVA::Types::ESBType type = Types::kMaxSBType) const
voidTMVA::MethodBase::ReadStateFromFile()
voidTMVA::MethodBase::ReadStateFromStream(istream& tf)
voidTMVA::MethodBase::ReadStateFromStream(TFile& rf)
virtual Bool_tTMVA::MethodBase::ReadTestEvent(UInt_t ievt, TMVA::Types::ESBType type = Types::kMaxSBType) const
virtual Bool_tTMVA::MethodBase::ReadTrainingEvent(UInt_t ievt, TMVA::Types::ESBType type = Types::kMaxSBType) const
virtual voidReadWeightsFromStream(istream& i)
virtual voidTObject::RecursiveRemove(TObject* obj)
virtual voidTObject::RecursiveRemove(TObject* obj)
voidTObject::ResetBit(UInt_t f)
voidTObject::ResetBit(UInt_t f)
virtual voidTObject::SaveAs(const char* filename = "", Option_t* option = "") const
virtual voidTObject::SaveAs(const char* filename = "", Option_t* option = "") const
virtual voidTObject::SavePrimitive(ostream& out, Option_t* option = "")
virtual voidTObject::SavePrimitive(ostream& out, Option_t* option = "")
voidTObject::SetBit(UInt_t f)
voidTObject::SetBit(UInt_t f)
voidTObject::SetBit(UInt_t f, Bool_t set)
voidTObject::SetBit(UInt_t f, Bool_t set)
virtual voidTObject::SetDrawOption(Option_t* option = "")
virtual voidTObject::SetDrawOption(Option_t* option = "")
static voidTObject::SetDtorOnly(void* obj)
static voidTObject::SetDtorOnly(void* obj)
voidTMVA::MethodBase::SetHelp(Bool_t h = kTRUE)
voidTMVA::MethodBase::SetJobName(TString jobName)
voidTMVA::MethodBase::SetMethodName(TString methodName)
voidTMVA::MethodBase::SetMethodTitle(TString methodTitle)
voidTMVA::MethodBase::SetMethodType(TMVA::Types::EMVA methodType)
voidTMVA::Configurable::SetName(const char* n)
voidTMVA::MethodBase::SetNormalised(Bool_t norm)
voidTMVA::MethodBase::SetNvar(Int_t n)
static voidTObject::SetObjectStat(Bool_t stat)
static voidTObject::SetObjectStat(Bool_t stat)
voidTMVA::Configurable::SetOptions(const TString& s)
virtual voidTObject::SetUniqueID(UInt_t uid)
virtual voidTObject::SetUniqueID(UInt_t uid)
voidTMVA::MethodBase::SetVariableTransform(TMVA::Types::EVariableTransform m)
voidTMVA::MethodBase::SetVerbose(Bool_t v = kTRUE)
voidTMVA::MethodBase::SetWeightFileDir(TString fileDir)
voidTMVA::MethodBase::SetWeightFileName(TString)
voidTMVA::MethodBase::SetXmax(Int_t ivar, Double_t x)
voidTMVA::MethodBase::SetXmax(const TString& var, Double_t x)
voidTMVA::MethodBase::SetXmin(Int_t ivar, Double_t x)
voidTMVA::MethodBase::SetXmin(const TString& var, Double_t x)
virtual voidShowMembers(TMemberInspector& insp, char* parent)
virtual voidStreamer(TBuffer& b)
voidStreamerNVirtual(TBuffer& b)
virtual voidTObject::SysError(const char* method, const char* msgfmt) const
virtual voidTObject::SysError(const char* method, const char* msgfmt) const
virtual voidTMVA::MethodBase::Test(TTree* theTestTree = 0)
Bool_tTObject::TestBit(UInt_t f) const
Bool_tTObject::TestBit(UInt_t f) const
Int_tTObject::TestBits(UInt_t f) const
Int_tTObject::TestBits(UInt_t f) const
virtual voidTMVA::MethodBase::TestInit(TTree* theTestTree = 0)
virtual voidTrain()
voidTMVA::MethodBase::TrainMethod()
virtual voidTObject::UseCurrentStyle()
virtual voidTObject::UseCurrentStyle()
