class TMVA::MethodLikelihood: public TMVA::MethodBase


Likelihood analysis ("non-parametric approach")

Also implemented is a "diagonalized likelihood approach", which improves over the uncorrelated likelihood ansatz by transforming linearly the input variables into a diagonal space, using the square-root of the covariance matrix

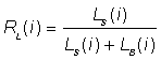
The method of maximum likelihood is the most straightforward, and certainly among the most elegant multivariate analyser approaches. We define the likelihood ratio, RL, for event i, by:

Here the signal and background likelihoods, LS, LB, are products of the corresponding probability densities, pS, pB, of the Nvar discriminating variables used in the MVA:
and accordingly for LB. In practise, TMVA uses polynomial splines to estimate the probability density functions (PDF) obtained from the distributions of the training variables.

Note that in TMVA the output of the likelihood ratio is transformed by

to avoid the occurrence of heavy peaks at RL=0,1. Decorrelated (or "diagonalized") Likelihood

The biggest drawback of the Likelihood approach is that it assumes that the discriminant variables are uncorrelated. If it were the case, it can be proven that the discrimination obtained by the above likelihood ratio is optimal, ie, no other method can beat it. However, in most practical applications of MVAs correlations are present.

Linear correlations, measured from the training sample, can be taken into account in a straightforward manner through the square-root of the covariance matrix. The square-root of a matrix C is the matrix C′ that multiplied with itself yields C: C=C′C′. We compute the square-root matrix (SQM) by means of diagonalising (D) the covariance matrix:

and the linear transformation of the linearly correlated into the uncorrelated variables space is then given by multiplying the measured variable tuple by the inverse of the SQM. Note that these transformations are performed for both signal and background separately, since the correlation pattern is not the same in the two samples.

The above diagonalisation is complete for linearly correlated, Gaussian distributed variables only. In real-world examples this is not often the case, so that only little additional information may be recovered by the diagonalisation procedure. In these cases, non-linear methods must be applied.

 

Function Members (Methods)

