Examples:
   x^{2y} :    
 x_{2y} :    
   x^{y^{2}} : 
 x^{y_{1}} : 
   x^{y}_{1} : 
 x_{1}^{y} : 
Examples:
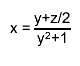
   x = #frac{y+z/2}{y^{2}+1} : 
Examples:
   #splitline{21 April 2003}{14:02:30} : 
Examples:
   #sqrt{10} : 
 #sqrt[3]{10} : 

{
   TCanvas *Ms = new TCanvas("mathsymb","Mathematical Symbols",500,600);
   TLatex Tl;
   Tl.SetTextSize(0.03);
   // Draw First Column
   Tl.SetTextAlign(12);
   float y, step, x1, x2;
   y = 0.96; step = 0.0465; x1 = 0.02; x2 = x1+0.04;
               Tl.DrawLatex(x1, y, "#club")           ; Tl.DrawText(x2, y, "#club");
   y -= step ; Tl.DrawLatex(x1, y, "#voidn")          ; Tl.DrawText(x2, y, "#voidn");
   y -= step ; Tl.DrawLatex(x1, y, "#leq")            ; Tl.DrawText(x2, y, "#leq");
   y -= step ; Tl.DrawLatex(x1, y, "#approx")         ; Tl.DrawText(x2, y, "#approx");
   y -= step ; Tl.DrawLatex(x1, y, "#in")             ; Tl.DrawText(x2, y, "#in");
   y -= step ; Tl.DrawLatex(x1, y, "#supset")         ; Tl.DrawText(x2, y, "#supset");
   y -= step ; Tl.DrawLatex(x1, y, "#cap")            ; Tl.DrawText(x2, y, "#cap");
   y -= step ; Tl.DrawLatex(x1, y, "#ocopyright")     ; Tl.DrawText(x2, y, "#ocopyright");
   y -= step ; Tl.DrawLatex(x1, y, "#trademark")      ; Tl.DrawText(x2, y, "#trademark");
   y -= step ; Tl.DrawLatex(x1, y, "#times")          ; Tl.DrawText(x2, y, "#times");
   y -= step ; Tl.DrawLatex(x1, y, "#bullet")         ; Tl.DrawText(x2, y, "#bullet");
   y -= step ; Tl.DrawLatex(x1, y, "#voidb")          ; Tl.DrawText(x2, y, "#voidb");
   y -= step ; Tl.DrawLatex(x1, y, "#doublequote")    ; Tl.DrawText(x2, y, "#doublequote");
   y -= step ; Tl.DrawLatex(x1, y, "#lbar")           ; Tl.DrawText(x2, y, "#lbar");
   y -= step ; Tl.DrawLatex(x1, y, "#arcbottom")      ; Tl.DrawText(x2, y, "#arcbottom");
   y -= step ; Tl.DrawLatex(x1, y, "#downarrow")      ; Tl.DrawText(x2, y, "#downarrow");
   y -= step ; Tl.DrawLatex(x1, y, "#leftrightarrow") ; Tl.DrawText(x2, y, "#leftrightarrow");
   y -= step ; Tl.DrawLatex(x1, y, "#Downarrow")      ; Tl.DrawText(x2, y, "#Downarrow");
   y -= step ; Tl.DrawLatex(x1, y, "#Leftrightarrow") ; Tl.DrawText(x2, y, "#Leftrightarrow");
   y -= step ; Tl.DrawLatex(x1, y, "#void8")          ; Tl.DrawText(x2, y, "#void8");
   y -= step ; Tl.DrawLatex(x1, y, "#hbar")           ; Tl.DrawText(x2, y, "#hbar");
   // Draw Second Column
   y = 0.96; step = 0.0465; x1 = 0.27; x2 = x1+0.04;
               Tl.DrawLatex(x1, y, "#diamond")        ; Tl.DrawText(x2, y, "#diamond");
   y -= step ; Tl.DrawLatex(x1, y, "#aleph")          ; Tl.DrawText(x2, y, "#aleph");
   y -= step ; Tl.DrawLatex(x1, y, "#geq")            ; Tl.DrawText(x2, y, "#geq");
   y -= step ; Tl.DrawLatex(x1, y, "#neq")            ; Tl.DrawText(x2, y, "#neq");
   y -= step ; Tl.DrawLatex(x1, y, "#notin")          ; Tl.DrawText(x2, y, "#notin");
   y -= step ; Tl.DrawLatex(x1, y, "#subseteq")       ; Tl.DrawText(x2, y, "#subseteq");
   y -= step ; Tl.DrawLatex(x1, y, "#cup")            ; Tl.DrawText(x2, y, "#cup");
   y -= step ; Tl.DrawLatex(x1, y, "#copyright")      ; Tl.DrawText(x2, y, "#copyright");
   y -= step ; Tl.DrawLatex(x1, y, "#void3")          ; Tl.DrawText(x2, y, "#void3");
   y -= step ; Tl.DrawLatex(x1, y, "#divide")         ; Tl.DrawText(x2, y, "#divide");
   y -= step ; Tl.DrawLatex(x1, y, "#circ")           ; Tl.DrawText(x2, y, "#circ");
   y -= step ; Tl.DrawLatex(x1, y, "#infty")          ; Tl.DrawText(x2, y, "#infty");
   y -= step ; Tl.DrawLatex(x1, y, "#angle")          ; Tl.DrawText(x2, y, "#angle");
