The THtml class is designed to easily document
classes, code, and code related text files (like change logs). It generates HTML
pages conforming to the XHTML 1.0 transitional specifications; an example of
these pages is ROOT's own
reference guide. This page was verified to be valid XHTML 1.0 transitional,
which proves that all pages generated by THtml can be valid, as long as the user
provided XHTML (documentation, header, etc) is valid. You can check the current
THtml by clicking this icon:
root[] THtml html; // create a THtml object
root[] html.MakeAll(); // generate documentation for all changed classes
or to run on just a few classes:
root[] THtml html; // create a THtml object
root[] html.MakeIndex(); // create auxilliary files (style sheet etc) and indices
root[] html.MakeClass("TMyClass"); // create documentation for TMyClass only
To "beautify" (i.e. create links to documentation for class names etc) some text
file or macro, use:
root[] html.Convert( "hsimple.C", "Histogram example" )
In your .rootrc, define Root.Html.SourceDir to point to directories containing .cxx and .h files (see: TEnv) of the classes you want to document, or call THtml::SetInputDir()
Example:
Root.Html.SourceDir: .:src:include Root.Html.Root: http://root.cern.ch/root/html
The output directory can be specified using the Root.Html.OutputDir configuration variable (default value: "htmldoc"). If that directory doesn't exist THtml will create it.
Example:
Root.Html.OutputDir: htmldoc
When trying to document a class, THtml searches for a source file in the directories set via SetInputDir(). If it cannot find it, it assumes that this class must have been documented before. Based on the library this class is defined in, it checks the configuration variable Root.Html.LibName, and creates a link using its value. Alternatively, you can set these URLs via THtml::SetLibURL().
Example:
If a class MyClass is defined in class mylibs/libMyLib.so, and .rootrc
contains
Root.Html.MyLib: ../mylib/
THtml will create a link to "../mylib/MyClass.html".
The library name association can be set up using the rootmap facility. For the library in the example above, which contains a dictionary generated from the linkdef MyLinkdef.h, the command to generate the rootmap file is
$ rlibmap -f -r rootmap -l mylib/libMyLib.so -d libCore.so -c MyLinkdef.h
Here, -r specifies that the entries for libMyLib should be updated, -l specifies the library we're dealing with, -d its dependencies, and -c its linkdef. The rootmap file must be within one of the LD_LIBRARY_PATH (or PATH for Windows) directories when ROOT is started, otherwise ROOT will not use it.
The class documentation has to appear in the header file containing the class, right in front of its declaration. It is introduced by a string defined by Root.Html.Description or SetClassDocTag(). See the section on documentation syntax for further details.
Example:
Root.Html.Description: //____________________
The class documentation will show which include statement is to be used and which library needs to be linked to access it. The include file name is determined via TClass::GetDeclFileName(); leading parts are removed if they match any of the ':' separated entries in THtml::GetIncludePath().
During the conversion, THtml will look for some strings ("tags") in the source file, which have to appear right in front of e.g. the author's name, copyright notice, etc. These tags can be defined with the following environment variables: Root.Html.Author, Root.Html.LastUpdate and Root.Html.Copyright, or with SetAuthorTag(), SetLastUpdateTag(), SetCopyrightTag().
If the LastUpdate tag is not found, the current date and time are used. This is useful when using THtml::MakeAll()'s default option force=kFALSE, in which case THtml generates documentation only for changed classes.
Authors can be a comma separated list of author entries. Each entry has one of the following two formatsTHtml will generate an HTML link for Name, taking the Root.Html.XWho configuration variable (defaults to "http://consult.cern.ch/xwho/people?") and adding all parts of the name with spaces replaces by '+'. Non-alphanumerical characters are printed out behind Name.
Example:
// Author: Enrico Fermi appears in the source file. THtml will generate the link http://consult.cern.ch/xwho/people?Enrico+Fermi. This works well for people at CERN.THtml will generate an HTML link for Name as specified by link and print Info behind Name.
Example:
// Author: Enrico Fermi <http://www.enricos-home.it> orExample (with defaults given):
Root.Html.Author: // Author:
Root.Html.LastUpdate: // @(#)
Root.Html.Copyright: * Copyright
Root.Html.XWho: http://consult.cern.ch/xwho/people?
THtml generates a default header and footer for all pages. You can specify your own versions with the configuration variables Root.Html.Header and Root.Html.Footer, or by calling SetHeader(), SetFooter(). Both variables default to "", using the standard Root versions. If it has a "+" appended, THtml will write both versions (user and root) to a file, for the header in the order 1st root, 2nd user, and for the footer 1st user, 2nd root (the root versions containing "<html>" and </html> tags, resp).