public:
virtual~MethodLikelihood()
voidTObject::AbstractMethod(const char* method) const
voidTObject::AbstractMethod(const char* method) const
virtual voidTMVA::MethodBase::AddClassifierToTestTree(TTree* theTestTree)
virtual voidTObject::AppendPad(Option_t* option = "")
virtual voidTObject::AppendPad(Option_t* option = "")
TDirectory*TMVA::MethodBase::BaseDir() const
virtual voidTObject::Browse(TBrowser* b)
virtual voidTObject::Browse(TBrowser* b)
voidTMVA::Configurable::CheckForUnusedOptions() const
static TClass*Class()
virtual const char*TObject::ClassName() const
virtual const char*TObject::ClassName() const
virtual voidTObject::Clear(Option_t* = "")
virtual voidTObject::Clear(Option_t* = "")
virtual TObject*TObject::Clone(const char* newname = "") const
virtual TObject*TObject::Clone(const char* newname = "") const
virtual Int_tTObject::Compare(const TObject* obj) const
virtual Int_tTObject::Compare(const TObject* obj) const
TMVA::ConfigurableTMVA::Configurable::Configurable(const TString& theOption = "")
virtual voidTObject::Copy(TObject& object) const
virtual voidTObject::Copy(TObject& object) const
virtual const TMVA::Ranking*CreateRanking()
TMVA::DataSet&TMVA::MethodBase::Data() const
virtual voidTObject::Delete(Option_t* option = "")MENU
virtual voidTObject::Delete(Option_t* option = "")MENU
virtual Int_tTObject::DistancetoPrimitive(Int_t px, Int_t py)
virtual Int_tTObject::DistancetoPrimitive(Int_t px, Int_t py)
virtual voidTObject::Draw(Option_t* option = "")
virtual voidTObject::Draw(Option_t* option = "")
virtual voidTObject::DrawClass() constMENU
virtual voidTObject::DrawClass() constMENU
virtual TObject*TObject::DrawClone(Option_t* option = "") constMENU
virtual TObject*TObject::DrawClone(Option_t* option = "") constMENU
virtual voidTObject::Dump() constMENU
virtual voidTObject::Dump() constMENU
virtual voidTObject::Error(const char* method, const char* msgfmt) const
virtual voidTObject::Error(const char* method, const char* msgfmt) const
virtual voidTObject::Execute(const char* method, const char* params, Int_t* error = 0)
virtual voidTObject::Execute(TMethod* method, TObjArray* params, Int_t* error = 0)
virtual voidTObject::Execute(const char* method, const char* params, Int_t* error = 0)
virtual voidTObject::Execute(TMethod* method, TObjArray* params, Int_t* error = 0)
virtual voidTObject::ExecuteEvent(Int_t event, Int_t px, Int_t py)
virtual voidTObject::ExecuteEvent(Int_t event, Int_t px, Int_t py)
virtual voidTObject::Fatal(const char* method, const char* msgfmt) const
virtual voidTObject::Fatal(const char* method, const char* msgfmt) const
virtual TObject*TObject::FindObject(const char* name) const
virtual TObject*TObject::FindObject(const TObject* obj) const
virtual TObject*TObject::FindObject(const char* name) const
virtual TObject*TObject::FindObject(const TObject* obj) const
virtual Option_t*TObject::GetDrawOption() const
virtual Option_t*TObject::GetDrawOption() const
static Long_tTObject::GetDtorOnly()
static Long_tTObject::GetDtorOnly()
virtual Double_tTMVA::MethodBase::GetEfficiency(TString, TTree*, Double_t& err)
TMVA::Event&TMVA::MethodBase::GetEvent() const
Double_tTMVA::MethodBase::GetEventVal(Int_t ivar) const
Double_tTMVA::MethodBase::GetEventValNormalised(Int_t ivar) const
Double_tTMVA::MethodBase::GetEventWeight() const
virtual const char*TObject::GetIconName() const
virtual const char*TObject::GetIconName() const
const TString&TMVA::MethodBase::GetInputExp(int i) const
const TString&TMVA::MethodBase::GetInputVar(int i) const
const TString&TMVA::MethodBase::GetJobName() const
virtual Double_tTMVA::MethodBase::GetMaximumSignificance(Double_t SignalEvents, Double_t BackgroundEvents, Double_t& optimal_significance_value) const
const TString&TMVA::MethodBase::GetMethodName() const
const TString&TMVA::MethodBase::GetMethodTitle() const
TMVA::Types::EMVATMVA::MethodBase::GetMethodType() const
virtual Double_tGetMvaValue()
virtual const char*TMVA::MethodBase::GetName() const
Int_tTMVA::MethodBase::GetNvar() const
virtual char*TObject::GetObjectInfo(Int_t px, Int_t py) const
virtual char*TObject::GetObjectInfo(Int_t px, Int_t py) const
static Bool_tTObject::GetObjectStat()
static Bool_tTObject::GetObjectStat()
virtual Option_t*TObject::GetOption() const
virtual Option_t*TObject::GetOption() const
const TString&TMVA::Configurable::GetOptions() const
virtual Double_tTMVA::MethodBase::GetProba(Double_t mvaVal, Double_t ap_sig)
const TStringTMVA::MethodBase::GetProbaName() const
virtual Double_tTMVA::MethodBase::GetRarity(Double_t mvaVal, TMVA::Types::ESBType reftype = Types::kBackground) const
Double_tTMVA::MethodBase::GetRMS(Int_t ivar) const
virtual Double_tTMVA::MethodBase::GetSeparation(TH1*, TH1*) const
virtual Double_tTMVA::MethodBase::GetSeparation(TMVA::PDF* pdfS = 0, TMVA::PDF* pdfB = 0) const
Double_tTMVA::MethodBase::GetSignalReferenceCut() const
