ROOT » TMVA » TMVA::MethodLikelihood

class TMVA::MethodLikelihood: public TMVA::MethodBase


Likelihood analysis ("non-parametric approach")

Also implemented is a "diagonalized likelihood approach", which improves over the uncorrelated likelihood ansatz by transforming linearly the input variables into a diagonal space, using the square-root of the covariance matrix

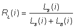
The method of maximum likelihood is the most straightforward, and certainly among the most elegant multivariate analyser approaches. We define the likelihood ratio, RL, for event i, by:

Here the signal and background likelihoods, LS, LB, are products of the corresponding probability densities, pS, pB, of the Nvar discriminating variables used in the MVA:
and accordingly for LB. In practise, TMVA uses polynomial splines to estimate the probability density functions (PDF) obtained from the distributions of the training variables.

Note that in TMVA the output of the likelihood ratio is transformed by

to avoid the occurrence of heavy peaks at RL=0,1. Decorrelated (or "diagonalized") Likelihood

The biggest drawback of the Likelihood approach is that it assumes that the discriminant variables are uncorrelated. If it were the case, it can be proven that the discrimination obtained by the above likelihood ratio is optimal, ie, no other method can beat it. However, in most practical applications of MVAs correlations are present.

Linear correlations, measured from the training sample, can be taken into account in a straightforward manner through the square-root of the covariance matrix. The square-root of a matrix C is the matrix C′ that multiplied with itself yields C: C=C′C′. We compute the square-root matrix (SQM) by means of diagonalising (D) the covariance matrix:

and the linear transformation of the linearly correlated into the uncorrelated variables space is then given by multiplying the measured variable tuple by the inverse of the SQM. Note that these transformations are performed for both signal and background separately, since the correlation pattern is not the same in the two samples.

The above diagonalisation is complete for linearly correlated, Gaussian distributed variables only. In real-world examples this is not often the case, so that only little additional information may be recovered by the diagonalisation procedure. In these cases, non-linear methods must be applied.

 

Function Members (Methods)