   y -= step ; Tl.DrawLatex(x1, y, "#cbar")           ; Tl.DrawText(x2, y, "#cbar");
   y -= step ; Tl.DrawLatex(x1, y, "#arctop")         ; Tl.DrawText(x2, y, "#arctop");
   y -= step ; Tl.DrawLatex(x1, y, "#leftarrow")      ; Tl.DrawText(x2, y, "#leftarrow");
   y -= step ; Tl.DrawLatex(x1, y, "#otimes")         ; Tl.DrawText(x2, y, "#otimes");
   y -= step ; Tl.DrawLatex(x1, y, "#Leftarrow")      ; Tl.DrawText(x2, y, "#Leftarrow");
   y -= step ; Tl.DrawLatex(x1, y, "#prod")           ; Tl.DrawText(x2, y, "#prod");
   y -= step ; Tl.DrawLatex(x1, y, "#Box")            ; Tl.DrawText(x2, y, "#Box");
   y -= step ; Tl.DrawLatex(x1, y, "#parallel")       ; Tl.DrawText(x2, y, "#parallel");
   // Draw Third Column
   y = 0.96; step = 0.0465; x1 = 0.52; x2 = x1+0.04;
               Tl.DrawLatex(x1, y, "#heart")          ; Tl.DrawText(x2, y, "#heart");
   y -= step ; Tl.DrawLatex(x1, y, "#Jgothic")        ; Tl.DrawText(x2, y, "#Jgothic");
   y -= step ; Tl.DrawLatex(x1, y, "#LT")             ; Tl.DrawText(x2, y, "#LT");
   y -= step ; Tl.DrawLatex(x1, y, "#equiv")          ; Tl.DrawText(x2, y, "#equiv");
   y -= step ; Tl.DrawLatex(x1, y, "#subset")         ; Tl.DrawText(x2, y, "#subset");
   y -= step ; Tl.DrawLatex(x1, y, "#supseteq")       ; Tl.DrawText(x2, y, "#supseteq");
   y -= step ; Tl.DrawLatex(x1, y, "#wedge")          ; Tl.DrawText(x2, y, "#wedge");
   y -= step ; Tl.DrawLatex(x1, y, "#oright")         ; Tl.DrawText(x2, y, "#oright");
   y -= step ; Tl.DrawLatex(x1, y, "#AA")             ; Tl.DrawText(x2, y, "#AA");
   y -= step ; Tl.DrawLatex(x1, y, "#pm")             ; Tl.DrawText(x2, y, "#pm");
   y -= step ; Tl.DrawLatex(x1, y, "#3dots")          ; Tl.DrawText(x2, y, "#3dots");
   y -= step ; Tl.DrawLatex(x1, y, "#nabla")          ; Tl.DrawText(x2, y, "#nabla");
   y -= step ; Tl.DrawLatex(x1, y, "#downleftarrow")  ; Tl.DrawText(x2, y, "#downleftarrow");
   y -= step ; Tl.DrawLatex(x1, y, "#topbar")         ; Tl.DrawText(x2, y, "#topbar");
   y -= step ; Tl.DrawLatex(x1, y, "#arcbar")         ; Tl.DrawText(x2, y, "#arcbar");
   y -= step ; Tl.DrawLatex(x1, y, "#uparrow")        ; Tl.DrawText(x2, y, "#uparrow");
   y -= step ; Tl.DrawLatex(x1, y, "#oplus")          ; Tl.DrawText(x2, y, "#oplus");
   y -= step ; Tl.DrawLatex(x1, y, "#Uparrow")        ; Tl.DrawText(x2, y, "#Uparrow");
   y -= step ; Tl.DrawLatex(x1, y-0.01, "#sum")       ; Tl.DrawText(x2, y, "#sum");
   y -= step ; Tl.DrawLatex(x1, y, "#perp")           ; Tl.DrawText(x2, y, "#perp");
   // Draw Fourth Column
   y = 0.96; step = 0.0465; x1 = 0.77; x2 = x1+0.04;
               Tl.DrawLatex(x1, y, "#spade")          ; Tl.DrawText(x2, y, "#spade");
   y -= step ; Tl.DrawLatex(x1, y, "#Rgothic")        ; Tl.DrawText(x2, y, "#Rgothic");
   y -= step ; Tl.DrawLatex(x1, y, "#GT")             ; Tl.DrawText(x2, y, "#GT");
   y -= step ; Tl.DrawLatex(x1, y, "#propto")         ; Tl.DrawText(x2, y, "#propto");
   y -= step ; Tl.DrawLatex(x1, y, "#notsubset")      ; Tl.DrawText(x2, y, "#notsubset");
   y -= step ; Tl.DrawLatex(x1, y, "#oslash")         ; Tl.DrawText(x2, y, "#oslash");
   y -= step ; Tl.DrawLatex(x1, y, "#vee")            ; Tl.DrawText(x2, y, "#vee");
   y -= step ; Tl.DrawLatex(x1, y, "#void1")          ; Tl.DrawText(x2, y, "#void1");
   y -= step ; Tl.DrawLatex(x1, y, "#aa")             ; Tl.DrawText(x2, y, "#aa");
   y -= step ; Tl.DrawLatex(x1, y, "#/")              ; Tl.DrawText(x2, y, "#/");
   y -= step ; Tl.DrawLatex(x1, y, "#upoint")         ; Tl.DrawText(x2, y, "#upoint");
   y -= step ; Tl.DrawLatex(x1, y, "#partial")        ; Tl.DrawText(x2, y, "#partial");