virtual Double_tTMVA::MethodBase::GetSignificance() const
const TString&TMVA::MethodBase::GetTestvarName() const
virtual const char*TObject::GetTitle() const
virtual const char*TObject::GetTitle() const
virtual Double_tTMVA::MethodBase::GetTrainingEfficiency(TString)
UInt_tTMVA::MethodBase::GetTrainingROOTVersionCode() const
TStringTMVA::MethodBase::GetTrainingROOTVersionString() const
UInt_tTMVA::MethodBase::GetTrainingTMVAVersionCode() const
TStringTMVA::MethodBase::GetTrainingTMVAVersionString() const
virtual UInt_tTObject::GetUniqueID() const
virtual UInt_tTObject::GetUniqueID() const
TMVA::VariableTransformBase&TMVA::MethodBase::GetVarTransform() const
Double_tTMVA::MethodBase::GetXmax(Int_t ivar) const
Double_tTMVA::MethodBase::GetXmin(Int_t ivar) const
virtual Bool_tTObject::HandleTimer(TTimer* timer)
virtual Bool_tTObject::HandleTimer(TTimer* timer)
virtual ULong_tTObject::Hash() const
virtual ULong_tTObject::Hash() const
virtual voidTObject::Info(const char* method, const char* msgfmt) const
virtual voidTObject::Info(const char* method, const char* msgfmt) const
virtual Bool_tTObject::InheritsFrom(const char* classname) const
virtual Bool_tTObject::InheritsFrom(const TClass* cl) const
virtual Bool_tTObject::InheritsFrom(const char* classname) const
virtual Bool_tTObject::InheritsFrom(const TClass* cl) const
virtual voidTObject::Inspect() constMENU
virtual voidTObject::Inspect() constMENU
voidTObject::InvertBit(UInt_t f)
voidTObject::InvertBit(UInt_t f)
virtual TClass*IsA() const
virtual Bool_tTObject::IsEqual(const TObject* obj) const
virtual Bool_tTObject::IsEqual(const TObject* obj) const
virtual Bool_tTObject::IsFolder() const
virtual Bool_tTObject::IsFolder() const
Bool_tTObject::IsOnHeap() const
Bool_tTObject::IsOnHeap() const
Bool_tTMVA::MethodBase::IsSignalEvent() const
virtual Bool_tTMVA::MethodBase::IsSignalLike()
virtual Bool_tTObject::IsSortable() const
virtual Bool_tTObject::IsSortable() const
Bool_tTObject::IsZombie() const
Bool_tTObject::IsZombie() const
virtual voidTObject::ls(Option_t* option = "") const
virtual voidTObject::ls(Option_t* option = "") const
virtual voidTMVA::MethodBase::MakeClass(const TString& classFileName = "") const
voidTObject::MayNotUse(const char* method) const
voidTObject::MayNotUse(const char* method) const
TDirectory*TMVA::MethodBase::MethodBaseDir() const
TMVA::MethodLikelihoodMethodLikelihood(TMVA::DataSet& theData, const TString& theWeightFile, TDirectory* theTargetDir = NULL)
TMVA::MethodLikelihoodMethodLikelihood(const TString& jobName, const TString& methodTitle, TMVA::DataSet& theData, const TString& theOption = "", TDirectory* theTargetDir = 0)
virtual Bool_tTObject::Notify()
virtual Bool_tTObject::Notify()
static voidTObject::operator delete(void* ptr)
static voidTObject::operator delete(void* ptr)
static voidTObject::operator delete(void* ptr, void* vp)
static voidTObject::operator delete(void* ptr, void* vp)
static voidTObject::operator delete[](void* ptr)
static voidTObject::operator delete[](void* ptr)
static voidTObject::operator delete[](void* ptr, void* vp)
static voidTObject::operator delete[](void* ptr, void* vp)
void*TObject::operator new(size_t sz)
void*TObject::operator new(size_t sz)
void*TObject::operator new(size_t sz, void* vp)
void*TObject::operator new(size_t sz, void* vp)
void*TObject::operator new[](size_t sz)
void*TObject::operator new[](size_t sz)
void*TObject::operator new[](size_t sz, void* vp)
void*TObject::operator new[](size_t sz, void* vp)
TMVA::IMethod&TMVA::IMethod::operator=(const TMVA::IMethod&)
virtual voidTObject::Paint(Option_t* option = "")
virtual voidTObject::Paint(Option_t* option = "")
voidTMVA::Configurable::ParseOptions(Bool_t verbose = kTRUE)
virtual voidTObject::Pop()
virtual voidTObject::Pop()
virtual voidTObject::Print(Option_t* option = "") const
virtual voidTObject::Print(Option_t* option = "") const
virtual voidTMVA::MethodBase::PrintHelpMessage() const
voidTMVA::Configurable::PrintOptions() const
virtual Int_tTObject::Read(const char* name)
virtual Int_tTObject::Read(const char* name)
Bool_tTMVA::MethodBase::ReadEvent(TTree* tr, UInt_t ievt, TMVA::Types::ESBType type = Types::kMaxSBType) const
voidTMVA::MethodBase::ReadStateFromFile()
voidTMVA::MethodBase::ReadStateFromStream(istream& tf)
voidTMVA::MethodBase::ReadStateFromStream(TFile& rf)
Bool_tTMVA::MethodBase::ReadTestEvent(UInt_t ievt, TMVA::Types::ESBType type = Types::kMaxSBType) const
Bool_tTMVA::MethodBase::ReadTrainingEvent(UInt_t ievt, TMVA::Types::ESBType type = Types::kMaxSBType) const
virtual voidReadWeightsFromStream(istream& istr)
virtual voidReadWeightsFromStream(TFile& istr)
virtual voidTObject::RecursiveRemove(TObject* obj)
virtual voidTObject::RecursiveRemove(TObject* obj)
voidTObject::ResetBit(UInt_t f)
voidTObject::ResetBit(UInt_t f)
virtual voidTObject::SaveAs(const char* filename = "", Option_t* option = "") constMENU