Bool_tTMVA::MethodBase::Verbose() const
virtual voidTObject::Warning(const char* method, const char* msgfmt) const
virtual voidTObject::Warning(const char* method, const char* msgfmt) const
virtual Int_tTObject::Write(const char* name = 0, Int_t option = 0, Int_t bufsize = 0)
virtual Int_tTObject::Write(const char* name = 0, Int_t option = 0, Int_t bufsize = 0) const
virtual Int_tTObject::Write(const char* name = 0, Int_t option = 0, Int_t bufsize = 0)
virtual Int_tTObject::Write(const char* name = 0, Int_t option = 0, Int_t bufsize = 0) const
voidTMVA::MethodBase::WriteEvaluationHistosToFile(TDirectory* targetDir = 0)
virtual voidTMVA::MethodBase::WriteMonitoringHistosToFile() const
voidTMVA::MethodBase::WriteStateToFile() const
voidTMVA::MethodBase::WriteStateToStream(TFile& rf) const
voidTMVA::MethodBase::WriteStateToStream(ostream& tf, Bool_t isClass = kFALSE) const
virtual voidWriteWeightsToStream(ostream& o) const
protected:
Bool_tTMVA::MethodBase::CheckSanity(TTree* theTree = 0)
virtual voidTObject::DoError(int level, const char* location, const char* fmt, va_list va) const
virtual voidTObject::DoError(int level, const char* location, const char* fmt, va_list va) const
voidTMVA::Configurable::EnableLooseOptions(Bool_t b = kTRUE)
TMVA::MethodBase::ECutOrientationTMVA::MethodBase::GetCutOrientation() const
virtual voidGetHelpMessage() const
const TString&TMVA::MethodBase::GetInternalVarName(Int_t ivar) const
const TString&TMVA::MethodBase::GetOriginalVarName(Int_t ivar) const
const TString&TMVA::MethodBase::GetTestvarPrefix() const
UInt_tTMVA::MethodBase::GetTrainingROOTVersionCode() const
TStringTMVA::MethodBase::GetTrainingROOTVersionString() const
UInt_tTMVA::MethodBase::GetTrainingTMVAVersionCode() const
TStringTMVA::MethodBase::GetTrainingTMVAVersionString() const
TMVA::Types::ESBTypeTMVA::MethodBase::GetVariableTransformType() const
TDirectory*TMVA::MethodBase::LocalTDir() const
Bool_tTMVA::Configurable::LooseOptionCheckingEnabled() const
virtual voidMakeClassSpecific(ostream&, const TString&) const
virtual voidTMVA::MethodBase::MakeClassSpecificHeader(ostream&, const TString& = "") const
voidTObject::MakeZombie()
voidTObject::MakeZombie()
voidTMVA::Configurable::ReadOptionsFromStream(istream& istr)
voidTMVA::Configurable::ResetSetFlag()
voidTMVA::MethodBase::ResetThisBase()
voidTMVA::MethodBase::SetSignalReferenceCut(Double_t cut)
voidTMVA::MethodBase::SetTestvarName(const TString& v = "")
voidTMVA::MethodBase::SetTestvarPrefix(TString prefix)
voidTMVA::MethodBase::SetVariableTransformType(TMVA::Types::ESBType t)
voidTMVA::MethodBase::Statistics(TMVA::Types::ETreeType treeType, const TString& theVarName, Double_t&, Double_t&, Double_t&, Double_t&, Double_t&, Double_t&, Bool_t norm = kFALSE)
Bool_tTMVA::MethodBase::TxtWeightsOnly() const
voidTMVA::Configurable::WriteOptionsToStream(ostream& o, const TString& prefix) const
private:
virtual voidDeclareOptions()
voidGetCov_BetweenClass()
voidGetCov_Full()
voidGetCov_WithinClass()
voidGetDiscrimPower()
voidGetFisherCoeff()
voidGetMean()
voidInitFisher()
voidInitMatrices()
voidPrintCoefficients()
virtual voidProcessOptions()