   y -= step ; Tl.DrawLatex(x1, y, "#corner")         ; Tl.DrawText(x2, y, "#corner");
   y -= step ; Tl.DrawLatex(x1, y, "#ltbar")          ; Tl.DrawText(x2, y, "#ltbar");
   y -= step ; Tl.DrawLatex(x1, y, "#bottombar")      ; Tl.DrawText(x2, y, "#bottombar");
   y -= step ; Tl.DrawLatex(x1, y, "#rightarrow")     ; Tl.DrawText(x2, y, "#rightarrow");
   y -= step ; Tl.DrawLatex(x1, y, "#surd")           ; Tl.DrawText(x2, y, "#surd");
   y -= step ; Tl.DrawLatex(x1, y, "#Rightarrow")     ; Tl.DrawText(x2, y, "#Rightarrow");
   y -= step ; Tl.DrawLatex(x1, y-0.015, "#int")      ; Tl.DrawText(x2, y, "#int");
   y -= step ; Tl.DrawLatex(x1, y, "#odot")           ; Tl.DrawText(x2, y, "#odot");
   return Ms;
}
   #[]{....} or "a la" Latex #left[.....#right] : big square brackets
   #{}{....} or              #left{.....#right} : big curly brackets
   #||{....} or              #left|.....#right| : big absolute value symbol
   #(){....} or              #left(.....#right) : big parenthesis

{
   TCanvas *Gl = new TCanvas("greek","greek",500,700);
   TLatex Tl;
   Tl.SetTextSize(0.03);
   // Draw the columns titles
   Tl.SetTextAlign(22);
   Tl.DrawLatex(0.165, 0.95, "Lower case");
   Tl.DrawLatex(0.495, 0.95, "Upper case");
   Tl.DrawLatex(0.825, 0.95, "Variations");
   // Draw the lower case letters
   Tl.SetTextAlign(12);
   float y, x1, x2;
   y = 0.90; x1 = 0.07; x2 = x1+0.2;
                 Tl.DrawLatex(x1, y, "alpha : ")   ; Tl.DrawLatex(x2, y, "#alpha");
   y -= 0.0375 ; Tl.DrawLatex(x1, y, "beta : ")    ; Tl.DrawLatex(x2, y, "#beta");
   y -= 0.0375 ; Tl.DrawLatex(x1, y, "gamma : ")   ; Tl.DrawLatex(x2, y, "#gamma");
   y -= 0.0375 ; Tl.DrawLatex(x1, y, "delta : ")   ; Tl.DrawLatex(x2, y, "#delta");
   y -= 0.0375 ; Tl.DrawLatex(x1, y, "epsilon : ") ; Tl.DrawLatex(x2, y, "#epsilon");
   y -= 0.0375 ; Tl.DrawLatex(x1, y, "zeta : ")    ; Tl.DrawLatex(x2, y, "#zeta");
   y -= 0.0375 ; Tl.DrawLatex(x1, y, "eta : ")     ; Tl.DrawLatex(x2, y, "#eta");
   y -= 0.0375 ; Tl.DrawLatex(x1, y, "theta : ")   ; Tl.DrawLatex(x2, y, "#theta");
   y -= 0.0375 ; Tl.DrawLatex(x1, y, "iota : ")    ; Tl.DrawLatex(x2, y, "#iota");
   y -= 0.0375 ; Tl.DrawLatex(x1, y, "kappa : ")   ; Tl.DrawLatex(x2, y, "#kappa");
   y -= 0.0375 ; Tl.DrawLatex(x1, y, "lambda : ")  ; Tl.DrawLatex(x2, y, "#lambda");
   y -= 0.0375 ; Tl.DrawLatex(x1, y, "mu : ")      ; Tl.DrawLatex(x2, y, "#mu");
   y -= 0.0375 ; Tl.DrawLatex(x1, y, "nu : ")      ; Tl.DrawLatex(x2, y, "#nu");
   y -= 0.0375 ; Tl.DrawLatex(x1, y, "xi : ")      ; Tl.DrawLatex(x2, y, "#xi");
   y -= 0.0375 ; Tl.DrawLatex(x1, y, "omicron : ") ; Tl.DrawLatex(x2, y, "#omicron");
   y -= 0.0375 ; Tl.DrawLatex(x1, y, "pi : ")      ; Tl.DrawLatex(x2, y, "#pi");
   y -= 0.0375 ; Tl.DrawLatex(x1, y, "rho : ")     ; Tl.DrawLatex(x2, y, "#rho");
   y -= 0.0375 ; Tl.DrawLatex(x1, y, "sigma : ")   ; Tl.DrawLatex(x2, y, "#sigma");
   y -= 0.0375 ; Tl.DrawLatex(x1, y, "tau : ")     ; Tl.DrawLatex(x2, y, "#tau");
   y -= 0.0375 ; Tl.DrawLatex(x1, y, "upsilon : ") ; Tl.DrawLatex(x2, y, "#upsilon");
   y -= 0.0375 ; Tl.DrawLatex(x1, y, "phi : ")     ; Tl.DrawLatex(x2, y, "#phi");
   y -= 0.0375 ; Tl.DrawLatex(x1, y, "chi : ")     ; Tl.DrawLatex(x2, y, "#chi");
   y -= 0.0375 ; Tl.DrawLatex(x1, y, "psi : ")     ; Tl.DrawLatex(x2, y, "#psi");
   y -= 0.0375 ; Tl.DrawLatex(x1, y, "omega : ")   ; Tl.DrawLatex(x2, y, "#omega");
   // Draw the upper case letters
   y = 0.90; x1 = 0.40; x2 = x1+0.2;
                 Tl.DrawLatex(x1, y, "Alpha : ")   ; Tl.DrawLatex(x2, y, "#Alpha");