virtual voidTObject::SaveAs(const char* filename = "", Option_t* option = "") constMENU
virtual voidTObject::SavePrimitive(basic_ostream<char,char_traits<char> >& out, Option_t* option = "")
virtual voidTObject::SavePrimitive(basic_ostream<char,char_traits<char> >& out, Option_t* option = "")
voidTObject::SetBit(UInt_t f)
voidTObject::SetBit(UInt_t f)
voidTObject::SetBit(UInt_t f, Bool_t set)
voidTObject::SetBit(UInt_t f, Bool_t set)
virtual voidTObject::SetDrawOption(Option_t* option = "")MENU
virtual voidTObject::SetDrawOption(Option_t* option = "")MENU
static voidTObject::SetDtorOnly(void* obj)
static voidTObject::SetDtorOnly(void* obj)
voidTMVA::MethodBase::SetMethodName(TString methodName)
voidTMVA::MethodBase::SetMethodTitle(TString methodTitle)
voidTMVA::MethodBase::SetMethodType(TMVA::Types::EMVA methodType)
voidTMVA::Configurable::SetName(const char* n)
static voidTObject::SetObjectStat(Bool_t stat)
static voidTObject::SetObjectStat(Bool_t stat)
voidTMVA::Configurable::SetOptions(const TString& s)
voidTMVA::MethodBase::SetTestvarName(const TString& v = "")
voidTMVA::MethodBase::SetTestvarPrefix(TString prefix)
virtual voidTObject::SetUniqueID(UInt_t uid)
virtual voidTObject::SetUniqueID(UInt_t uid)
virtual voidShowMembers(TMemberInspector& insp, char* parent)
virtual voidStreamer(TBuffer& b)
voidStreamerNVirtual(TBuffer& b)
virtual voidTObject::SysError(const char* method, const char* msgfmt) const
virtual voidTObject::SysError(const char* method, const char* msgfmt) const
virtual voidTMVA::MethodBase::Test(TTree* theTestTree = 0)
Bool_tTObject::TestBit(UInt_t f) const
Bool_tTObject::TestBit(UInt_t f) const
Int_tTObject::TestBits(UInt_t f) const
Int_tTObject::TestBits(UInt_t f) const
virtual voidTrain()
voidTMVA::MethodBase::TrainMethod()
virtual voidTObject::UseCurrentStyle()
virtual voidTObject::UseCurrentStyle()
virtual voidTObject::Warning(const char* method, const char* msgfmt) const
virtual voidTObject::Warning(const char* method, const char* msgfmt) const
virtual Int_tTObject::Write(const char* name = 0, Int_t option = 0, Int_t bufsize = 0)
virtual Int_tTObject::Write(const char* name = 0, Int_t option = 0, Int_t bufsize = 0) const
virtual Int_tTObject::Write(const char* name = 0, Int_t option = 0, Int_t bufsize = 0)
virtual Int_tTObject::Write(const char* name = 0, Int_t option = 0, Int_t bufsize = 0) const
virtual voidTMVA::MethodBase::WriteEvaluationHistosToFile()
virtual voidWriteMonitoringHistosToFile() const
voidTMVA::MethodBase::WriteStateToFile() const
voidTMVA::MethodBase::WriteStateToStream(TFile& rf) const
voidTMVA::MethodBase::WriteStateToStream(ostream& tf, Bool_t isClass = kFALSE) const
virtual voidWriteWeightsToStream(ostream& o) const
virtual voidWriteWeightsToStream(TFile& rf) const
protected:
Bool_tTMVA::MethodBase::CheckSanity(TTree* theTree = 0)
virtual voidTObject::DoError(int level, const char* location, const char* fmt, va_list va) const
virtual voidTObject::DoError(int level, const char* location, const char* fmt, va_list va) const
voidTMVA::Configurable::EnableLooseOptions(Bool_t b = kTRUE)
virtual voidGetHelpMessage() const
const TString&TMVA::MethodBase::GetInternalVarName(Int_t ivar) const
const TString&TMVA::MethodBase::GetOriginalVarName(Int_t ivar) const
TTree*TMVA::MethodBase::GetTestTree() const
static TMVA::MethodBase*TMVA::MethodBase::GetThisBase()
TTree*TMVA::MethodBase::GetTrainingTree() const
TMVA::Types::EVariableTransformTMVA::MethodBase::GetVariableTransform() const
TStringTMVA::MethodBase::GetWeightFileDir() const
TStringTMVA::MethodBase::GetWeightFileName() const
Bool_tTMVA::MethodBase::HasTrainingTree() const
Bool_tTMVA::MethodBase::Help() const
Bool_tTMVA::MethodBase::IsNormalised() const
TDirectory*TMVA::MethodBase::LocalTDir() const
Bool_tTMVA::Configurable::LooseOptionCheckingEnabled() const
virtual voidMakeClassSpecific(ostream&, const TString&) const
virtual voidMakeClassSpecificHeader(ostream&, const TString& = "") const
voidTObject::MakeZombie()
voidTObject::MakeZombie()
voidTMVA::Configurable::ReadOptionsFromStream(istream& istr)
voidTMVA::Configurable::ResetSetFlag()
voidTMVA::MethodBase::SetNormalised(Bool_t norm)
voidTMVA::MethodBase::SetNvar(Int_t n)
voidTMVA::MethodBase::SetSignalReferenceCut(Double_t cut)
voidTMVA::MethodBase::SetWeightFileDir(TString fileDir)
voidTMVA::MethodBase::SetWeightFileName(TString)
voidTMVA::MethodBase::Statistics(TMVA::Types::ETreeType treeType, const TString& theVarName, Double_t&, Double_t&, Double_t&, Double_t&, Double_t&, Double_t&, Bool_t norm = kFALSE)
Bool_tTMVA::MethodBase::TxtWeightsOnly() const
Bool_tTMVA::MethodBase::Verbose() const
voidTMVA::Configurable::WriteOptionsToStream(ostream& o, const TString& prefix) const
private:
virtual voidDeclareOptions()
voidInitLik()
virtual voidProcessOptions()
Double_tTransformLikelihoodOutput(Double_t ps, Double_t pb) const