public:
virtual~MethodLikelihood()
voidTObject::AbstractMethod(const char* method) const
voidTMVA::Configurable::AddOptionsXMLTo(void* parent) const
voidTMVA::MethodBase::AddOutput(TMVA::Types::ETreeType type, TMVA::Types::EAnalysisType analysisType)
virtual voidAddWeightsXMLTo(void* parent) const
virtual voidTObject::AppendPad(Option_t* option = "")
TDirectory*TMVA::MethodBase::BaseDir() const
virtual voidTObject::Browse(TBrowser* b)
voidTMVA::Configurable::CheckForUnusedOptions() const
virtual voidTMVA::MethodBase::CheckSetup()
static TClass*Class()
virtual const char*TObject::ClassName() const
virtual voidTObject::Clear(Option_t* = "")
virtual TObject*TObject::Clone(const char* newname = "") const
virtual Int_tTObject::Compare(const TObject* obj) const
TMVA::ConfigurableTMVA::Configurable::Configurable(const TString& theOption = "")
TMVA::ConfigurableTMVA::Configurable::Configurable(const TMVA::Configurable&)
virtual voidTObject::Copy(TObject& object) const
virtual const TMVA::Ranking*CreateRanking()
TMVA::DataSet*TMVA::MethodBase::Data() const
TMVA::DataSetInfo&TMVA::MethodBase::DataInfo() const
virtual voidTObject::Delete(Option_t* option = "")MENU
voidTMVA::MethodBase::DisableWriting(Bool_t setter)
virtual Int_tTObject::DistancetoPrimitive(Int_t px, Int_t py)
Bool_tTMVA::MethodBase::DoMulticlass() const
Bool_tTMVA::MethodBase::DoRegression() const
virtual voidTObject::Draw(Option_t* option = "")
virtual voidTObject::DrawClass() constMENU
virtual TObject*TObject::DrawClone(Option_t* option = "") constMENU
virtual voidTObject::Dump() constMENU
virtual voidTObject::Error(const char* method, const char* msgfmt) const
virtual voidTObject::Execute(const char* method, const char* params, Int_t* error = 0)
virtual voidTObject::Execute(TMethod* method, TObjArray* params, Int_t* error = 0)
virtual voidTObject::ExecuteEvent(Int_t event, Int_t px, Int_t py)
virtual voidTObject::Fatal(const char* method, const char* msgfmt) const
virtual TObject*TObject::FindObject(const char* name) const
virtual TObject*TObject::FindObject(const TObject* obj) const
TMVA::Types::EAnalysisTypeTMVA::MethodBase::GetAnalysisType() const
const char*TMVA::Configurable::GetConfigDescription() const
const char*TMVA::Configurable::GetConfigName() const
virtual Option_t*TObject::GetDrawOption() const
static Long_tTObject::GetDtorOnly()
virtual Double_tTMVA::MethodBase::GetEfficiency(const TString&, TMVA::Types::ETreeType, Double_t& err)
const TMVA::Event*TMVA::MethodBase::GetEvent() const
const TMVA::Event*TMVA::MethodBase::GetEvent(const TMVA::Event* ev) const
const TMVA::Event*TMVA::MethodBase::GetEvent(Long64_t ievt) const
const TMVA::Event*TMVA::MethodBase::GetEvent(Long64_t ievt, TMVA::Types::ETreeType type) const
const vector<TMVA::Event*>&TMVA::MethodBase::GetEventCollection(TMVA::Types::ETreeType type)
virtual const char*TObject::GetIconName() const
const TString&TMVA::MethodBase::GetInputLabel(Int_t i) const
const TString&TMVA::MethodBase::GetInputTitle(Int_t i) const
const TString&TMVA::MethodBase::GetInputVar(Int_t i) const
const TString&TMVA::MethodBase::GetJobName() const
virtual Double_tTMVA::MethodBase::GetKSTrainingVsTest(Char_t SorB, TString opt = "X")
virtual Double_tTMVA::MethodBase::GetMaximumSignificance(Double_t SignalEvents, Double_t BackgroundEvents, Double_t& optimal_significance_value) const
Double_tTMVA::MethodBase::GetMean(Int_t ivar) const
const TString&TMVA::MethodBase::GetMethodName() const
TMVA::Types::EMVATMVA::MethodBase::GetMethodType() const
TStringTMVA::MethodBase::GetMethodTypeName() const
virtual vector<Float_t>TMVA::MethodBase::GetMulticlassEfficiency(vector<vector<Float_t> >& purity)
virtual vector<Float_t>TMVA::MethodBase::GetMulticlassTrainingEfficiency(vector<vector<Float_t> >& purity)
virtual const vector<Float_t>&TMVA::MethodBase::GetMulticlassValues()
virtual Double_tGetMvaValue(Double_t* err = 0, Double_t* errUpper = 0)
virtual const char*TMVA::MethodBase::GetName() const
UInt_tTMVA::MethodBase::GetNEvents() const
UInt_tTMVA::MethodBase::GetNTargets() const
UInt_tTMVA::MethodBase::GetNvar() const
UInt_tTMVA::MethodBase::GetNVariables() const
virtual char*TObject::GetObjectInfo(Int_t px, Int_t py) const