   y -= 0.0375 ; Tl.DrawLatex(x1, y, "Beta : ")    ; Tl.DrawLatex(x2, y, "#Beta");
   y -= 0.0375 ; Tl.DrawLatex(x1, y, "Gamma : ")   ; Tl.DrawLatex(x2, y, "#Gamma");
   y -= 0.0375 ; Tl.DrawLatex(x1, y, "Delta : ")   ; Tl.DrawLatex(x2, y, "#Delta");
   y -= 0.0375 ; Tl.DrawLatex(x1, y, "Epsilon : ") ; Tl.DrawLatex(x2, y, "#Epsilon");
   y -= 0.0375 ; Tl.DrawLatex(x1, y, "Zeta : ")    ; Tl.DrawLatex(x2, y, "#Zeta");
   y -= 0.0375 ; Tl.DrawLatex(x1, y, "Eta : ")     ; Tl.DrawLatex(x2, y, "#Eta");
   y -= 0.0375 ; Tl.DrawLatex(x1, y, "Theta : ")   ; Tl.DrawLatex(x2, y, "#Theta");
   y -= 0.0375 ; Tl.DrawLatex(x1, y, "Iota : ")    ; Tl.DrawLatex(x2, y, "#Iota");
   y -= 0.0375 ; Tl.DrawLatex(x1, y, "Kappa : ")   ; Tl.DrawLatex(x2, y, "#Kappa");
   y -= 0.0375 ; Tl.DrawLatex(x1, y, "Lambda : ")  ; Tl.DrawLatex(x2, y, "#Lambda");
   y -= 0.0375 ; Tl.DrawLatex(x1, y, "Mu : ")      ; Tl.DrawLatex(x2, y, "#Mu");
   y -= 0.0375 ; Tl.DrawLatex(x1, y, "Nu : ")      ; Tl.DrawLatex(x2, y, "#Nu");
   y -= 0.0375 ; Tl.DrawLatex(x1, y, "Xi : ")      ; Tl.DrawLatex(x2, y, "#Xi");
   y -= 0.0375 ; Tl.DrawLatex(x1, y, "Omicron : ") ; Tl.DrawLatex(x2, y, "#Omicron");
   y -= 0.0375 ; Tl.DrawLatex(x1, y, "Pi : ")      ; Tl.DrawLatex(x2, y, "#Pi");
   y -= 0.0375 ; Tl.DrawLatex(x1, y, "Rho : ")     ; Tl.DrawLatex(x2, y, "#Rho");
   y -= 0.0375 ; Tl.DrawLatex(x1, y, "Sigma : ")   ; Tl.DrawLatex(x2, y, "#Sigma");
   y -= 0.0375 ; Tl.DrawLatex(x1, y, "Tau : ")     ; Tl.DrawLatex(x2, y, "#Tau");
   y -= 0.0375 ; Tl.DrawLatex(x1, y, "Upsilon : ") ; Tl.DrawLatex(x2, y, "#Upsilon");
   y -= 0.0375 ; Tl.DrawLatex(x1, y, "Phi : ")     ; Tl.DrawLatex(x2, y, "#Phi");
   y -= 0.0375 ; Tl.DrawLatex(x1, y, "Chi : ")     ; Tl.DrawLatex(x2, y, "#Chi");
   y -= 0.0375 ; Tl.DrawLatex(x1, y, "Psi : ")     ; Tl.DrawLatex(x2, y, "#Psi");
   y -= 0.0375 ; Tl.DrawLatex(x1, y, "Omega : ")   ; Tl.DrawLatex(x2, y, "#Omega");
   // Draw the variations
   x1 = 0.73; x2 = x1+0.2;
   y = 0.7500 ; Tl.DrawLatex(x1, y, "varepsilon : ") ; Tl.DrawLatex(x2, y, "#varepsilon");
   y = 0.6375 ; Tl.DrawLatex(x1, y, "vartheta : ")   ; Tl.DrawLatex(x2, y, "#vartheta");
   y = 0.2625 ; Tl.DrawLatex(x1, y, "varsigma : ")   ; Tl.DrawLatex(x2, y, "#varsigma");
   y = 0.1875 ; Tl.DrawLatex(x1, y, "varUpsilon : ") ; Tl.DrawLatex(x2, y, "#varUpsilon");
   y = 0.1500 ; Tl.DrawLatex(x1, y, "varphi : ")     ; Tl.DrawLatex(x2, y, "#varphi");
   y = 0.0375 ; Tl.DrawLatex(x1, y, "varomega : ")   ; Tl.DrawLatex(x2, y, "#varomega");
   return Gl;
}#hat =The special sign: #slash draws a slash on top of the text between brackets:#check =
#acute =
#grave =
#dot =
#ddot =
#tilde =
![]()
   #slash{E}_{T} : 
Bar and vectors sign are done the following way:
   #bar{a}: 
   #vec{a}: 
Examples:
   #font[12]{Times Italic} and #font[22]{Times bold} : 
   #color[2]{Red} and #color[4]{Blue} : 
   #scale[1.2]{Bigger} and #scale[0.8]{Smaller} : 

{
   TCanvas Tlva("Tlva","Tlva",500,500);
   Tlva.SetGrid();
   Tlva.DrawFrame(0,0,1,1);
   const char *longstring = "K_{S}... K^{*0}... #frac{2s}{#pi#alpha^{2}}
   #frac{d#sigma}{dcos#theta} (e^{+}e^{-} #rightarrow f#bar{f} ) =
   #left| #frac{1}{1 - #Delta#alpha} #right|^{2} (1+cos^{2}#theta)";
   TLatex latex;
   latex.SetTextSize(0.025);
   latex.SetTextAlign(13);  //align at top
   latex.DrawLatex(.2,.9,"K_{S}");
   latex.DrawLatex(.3,.9,"K^{*0}");
   latex.DrawLatex(.2,.8,longstring);
   latex.SetTextAlign(12);  //centered
   latex.DrawLatex(.2,.6,"K_{S}");
   latex.DrawLatex(.3,.6,"K^{*0}");
   latex.DrawLatex(.2,.5,longstring);