Data Members

public:
enum EFisherMethod { kFisher
kMahalanobis
};
enum TMVA::MethodBase::EWeightFileType { kROOT
kTEXT
};
enum TMVA::MethodBase::ECutOrientation { kNegative
kPositive
};
enum TObject::EStatusBits { kCanDelete
kMustCleanup
kObjInCanvas
kIsReferenced
kHasUUID
kCannotPick
kNoContextMenu
kInvalidObject
};
enum TObject::[unnamed] { kIsOnHeap
kNotDeleted
kZombie
kBitMask
kSingleKey
kOverwrite
kWriteDelete
};
enum TObject::EStatusBits { kCanDelete
kMustCleanup
kObjInCanvas
kIsReferenced
kHasUUID
kCannotPick
kNoContextMenu
kInvalidObject
};
enum TObject::[unnamed] { kIsOnHeap
kNotDeleted
kZombie
kBitMask
kSingleKey
kOverwrite
kWriteDelete
};
protected:
TMVA::MethodBase::ECutOrientationTMVA::MethodBase::fCutOrientation+1 if Sig>Bkg, -1 otherwise
TH1*TMVA::MethodBase::fEffBefficiency plot (background)
TH1*TMVA::MethodBase::fEffBvsSbackground efficiency versus signal efficiency
TH1*TMVA::MethodBase::fEffSefficiency plot (signal)
TGraph*TMVA::MethodBase::fGraphBgraphs used for splines for efficiency (background)
TGraph*TMVA::MethodBase::fGraphSgraphs used for splines for efficiency (signal)
TGraph*TMVA::MethodBase::fGraphTrainBgraphs used for splines for training efficiency (background)
TGraph*TMVA::MethodBase::fGraphTrainEffBvsSgraphs used for splines for training signal eff. versus background eff.
TGraph*TMVA::MethodBase::fGraphTrainSgraphs used for splines for training efficiency (signal)
TGraph*TMVA::MethodBase::fGrapheffBvsSgraphs used for splines for signal eff. versus background eff.
TH1*TMVA::MethodBase::fHistB_highbinMVA plots used for efficiency calculations (background)
TH1*TMVA::MethodBase::fHistB_plotbinMVA plots used for graphics representation (background)
TH1*TMVA::MethodBase::fHistBhatBworking histograms needed for mu-transform (background)
TH1*TMVA::MethodBase::fHistBhatSworking histograms needed for mu-transform (signal)
TH1*TMVA::MethodBase::fHistMuBmu-transform (background)
TH1*TMVA::MethodBase::fHistMuSmu-transform (signal)
TH1*TMVA::MethodBase::fHistS_highbinMVA plots used for efficiency calculations (signal)
TH1*TMVA::MethodBase::fHistS_plotbinMVA plots used for graphics representation (signal)
vector<TString>*TMVA::MethodBase::fInputVarsvector of input variables used in MVA
Bool_tTMVA::MethodBase::fIsOKstatus of sanity checks
TMVA::MsgLoggerTMVA::MethodBase::fLoggermessage logger
TMVA::PDF*TMVA::MethodBase::fMVAPdfBbackground MVA PDF
TMVA::PDF*TMVA::MethodBase::fMVAPdfSsignal MVA PDF
Double_tTMVA::MethodBase::fMode
Int_tTMVA::MethodBase::fNbinsnumber of bins in representative histograms
Int_tTMVA::MethodBase::fNbinsHnumber of bins in evaluation histograms
Int_tTMVA::MethodBase::fNbinsMVAPdfnumber of bins used in histogram that creates PDF
Int_tTMVA::MethodBase::fNsmoothMVAPdfnumber of times a histogram is smoothed before creating the PDF
TH1*TMVA::MethodBase::fProbaB_plotbinP(MVA) plots used for graphics representation (background)
TH1*TMVA::MethodBase::fProbaS_plotbinP(MVA) plots used for graphics representation (signal)
TMVA::Ranking*TMVA::MethodBase::fRankingranking
TH1*TMVA::MethodBase::fRarityB_plotbinR(MVA) plots used for graphics representation (background)
TH1*TMVA::MethodBase::fRarityS_plotbinR(MVA) plots used for graphics representation (signal)
TH1*TMVA::MethodBase::fRejBvsSbackground rejection (=1-eff.) versus signal efficiency
TMVA::PDF*TMVA::MethodBase::fSplBPDFs of MVA distribution (background)
TMVA::TSpline1*TMVA::MethodBase::fSplRefBhelper splines for RootFinder (background)
TMVA::TSpline1*TMVA::MethodBase::fSplRefShelper splines for RootFinder (signal)
TMVA::PDF*TMVA::MethodBase::fSplSPDFs of MVA distribution (signal)
TMVA::PDF*TMVA::MethodBase::fSplTrainBPDFs of training MVA distribution (background)
TSpline*TMVA::MethodBase::fSplTrainEffBvsSsplines for training signal eff. versus background eff.
TMVA::TSpline1*TMVA::MethodBase::fSplTrainRefBhelper splines for RootFinder (background)
TMVA::TSpline1*TMVA::MethodBase::fSplTrainRefShelper splines for RootFinder (signal)
TMVA::PDF*TMVA::MethodBase::fSplTrainSPDFs of training MVA distribution (signal)
TSpline*TMVA::MethodBase::fSpleffBvsSsplines for signal eff. versus background eff.
TH1*TMVA::MethodBase::fTrainEffBTraining efficiency plot (background)
TH1*TMVA::MethodBase::fTrainEffBvsSTraining background efficiency versus signal efficiency
TH1*TMVA::MethodBase::fTrainEffSTraining efficiency plot (signal)
TH1*TMVA::MethodBase::fTrainRejBvsSTraining background rejection (=1-eff.) versus signal efficiency
Double_tTMVA::MethodBase::fX
TH1*TMVA::MethodBase::finvBeffvsSeffinverse background eff (1/eff.) versus signal efficiency
private:
TMatrixD*fBetwbetween-class matrix
TMatrixD*fCovfull covariance matrix
vector<Double_t>*fDiscrimPowdiscriminating power
Double_tfF0offset
vector<Double_t>*fFisherCoeffFisher coefficients
TMVA::MethodFisher::EFisherMethodfFisherMethodFisher or Mahalanobis
TMatrixD*fMeanMatx
Double_tfSumOfWeightsBsum-of-weights for background training events
Double_tfSumOfWeightsSsum-of-weights for signal training events
TStringfTheMethodFisher or Mahalanobis
TMatrixD*fWithwithin-class matrix