static Bool_tTObject::GetObjectStat()
virtual Option_t*TObject::GetOption() const
const TString&TMVA::Configurable::GetOptions() const
virtual Double_tTMVA::MethodBase::GetProba(const TMVA::Event* ev)
virtual Double_tTMVA::MethodBase::GetProba(Double_t mvaVal, Double_t ap_sig)
const TStringTMVA::MethodBase::GetProbaName() const
virtual Double_tTMVA::MethodBase::GetRarity(Double_t mvaVal, TMVA::Types::ESBType reftype = Types::kBackground) const
virtual voidTMVA::MethodBase::GetRegressionDeviation(UInt_t tgtNum, TMVA::Types::ETreeType type, Double_t& stddev, Double_t& stddev90Percent) const
virtual const vector<Float_t>&TMVA::MethodBase::GetRegressionValues()
const vector<Float_t>&TMVA::MethodBase::GetRegressionValues(const TMVA::Event*const ev)
Double_tTMVA::MethodBase::GetRMS(Int_t ivar) const
virtual Double_tTMVA::MethodBase::GetROCIntegral(TH1D* histS, TH1D* histB) const
virtual Double_tTMVA::MethodBase::GetROCIntegral(TMVA::PDF* pdfS = 0, TMVA::PDF* pdfB = 0) const
virtual Double_tTMVA::MethodBase::GetSeparation(TH1*, TH1*) const
virtual Double_tTMVA::MethodBase::GetSeparation(TMVA::PDF* pdfS = 0, TMVA::PDF* pdfB = 0) const
Double_tTMVA::MethodBase::GetSignalReferenceCut() const
Double_tTMVA::MethodBase::GetSignalReferenceCutOrientation() const
virtual Double_tTMVA::MethodBase::GetSignificance() const
const TMVA::Event*TMVA::MethodBase::GetTestingEvent(Long64_t ievt) const
Double_tTMVA::MethodBase::GetTestTime() const
const TString&TMVA::MethodBase::GetTestvarName() const
virtual const char*TObject::GetTitle() const
virtual Double_tTMVA::MethodBase::GetTrainingEfficiency(const TString&)
const TMVA::Event*TMVA::MethodBase::GetTrainingEvent(Long64_t ievt) const
UInt_tTMVA::MethodBase::GetTrainingROOTVersionCode() const
TStringTMVA::MethodBase::GetTrainingROOTVersionString() const
UInt_tTMVA::MethodBase::GetTrainingTMVAVersionCode() const
TStringTMVA::MethodBase::GetTrainingTMVAVersionString() const
Double_tTMVA::MethodBase::GetTrainTime() const
TMVA::TransformationHandler&TMVA::MethodBase::GetTransformationHandler(Bool_t takeReroutedIfAvailable = true)
const TMVA::TransformationHandler&TMVA::MethodBase::GetTransformationHandler(Bool_t takeReroutedIfAvailable = true) const
virtual UInt_tTObject::GetUniqueID() const
TStringTMVA::MethodBase::GetWeightFileName() const
Double_tTMVA::MethodBase::GetXmax(Int_t ivar) const
Double_tTMVA::MethodBase::GetXmin(Int_t ivar) const
virtual Bool_tTObject::HandleTimer(TTimer* timer)
virtual Bool_tHasAnalysisType(TMVA::Types::EAnalysisType type, UInt_t numberClasses, UInt_t numberTargets)
virtual ULong_tTObject::Hash() const
Bool_tTMVA::MethodBase::HasMVAPdfs() const
TMVA::IMethodTMVA::IMethod::IMethod()
TMVA::IMethodTMVA::IMethod::IMethod(const TMVA::IMethod&)
virtual voidTObject::Info(const char* method, const char* msgfmt) const
virtual Bool_tTObject::InheritsFrom(const char* classname) const
virtual Bool_tTObject::InheritsFrom(const TClass* cl) const
virtual voidTObject::Inspect() constMENU
voidTObject::InvertBit(UInt_t f)
virtual TClass*IsA() const
virtual Bool_tTObject::IsEqual(const TObject* obj) const
virtual Bool_tTObject::IsFolder() const
Bool_tTObject::IsOnHeap() const
virtual Bool_tTMVA::MethodBase::IsSignalLike()
virtual Bool_tTMVA::MethodBase::IsSignalLike(Double_t mvaVal)
virtual Bool_tTObject::IsSortable() const
Bool_tTObject::IsZombie() const
virtual voidTObject::ls(Option_t* option = "") const
virtual voidTMVA::MethodBase::MakeClass(const TString& classFileName = TString("")) const
voidTObject::MayNotUse(const char* method) const
TMVA::MethodBaseTMVA::MethodBase::MethodBase(const TMVA::MethodBase&)
TMVA::MethodBaseTMVA::MethodBase::MethodBase(TMVA::Types::EMVA methodType, TMVA::DataSetInfo& dsi, const TString& weightFile, TDirectory* theBaseDir = 0)
TMVA::MethodBaseTMVA::MethodBase::MethodBase(const TString& jobName, TMVA::Types::EMVA methodType, const TString& methodTitle, TMVA::DataSetInfo& dsi, const TString& theOption = "", TDirectory* theBaseDir = 0)
TDirectory*TMVA::MethodBase::MethodBaseDir() const
TMVA::MethodLikelihoodMethodLikelihood(const TMVA::MethodLikelihood&)