   latex.SetTextAlign(11);  //default bottom alignment
   latex.DrawLatex(.2,.4,"K_{S}");
   latex.DrawLatex(.3,.4,"K^{*0}");
   latex.DrawLatex(.2,.3,longstring);
   latex.SetTextAlign(10);  //special bottom alignment
   latex.DrawLatex(.2,.2,"K_{S}");
   latex.DrawLatex(.3,.2,"K^{*0}");
   latex.DrawLatex(.2,.1,longstring);
   latex.SetTextAlign(12);
   latex->SetTextFont(72);
   latex->DrawLatex(.1,.80,"13");
   latex->DrawLatex(.1,.55,"12");
   latex->DrawLatex(.1,.35,"11");
   latex->DrawLatex(.1,.18,"10");
   return Tlva;
}
{
   TCanvas ex1("ex1","Latex",500,600);
   TLatex Tl;
   Tl.SetTextAlign(12);
   Tl.SetTextSize(0.04);
   Tl.DrawLatex(0.1,0.8,"1)   C(x) = d #sqrt{#frac{2}{#lambdaD}}  #int^{x}_{0}cos(#frac{#pi}{2}t^{2})dt");
   Tl.DrawLatex(0.1,0.6,"2)   C(x) = d #sqrt{#frac{2}{#lambdaD}}  #int^{x}cos(#frac{#pi}{2}t^{2})dt");
   Tl.DrawLatex(0.1,0.4,"3)   R = |A|^{2} = #frac{1}{2}(#[]{#frac{1}{2}+C(V)}^{2}+#[]{#frac{1}{2}+S(V)}^{2})");
   Tl.DrawLatex(0.1,0.2,"4)   F(t) = #sum_{i=-#infty}^{#infty}A(i)cos#[]{#frac{i}{t+i}}");
   return ex1;
}
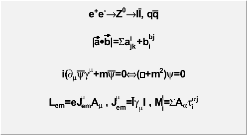
{
   TCanvas ex2("ex2","Latex",500,300);
   TLatex Tl;
   Tl.SetTextAlign(23);
   Tl.SetTextSize(0.08);
   Tl.DrawLatex(0.5,0.95,"e^{+}e^{-}#rightarrowZ^{0}#rightarrowI#bar{I}, q#bar{q}");
   Tl.DrawLatex(0.5,0.75,"|#vec{a}#bullet#vec{b}|=#Sigmaa^{i}_{jk}+b^{bj}_{i}");
   Tl.DrawLatex(0.5,0.5,"i(#partial_{#mu}#bar{#psi}#gamma^{#mu}+m#bar{#psi}=0#Leftrightarrow(#Box+m^{2})#psi=0");
   Tl.DrawLatex(0.5,0.3,"L_{em}=eJ^{#mu}_{em}A_{#mu} , J^{#mu}_{em}=#bar{I}#gamma_{#mu}I , M^{j}_{i}=#SigmaA_{#alpha}#tau^{#alphaj}_{i}");
   return ex2;
}
{
   TCanvas ex3("ex3","Latex",500,300);
   TPaveText pt(.1,.1,.9,.9);
   pt.AddText("#frac{2s}{#pi#alpha^{2}}  #frac{d#sigma}{dcos#theta} (e^{+}e^{-} #rightarrow f#bar{f} ) = ");
   pt.AddText("#left| #frac{1}{1 - #Delta#alpha} #right|^{2} (1+cos^{2}#theta");
   pt.AddText("+ 4 Re #left{ #frac{2}{1 - #Delta#alpha} #chi(s) #[]{#hat{g}_{#nu}^{e}#hat{g}_{#nu}^{f}
   (1 + cos^{2}#theta) + 2 #hat{g}_{a}^{e}#hat{g}_{a}^{f} cos#theta) } #right}");
   pt.SetLabel("Born equation");
   pt.Draw();
   return ex3;
}| TLatex() | |
| TLatex(const TLatex& text) | |
| TLatex(Double_t x, Double_t y, const char* text) | |
| virtual | ~TLatex() | 
| void | TObject::AbstractMethod(const char* method) const | 
| virtual void | TObject::AppendPad(Option_t* option = "") | 
| virtual void | TObject::Browse(TBrowser* b) | 
| static TClass* | Class() | 
| virtual const char* | TObject::ClassName() const | 
| virtual void | TNamed::Clear(Option_t* option = "") | 
| virtual TObject* | TNamed::Clone(const char* newname = "") const | 
| virtual Int_t | TNamed::Compare(const TObject* obj) const | 
| virtual void | Copy(TObject& text) const | 
| virtual void | TObject::Delete(Option_t* option = "")MENU | 
| Int_t | TAttLine::DistancetoLine(Int_t px, Int_t py, Double_t xp1, Double_t yp1, Double_t xp2, Double_t yp2) | 
| virtual Int_t | TText::DistancetoPrimitive(Int_t px, Int_t py) | 
| virtual void | TObject::Draw(Option_t* option = "") | 
| virtual void | TObject::DrawClass() constMENU | 
| virtual TObject* | TObject::DrawClone(Option_t* option = "") constMENU | 
| TLatex* | DrawLatex(Double_t x, Double_t y, const char* text) | 
| virtual TText* | TText::DrawText(Double_t x, Double_t y, const char* text) | 
| virtual TText* | TText::DrawTextNDC(Double_t x, Double_t y, const char* text) | 
| virtual void | TObject::Dump() constMENU | 
| virtual void | TObject::Error(const char* method, const char* msgfmt) const | 