Data Members

public:
enum TMVA::MethodBase::EWeightFileType { kROOT
kTEXT
};
enum TMVA::MethodBase::ECutOrientation { kNegative
kPositive
};
enum TObject::EStatusBits { kCanDelete
kMustCleanup
kObjInCanvas
kIsReferenced
kHasUUID
kCannotPick
kNoContextMenu
kInvalidObject
};
enum TObject::[unnamed] { kIsOnHeap
kNotDeleted
kZombie
kBitMask
kSingleKey
kOverwrite
kWriteDelete
};
enum TObject::EStatusBits { kCanDelete
kMustCleanup
kObjInCanvas
kIsReferenced
kHasUUID
kCannotPick
kNoContextMenu
kInvalidObject
};
enum TObject::[unnamed] { kIsOnHeap
kNotDeleted
kZombie
kBitMask
kSingleKey
kOverwrite
kWriteDelete
};
public:
TMVA::MsgLoggerTMVA::Configurable::fLoggermessage logger
protected:
vector<TString>*TMVA::MethodBase::fInputVarsvector of input variables used in MVA
TMVA::MsgLoggerTMVA::MethodBase::fLoggermessage logger
Int_tTMVA::MethodBase::fNbinsnumber of bins in representative histograms
Int_tTMVA::MethodBase::fNbinsHnumber of bins in evaluation histograms
TMVA::Ranking*TMVA::MethodBase::fRankingpointer to ranking object (created by derived classifiers)
private:
Int_tfAverageEvtPerBinaverage events per bin; used to calculate fNbins
Int_t*fAverageEvtPerBinVarBaverage events per bin; used to calculate fNbins
Int_t*fAverageEvtPerBinVarSaverage events per bin; used to calculate fNbins
TMVA::KDEKernel::EKernelBorderfBorderMethodthe method to take care about "border" effects
TStringfBorderMethodStringthe method to take care about "border" effects (string)
Int_tfDropVariablefor ranking test
Double_tfEpsilonminimum number of likelihood (to avoid zero)
vector<TH1*>*fHistBgdbackground PDFs (histograms)
vector<TH1*>*fHistBgd_smoothbackground PDFs (smoothed histograms)
vector<TH1*>*fHistSigsignal PDFs (histograms)
vector<TH1*>*fHistSig_smoothsignal PDFs (smoothed histograms)
TMVA::PDF::EInterpolateMethod*fInterpolateMethodenumerators encoding the interpolation method
TString*fInterpolateStringwhich interpolation method used for reference histograms (individual for each variable)
Float_tfKDEfineFactorfine tuning factor for Adaptive KDE: factor to multiply the "width" of the Kernel function
TMVA::KDEKernel::EKernelIterfKDEiterNumber of iterations
TStringfKDEiterStringNumber of iterations (string)
TMVA::KDEKernel::EKernelTypefKDEtypeKernel type to use for KDE
TStringfKDEtypeStringKernel type to use for KDE (string) (if KDE is selected for interpolation)
Int_tfNsmoothnumber of smooth passes
Int_t*fNsmoothVarBnumber of smooth passes
Int_t*fNsmoothVarSnumber of smooth passes
vector<PDF*>*fPDFBgdlist of PDFs (background)
vector<PDF*>*fPDFSiglist of PDFs (signal)
Int_tfSplineSpline order to smooth histograms (if spline is selected for interpolation)
Bool_tfTransformLikelihoodOutputlikelihood output is sigmoid-transformed