If you want to replace root's header you have to write a file containing all HTML elements necessary starting with the <doctype> tag and ending with (and including) the <body> tag. If you add your header it will be added directly after Root's <body> tag. Any occurrence of the string %TITLE% in the user's header file will be replaced by a sensible, automatically generated title. If the header is generated for a class, occurrences of %CLASS% will be replaced by the current class's name, %SRCFILE% and %INCFILE% by the name of the source and header file, resp. (as given by TClass::GetImplFileName(), TClass::GetDeclFileName()). If the header is not generated for a class, they will be replaced by "".
Root's footer starts with the tag <!--SIGNATURE-->. It includes the author(s), last update, copyright, the links to the Root home page, to the user home page, to the index file (ClassIndex.html), to the top of the page and this page is automatically generated infomation. It ends with the tags </body></html>. If you want to replace it, THtml will search for some tags in your footer: Occurrences of the strings %AUTHOR%, %UPDATE%, and %COPYRIGHT% are replaced by their corresponding values before writing the html file. The %AUTHOR% tag will be replaced by the exact string that follows Root.Html.Author, no link generation will occur.
Additional parameters can be set by Root.Html.Homepage (address of the user's home page), Root.Html.SearchEngine (search engine for the class documentation), Root.Html.Search (search URL, where %u is replaced by the referer and %s by the escaped search expression), and a ViewVC base URL Root.Html.ViewCVS. For the latter, the file name is appended or, if the URL contains %f, %f is replaced by the file name. All values default to "".
Examples:
Root.Html.Homepage: http://www.enricos-home.it
Root.Html.SearchEngine: http://root.cern.ch/root/Search.phtml
Root.Html.Search: http://www.google.com/search?q=%s+site%3A%u
XHTML 1.0 transitional recommends the specification of the charset in the content type meta tag, see e.g. http://www.w3.org/TR/2002/REC-xhtml1-20020801/ THtml generates it for the HTML output files. It defaults to ISO-8859-1, and can be changed using Root.Html.Charset.
Example:
Root.Html.Charset: EUC-JP
A class description block, which must be placed before the first member function, has a following form:
//////////////////////////////////////////////////////////////// // // // TMyClass // // // // This is the description block. // // // ////////////////////////////////////////////////////////////////
The environment variable Root.Html.Description (see: TEnv) contains the delimiter string (default value: //_________________). It means that you can also write your class description block like this:
//_____________________________________________________________ // A description of the class starts with the line above, and // will take place here ! //
Note that everything until the first non-commented line is considered as a valid class description block.
All classes to be documented will have an entry in the ClassIndex.html, showing their name with a link to their documentation page and a miniature description. This discription for e.g. the class MyClass has to be given in MyClass's header as a comment right after ClassDef(MyClass, n).
A member function description block starts immediately after '{' and looks like this:
void TWorld::HelloWorldFunc(string *text)
{
// This is an example of description for the
// TWorld member function
helloWorld.Print( text );
}
Like in a class description block, everything until the first
non-commented line is considered as a valid member function
description block.
If the rootrc variable Root.Html.DescriptionStyle is set to
Doc++ THtml will also look for method documentation in front of
the function implementation. This feature is not recommended; source code
making use of this does not comply to the ROOT documentation standards, which
means future versions of THtml might not support it anymore.
Data members are documented by putting a C++ comment behind their declaration in the header file, e.g.
int fIAmADataMember; // this is a data member
You can insert pure html code into your documentation comments. During the generation of the documentation, this code will be inserted as is into the html file.
Pure html code must be surrounded by the keywords BEGIN_HTML and END_HTML, where the case is ignored. An example of pure html code is this class description you are reading right now. THtml uses a TDocHtmlDirective object to process this directive.
THtml can create images from scripts. You can either call an external script by surrounding it by "begin_macro"/"end_macro", or include an unnamed macro within these keywords. The macro should return a pointer to an object; this object will then be saved as a GIF file.
Objects deriving from TGObject (GUI elements) will need to run in graphics mode (non-batch). You must specify this as a parameter: "Begin_macro(GUI)...". To create a second tab that displays the source of the macro you can specify the argument "Begin_macro(source)...". Of course you can combine them, e.g. as "Begin_macro(source,gui)...". THtml uses a TDocMacroDirective object to process this directive.