| virtual void | TObject::Execute(const char* method, const char* params, Int_t* error = 0) | 
| virtual void | TObject::Execute(TMethod* method, TObjArray* params, Int_t* error = 0) | 
| virtual void | TText::ExecuteEvent(Int_t event, Int_t px, Int_t py) | 
| virtual void | TObject::Fatal(const char* method, const char* msgfmt) const | 
| virtual void | TNamed::FillBuffer(char*& buffer) | 
| virtual TObject* | TObject::FindObject(const char* name) const | 
| virtual TObject* | TObject::FindObject(const TObject* obj) const | 
| virtual void | GetBoundingBox(UInt_t& w, UInt_t& h, Bool_t angle = kFALSE) | 
| virtual void | TText::GetControlBox(Int_t x, Int_t y, Double_t theta, Int_t* cBoxX, Int_t* cBoxY) | 
| virtual Option_t* | TObject::GetDrawOption() const | 
| static Long_t | TObject::GetDtorOnly() | 
| Double_t | GetHeight() const | 
| virtual const char* | TObject::GetIconName() const | 
| virtual Color_t | TAttLine::GetLineColor() const | 
| virtual Style_t | TAttLine::GetLineStyle() const | 
| virtual Width_t | TAttLine::GetLineWidth() const | 
| virtual const char* | TNamed::GetName() const | 
| virtual char* | TObject::GetObjectInfo(Int_t px, Int_t py) const | 
| static Bool_t | TObject::GetObjectStat() | 
| virtual Option_t* | TObject::GetOption() const | 
| virtual Short_t | TAttText::GetTextAlign() const | 
| virtual Float_t | TAttText::GetTextAngle() const | 
| virtual void | TText::GetTextAscentDescent(UInt_t& a, UInt_t& d, const char* text) const | 
| virtual Color_t | TAttText::GetTextColor() const | 
| virtual void | TText::GetTextExtent(UInt_t& w, UInt_t& h, const char* text) const | 
| virtual Font_t | TAttText::GetTextFont() const | 
| virtual Float_t | TAttText::GetTextSize() const | 
| virtual const char* | TNamed::GetTitle() const | 
| virtual UInt_t | TObject::GetUniqueID() const | 
| Double_t | TText::GetX() const | 
| Double_t | GetXsize() | 
| Double_t | TText::GetY() const | 
| Double_t | GetYsize() | 
| virtual Bool_t | TObject::HandleTimer(TTimer* timer) | 
| virtual ULong_t | TNamed::Hash() const | 
| virtual void | TObject::Info(const char* method, const char* msgfmt) const | 
| virtual Bool_t | TObject::InheritsFrom(const char* classname) const | 
| virtual Bool_t | TObject::InheritsFrom(const TClass* cl) const | 
| virtual void | TObject::Inspect() constMENU | 
| void | TObject::InvertBit(UInt_t f) | 
| virtual TClass* | IsA() const | 
| virtual Bool_t | TObject::IsEqual(const TObject* obj) const | 
| virtual Bool_t | TObject::IsFolder() const | 
| Bool_t | TObject::IsOnHeap() const | 
| virtual Bool_t | TNamed::IsSortable() const | 
| Bool_t | TObject::IsZombie() const | 
| virtual void | TText::ls(Option_t* option = "") const | 
| void | TObject::MayNotUse(const char* method) const | 
| virtual void | TAttText::Modify() | 
| virtual Bool_t | TObject::Notify() | 
| static void | TObject::operator delete(void* ptr) | 
| static void | TObject::operator delete(void* ptr, void* vp) | 
| static void | TObject::operator delete[](void* ptr) | 
| static void | TObject::operator delete[](void* ptr, void* vp) | 
| void* | TObject::operator new(size_t sz) | 
| void* | TObject::operator new(size_t sz, void* vp) | 
| void* | TObject::operator new[](size_t sz) | 
| void* | TObject::operator new[](size_t sz, void* vp) | 
| virtual void | Paint(Option_t* option = "") | 
| virtual void | TText::PaintControlBox(Int_t x, Int_t y, Double_t theta) | 
| virtual void | PaintLatex(Double_t x, Double_t y, Double_t angle, Double_t size, const char* text) | 