Class Charts

Inheritance Inherited Members Includes Libraries
Class Charts

Function documentation

MethodFisher(TString jobName, TString methodTitle, TMVA::DataSet& theData, TString theOption = "Fisher", TDirectory* theTargetDir = 0)
 standard constructor for the "Fisher"
MethodFisher(TMVA::DataSet& theData, TString theWeightFile, TDirectory* theTargetDir = NULL)
 constructor to calculate the Fisher-MVA from previously generatad
 coefficients (weight file)
void InitFisher( void )
 default initialization called by all constructors
void DeclareOptions()
 MethodFisher options:
 format and syntax of option string: "type"
 where type is "Fisher" or "Mahalanobis"

void ProcessOptions()
 process user options
~MethodFisher( void )
 destructor
void Train( void )
 computation of Fisher coefficients by series of matrix operations
Double_t GetMvaValue()
 returns the Fisher value (no fixed range)
void InitMatrices( void )
 initializaton method; creates global matrices and vectors
 should never be called without existing trainingTree
void GetMean( void )
 compute mean values of variables in each sample, and the overall means
void GetCov_WithinClass( void )
 the matrix of covariance 'within class' reflects the dispersion of the
 events relative to the center of gravity of their own class
void GetCov_BetweenClass( void )
 the matrix of covariance 'between class' reflects the dispersion of the
 events of a class relative to the global center of gravity of all the class
 hence the separation between classes
void GetCov_Full( void )
 compute full covariance matrix from sum of within and between matrices
void GetFisherCoeff( void )
 Fisher = Sum { [coeff]*[variables] }

 let Xs be the array of the mean values of variables for signal evts
 let Xb be the array of the mean values of variables for backgd evts
 let InvWith be the inverse matrix of the 'within class' correlation matrix

 then the array of Fisher coefficients is
 [coeff] =sqrt(fNsig*fNbgd)/fNevt*transpose{Xs-Xb}*InvWith
void GetDiscrimPower( void )
 computation of discrimination power indicator for each variable
 small values of "fWith" indicates little compactness of sig & of backgd
 big values of "fBetw" indicates large separation between sig & backgd

 we want signal & backgd classes as compact and separated as possible
 the discriminating power is then defined as the ration "fBetw/fWith"
const TMVA::Ranking* CreateRanking()
 computes ranking of input variables
void PrintCoefficients( void )
 display Fisher coefficients and discriminating power for each variable
 check maximum length of variable name
void WriteWeightsToStream(ostream& o) const
 save the weights
void ReadWeightsFromStream(istream& i)
 read Fisher coefficients from weight file
void MakeClassSpecific(ostream& , const TString& ) const
 write Fisher-specific classifier response
void GetHelpMessage()
 get help message text

 typical length of text line:
         "|--------------------------------------------------------------|"
EFisherMethod GetFisherMethod( void )
{ return fFisherMethod; }

Author: Andreas Hoecker, Xavier Prudent, Joerg Stelzer, Helge Voss, Kai Voss
Last update: root/tmva $Id: MethodFisher.cxx,v 1.18 2007/06/21 10:28:08 brun Exp $
Copyright (c) 2005: *

This page has been automatically generated. If you have any comments or suggestions about the page layout send a mail to ROOT support, or contact the developers with any questions or problems regarding ROOT.