Class Charts

Inheritance Inherited Members Includes Libraries
Class Charts

Function documentation

MethodLikelihood(const TString& jobName, const TString& methodTitle, TMVA::DataSet& theData, const TString& theOption = "", TDirectory* theTargetDir = 0)
 standard constructor

 MethodLikelihood options:
 format and syntax of option string: "Spline2:0:25:D"

 where:
  SplineI [I=0,12,3,5] - which spline is used for smoothing the pdfs
                    0  - how often the input histos are smoothed
                    25 - average num of events per PDF bin
                    D  - use square-root-matrix to decorrelate variable space

MethodLikelihood(TMVA::DataSet& theData, const TString& theWeightFile, TDirectory* theTargetDir = NULL)
 construct likelihood references from file
~MethodLikelihood( void )
 destructor
void InitLik( void )
 default initialisation called by all constructors
void DeclareOptions()
 define the options (their key words) that can be set in the option string
 know options:
 PDFInterpol[ivar] <string>   Spline0, Spline1, Spline2 <default>, Spline3, Spline5, KDE  used to interpolate reference histograms
             if no variable index is given, it is valid for ALL the variables

 NSmooth           <int>    how often the input histos are smoothed
 NAvEvtPerBin      <int>    minimum average number of events per PDF bin
 TransformOutput   <bool>   transform (often strongly peaked) likelihood output through sigmoid inversion
 fKDEtype          <KernelType>   type of the Kernel to use (1 is Gaussian)
 fKDEiter          <KerneIter>    number of iterations (1 --> "static KDE", 2 --> "adaptive KDE")
 fBorderMethod     <KernelBorder> the method to take care about "border" effects (1=no treatment , 2=kernel renormalization, 3=sample mirroring)
void ProcessOptions()
 process user options
void Train( void )
 create reference distributions (PDFs) from signal and background events:
 fill histograms and smooth them; if decorrelation is required, compute
 corresponding square-root matrices
Double_t GetMvaValue()
 returns the likelihood estimator for signal
Double_t TransformLikelihoodOutput(Double_t ps, Double_t pb) const
 returns transformed or non-transformed output
const TMVA::Ranking* CreateRanking()
 computes ranking of input variables
void WriteWeightsToStream( ostream& o )
 write weights to stream
void WriteWeightsToStream( TFile& )
 write reference PDFs to ROOT file
void ReadWeightsFromStream( istream & istr )
 read weight info from file
 nothing to do for this method
void ReadWeightsFromStream( TFile& rf )
 read reference PDF from ROOT file
void WriteMonitoringHistosToFile( void )
 write histograms and PDFs to file for monitoring purposes
void MakeClassSpecificHeader(ostream& , const TString& = "") const
 write specific header of the classifier (mostly include files)
void MakeClassSpecific(ostream& , const TString& ) const
 write specific classifier response
void GetHelpMessage()
 get help message text

 typical length of text line:
         "|--------------------------------------------------------------|"

Author: Andreas Hoecker, Joerg Stelzer, Helge Voss, Kai Voss
Last change: root/tmva $Id: MethodLikelihood.h 21630 2008-01-10 19:40:44Z brun $
Last generated: 2008-05-13 17:20
Copyright (c) 2005: *

This page has been automatically generated. If you have any comments or suggestions about the page layout send a mail to ROOT support, or contact the developers with any questions or problems regarding ROOT.