This is an example:

{
TCanvas* macro_example_canvas = new TCanvas("macro_example_canvas", "", 150, 150);
macro_example_canvas->SetBorderSize(0);
macro_example_canvas->SetFillStyle(1001);
macro_example_canvas->SetFillColor(kWhite);
macro_example_canvas->cd();
TArc* macro_example_arc = new TArc(0.5,0.32,0.11,180,360);
macro_example_arc->Draw();
TEllipse* macro_example_ellipsis = new TEllipse(0.42,0.58,0.014,0.014,0,360,0);
macro_example_ellipsis->SetFillStyle(0);
macro_example_ellipsis->Draw();
macro_example_ellipsis = new TEllipse(0.58,0.58,0.014,0.014,0,360,0);
macro_example_ellipsis->SetFillStyle(0);
macro_example_ellipsis->Draw();
macro_example_ellipsis = new TEllipse(0.50,0.48,0.22,0.32,0,360,0);
macro_example_ellipsis->SetFillStyle(0);
macro_example_ellipsis->Draw();
TLine* macro_example_line = new TLine(0.48,0.53,0.52,0.41);
macro_example_line->Draw();
return macro_example_canvas;
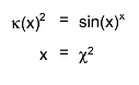
}You can specify TLatex style text and let THtml convert it into an image by surrounding it by "Begin_Latex", "End_Latex". You can have multiple lines, and e.g. align each line at the '=' sign by passing the argument separator='='. You can also specify how to align these parts; if you want the part left of the separator to be right aligned, and the right part to be left aligned, you could specify align='rl'. THtml uses a TDocLatexDirective object to process the directive. This is an example output with arguments separator='=', align='rl':
THtml::MakeIndex() will generate index files for classes and types, all modules, and the product which you can set by THtml::SetProductName(). THtml will make use of external documentation in the module and product index, either by linking it or by including it. For the product THtml will include files found in the directory defined by THtml::SetProductDocDir(). The files for modules are searched based on the source file directory of the module's classes; the (possibly relative) path set by THtml::SetModuleDocPath() will guide THtml to the files.
A filename starting with "index." will be included in the index page; all other files will be linked. Only files ending on .html or .txt will be taken into account; the text files will first be run through THtml::Convert(). You can see an example here; the part between "Index of HIST classes" and "Jump to" is created by parsing the module's doc directory.
The documentation pages share a common set of javascript and CSS files. They are generated automatically when running MakeAll(); they can be generated on demand by calling CreateAuxiliaryFiles().
Here is a list of all configuration variables that are known to THtml. You can set them in your .rootrc file, see TEnv.
Root.Html.OutputDir (default: htmldoc) Root.Html.SourceDir (default: .:src/:include/) Root.Html.Author (default: // Author:) - start tag for authors Root.Html.LastUpdate (default: // @(#)) - start tag for last update Root.Html.Copyright (default: * Copyright) - start tag for copyright notice Root.Html.Description (default: //____________________ ) - start tag for class descr Root.Html.HomePage (default: ) - URL to the user defined home page Root.Html.Header (default: ) - location of user defined header Root.Html.Footer (default: ) - location of user defined footer Root.Html.Root (default: ) - URL of Root's class documentation Root.Html.SearchEngine (default: ) - link to the search engine Root.Html.Search (defualt: ) - link to search by replacing "%s" with user input Root.Html.ViewCVS (default: ) - URL of ViewCVS base Root.Html.XWho (default: http://consult.cern.ch/xwho/people?) - URL of CERN's xWho Root.Html.Charset (default: ISO-8859-1) - HTML character set
Internally, THtml is just an API class that sets up the list of known classes, and forwards API invocations to the "work horses". TDocOutput generates the output by letting a TDocParser object parse the sources, which in turn invokes objects deriving from TDocDirective to process directives.
| virtual void | TObject::DoError(int level, const char* location, const char* fmt, va_list va) const |
| void | TObject::MakeZombie() |
| enum TObject::EStatusBits { | kCanDelete | |
| kMustCleanup | ||
| kObjInCanvas | ||
| kIsReferenced | ||
| kHasUUID | ||
| kCannotPick | ||
| kNoContextMenu | ||
| kInvalidObject | ||
| }; | ||
| enum TObject::[unnamed] { | kIsOnHeap | |
| kNotDeleted | ||
| kZombie | ||
| kBitMask | ||
| kSingleKey | ||
| kOverwrite | ||
| kWriteDelete | ||
| }; |
| TList | THtml::TFileSysDir::fDirs | |
| TList | THtml::TFileSysDir::fFiles | |
| Int_t | THtml::TFileSysEntry::fLevel | level of directory |
| TString | THtml::TFileSysEntry::fName | name of the element |
| THtml::TFileSysDir* | THtml::TFileSysEntry::fParent | parent directory |