| virtual void | TText::PaintText(Double_t x, Double_t y, const char* text) | 
| virtual void | TText::PaintTextNDC(Double_t u, Double_t v, const char* text) | 
| virtual void | TObject::Pop() | 
| virtual void | TText::Print(Option_t* option = "") const | 
| virtual Int_t | TObject::Read(const char* name) | 
| virtual void | TObject::RecursiveRemove(TObject* obj) | 
| virtual void | TAttLine::ResetAttLine(Option_t* option = "") | 
| virtual void | TAttText::ResetAttText(Option_t* toption = "") | 
| void | TObject::ResetBit(UInt_t f) | 
| virtual void | TObject::SaveAs(const char* filename = "", Option_t* option = "") constMENU | 
| virtual void | TAttLine::SaveLineAttributes(ostream& out, const char* name, Int_t coldef = 1, Int_t stydef = 1, Int_t widdef = 1) | 
| virtual void | SavePrimitive(ostream& out, Option_t* option = "") | 
| virtual void | TAttText::SaveTextAttributes(ostream& out, const char* name, Int_t alidef = 12, Float_t angdef = 0, Int_t coldef = 1, Int_t fondef = 61, Float_t sizdef = 1) | 
| void | TObject::SetBit(UInt_t f) | 
| void | TObject::SetBit(UInt_t f, Bool_t set) | 
| virtual void | TObject::SetDrawOption(Option_t* option = "")MENU | 
| static void | TObject::SetDtorOnly(void* obj) | 
| virtual void | SetIndiceSize(Double_t factorSize) | 
| virtual void | SetLimitIndiceSize(Int_t limitFactorSize) | 
| virtual void | TAttLine::SetLineAttributes()MENU | 
| virtual void | TAttLine::SetLineColor(Color_t lcolor) | 
| virtual void | TAttLine::SetLineStyle(Style_t lstyle) | 
| virtual void | TAttLine::SetLineWidth(Width_t lwidth) | 
| virtual void | TNamed::SetName(const char* name)MENU | 
| virtual void | TNamed::SetNameTitle(const char* name, const char* title) | 
| virtual void | TText::SetNDC(Bool_t isNDC = kTRUE) | 
| static void | TObject::SetObjectStat(Bool_t stat) | 
| virtual void | TText::SetText(Double_t x, Double_t y, const char* text)MENU | 
| virtual void | TAttText::SetTextAlign(Short_t align = 11) | 
| virtual void | TAttText::SetTextAngle(Float_t tangle = 0)MENU | 
| virtual void | TAttText::SetTextAttributes()MENU | 
| virtual void | TAttText::SetTextColor(Color_t tcolor = 1) | 
| virtual void | TAttText::SetTextFont(Font_t tfont = 62) | 
| virtual void | TAttText::SetTextSize(Float_t tsize = 1) | 
| virtual void | TAttText::SetTextSizePixels(Int_t npixels) | 
| virtual void | TNamed::SetTitle(const char* title = "")MENU | 
| virtual void | TObject::SetUniqueID(UInt_t uid) | 
| virtual void | TText::SetX(Double_t x)MENU | 
| virtual void | TText::SetY(Double_t y)MENU | 
| virtual void | ShowMembers(TMemberInspector& insp, char* parent) | 
| virtual Int_t | TNamed::Sizeof() const | 
| virtual void | Streamer(TBuffer& b) | 
| void | StreamerNVirtual(TBuffer& b) | 
| virtual void | TObject::SysError(const char* method, const char* msgfmt) const | 
| Bool_t | TObject::TestBit(UInt_t f) const | 
| Int_t | TObject::TestBits(UInt_t f) const | 
| virtual void | TObject::UseCurrentStyle() | 
| virtual void | TObject::Warning(const char* method, const char* msgfmt) const | 
| virtual Int_t | TObject::Write(const char* name = 0, Int_t option = 0, Int_t bufsize = 0) | 
| virtual Int_t | TObject::Write(const char* name = 0, Int_t option = 0, Int_t bufsize = 0) const | 
| TLatexFormSize | Anal1(TextSpec_t spec, const Char_t* t, Int_t length) | 
| TLatexFormSize | Analyse(Double_t x, Double_t y, TextSpec_t spec, const Char_t* t, Int_t length) | 
| Int_t | CheckLatexSyntax(TString& text) | 
| virtual void | TObject::DoError(int level, const char* location, const char* fmt, va_list va) const | 
| void | DrawCircle(Double_t x1, Double_t y1, Double_t r, TextSpec_t spec) | 
| void | DrawLine(Double_t x1, Double_t y1, Double_t x2, Double_t y2, TextSpec_t spec) | 
| void | DrawParenthesis(Double_t x1, Double_t y1, Double_t r1, Double_t r2, Double_t phimin, Double_t phimax, TextSpec_t spec) | 
| TLatexFormSize | FirstParse(Double_t angle, Double_t size, const Char_t* text) | 
| void | TObject::MakeZombie() | 
| TLatex& | operator=(const TLatex&) | 
| TLatexFormSize | Readfs() | 
| void | Savefs(TLatexFormSize* fs) | 
| enum { | kTextNDC | |
| }; | ||
| enum TText::[unnamed] { | kTextNDC | |
| }; | ||
| enum TObject::EStatusBits { | kCanDelete | |
| kMustCleanup | ||
| kObjInCanvas | ||
| kIsReferenced | ||
| kHasUUID | ||
| kCannotPick | ||
| kNoContextMenu | ||
| kInvalidObject | ||
| }; | ||
| enum TObject::[unnamed] { | kIsOnHeap | |
| kNotDeleted | ||
| kZombie | ||
| kBitMask | ||
| kSingleKey | ||
| kOverwrite | ||
| kWriteDelete | ||
| }; | 
| const Char_t* | fError | !error code | 
| Double_t | fFactorPos | !Relative position of subscripts and superscripts | 
| Double_t | fFactorSize | !Relative size of subscripts and superscripts | 
| Int_t | fLimitFactorSize | lower bound for subscripts/superscripts size | 
| Color_t | TAttLine::fLineColor | line color | 
| Style_t | TAttLine::fLineStyle | line style | 
| Width_t | TAttLine::fLineWidth | line width | 
| TString | TNamed::fName | object identifier | 
| Double_t | fOriginSize | Font size of the starting font | 
| Int_t | fPos | !Current position in array fTabSize; | 
| Bool_t | fShow | !is true during the second pass (Painting) | 
| Int_t | fTabMax | !Maximum allocation for array fTabSize; | 
| FormSize_t* | fTabSize | !array of values for the different zones | 
| Short_t | TAttText::fTextAlign | Text alignment | 
| Float_t | TAttText::fTextAngle | Text angle | 
| Color_t | TAttText::fTextColor | Text color index | 
| Font_t | TAttText::fTextFont | Text font number | 
| Float_t | TAttText::fTextSize | Text size | 
| TString | TNamed::fTitle | object title | 
| Double_t | TText::fX | X position of text (left,center,etc..) | 
| Double_t | TText::fY | Y position of text (left,center,etc..) | 

Analyse and paint the TLatex formula It is called twice : first for calculating the size of each portion of the formula, then to paint the formula. When analyse finds an operator or separator, it calls itself recursively to analyse the arguments of the operator. when the argument is an atom (normal text), it calculates the size of it and return it as the result. for example : if the operator #frac{arg1}{arg2} is found : Analyse(arg1) return the size of arg1 (width, up, down) Analyse(arg2) return the size of arg2 now, we know the size of #frac{arg1}{arg2} : width = max(width_arg1, width_arg2) up = up_arg1 + down_arg1 down = up_arg2 + down_arg2 so, when the user wants to paint a fraction at position (x,y), the rect used for the formula is : (x,y-up,x+width,y+down) return size of zone occupied by the text/formula t : chain to be analyzed length : number of chars in t.
Make a copy of this object with the new parameters And copy object attributes
Draw a line in a Latex formula
Draw an arc of ellipse in a Latex formula (right or left parenthesis)
Draw an arc of ellipse in a Latex formula (right or left parenthesis)
Main drawing function Warning: Unlike most others "XYZ::PaintXYZ" methods, PaintLatex modifies the TLatex data members.
First parsing of the analyse sequence
Save primitive as a C++ statement(s) on output stream out
Set limit for text resizing of subscipts and superscripts