TMVA::MethodLikelihoodMethodLikelihood(TMVA::DataSetInfo& theData, const TString& theWeightFile, TDirectory* theTargetDir = __null)
TMVA::MethodLikelihoodMethodLikelihood(const TString& jobName, const TString& methodTitle, TMVA::DataSetInfo& theData, const TString& theOption = "", TDirectory* theTargetDir = 0)
virtual Bool_tTObject::Notify()
voidTObject::Obsolete(const char* method, const char* asOfVers, const char* removedFromVers) const
voidTObject::operator delete(void* ptr)
voidTObject::operator delete(void* ptr, void* vp)
voidTObject::operator delete[](void* ptr)
voidTObject::operator delete[](void* ptr, void* vp)
void*TObject::operator new(size_t sz)
void*TObject::operator new(size_t sz, void* vp)
void*TObject::operator new[](size_t sz)
void*TObject::operator new[](size_t sz, void* vp)
TMVA::MethodLikelihood&operator=(const TMVA::MethodLikelihood&)
virtual map<TString,Double_t>TMVA::MethodBase::OptimizeTuningParameters(TString fomType = "ROCIntegral", TString fitType = "FitGA")
virtual voidTObject::Paint(Option_t* option = "")
virtual voidTMVA::Configurable::ParseOptions()
virtual voidTObject::Pop()
virtual voidTObject::Print(Option_t* option = "") const
virtual voidTMVA::MethodBase::PrintHelpMessage() const
voidTMVA::Configurable::PrintOptions() const
voidTMVA::MethodBase::ProcessSetup()
virtual Int_tTObject::Read(const char* name)
voidTMVA::Configurable::ReadOptionsFromStream(istream& istr)
voidTMVA::Configurable::ReadOptionsFromXML(void* node)
voidTMVA::MethodBase::ReadStateFromFile()
voidTMVA::MethodBase::ReadStateFromStream(istream& tf)
voidTMVA::MethodBase::ReadStateFromStream(TFile& rf)
voidTMVA::MethodBase::ReadStateFromXMLString(const char* xmlstr)
virtual voidReadWeightsFromStream(istream& istr)
virtual voidReadWeightsFromStream(TFile& istr)
virtual voidReadWeightsFromXML(void* wghtnode)
virtual voidTObject::RecursiveRemove(TObject* obj)
voidTMVA::MethodBase::RerouteTransformationHandler(TMVA::TransformationHandler* fTargetTransformation)
virtual voidTMVA::MethodBase::Reset()
voidTObject::ResetBit(UInt_t f)
virtual voidTObject::SaveAs(const char* filename = "", Option_t* option = "") constMENU
virtual voidTObject::SavePrimitive(ostream& out, Option_t* option = "")
virtual voidTMVA::MethodBase::SetAnalysisType(TMVA::Types::EAnalysisType type)
voidTMVA::MethodBase::SetBaseDir(TDirectory* methodDir)
voidTObject::SetBit(UInt_t f)
voidTObject::SetBit(UInt_t f, Bool_t set)
voidTMVA::Configurable::SetConfigDescription(const char* d)
voidTMVA::Configurable::SetConfigName(const char* n)
virtual voidTObject::SetDrawOption(Option_t* option = "")MENU
static voidTObject::SetDtorOnly(void* obj)
voidTMVA::MethodBase::SetMethodBaseDir(TDirectory* methodDir)
voidTMVA::MethodBase::SetMethodDir(TDirectory* methodDir)
voidTMVA::Configurable::SetMsgType(TMVA::EMsgType t)
static voidTObject::SetObjectStat(Bool_t stat)
voidTMVA::Configurable::SetOptions(const TString& s)
voidTMVA::MethodBase::SetSignalReferenceCut(Double_t cut)
voidTMVA::MethodBase::SetSignalReferenceCutOrientation(Double_t cutOrientation)
voidTMVA::MethodBase::SetTestTime(Double_t testTime)
voidTMVA::MethodBase::SetTestvarName(const TString& v = "")
voidTMVA::MethodBase::SetTrainTime(Double_t trainTime)
virtual voidTMVA::MethodBase::SetTuneParameters(map<TString,Double_t> tuneParameters)
virtual voidTObject::SetUniqueID(UInt_t uid)
voidTMVA::MethodBase::SetupMethod()
virtual voidShowMembers(TMemberInspector& insp) const
virtual voidStreamer(TBuffer&)
voidStreamerNVirtual(TBuffer& ClassDef_StreamerNVirtual_b)
virtual voidTObject::SysError(const char* method, const char* msgfmt) const
Bool_tTObject::TestBit(UInt_t f) const
Int_tTObject::TestBits(UInt_t f) const
virtual voidTMVA::MethodBase::TestClassification()
virtual voidTMVA::MethodBase::TestMulticlass()
virtual voidTMVA::MethodBase::TestRegression(Double_t& bias, Double_t& biasT, Double_t& dev, Double_t& devT, Double_t& rms, Double_t& rmsT, Double_t& mInf, Double_t& mInfT, Double_t& corr, TMVA::Types::ETreeType type)
virtual voidTrain()
voidTMVA::MethodBase::TrainMethod()
virtual voidTObject::UseCurrentStyle()
virtual voidTObject::Warning(const char* method, const char* msgfmt) const
virtual Int_tTObject::Write(const char* name = 0, Int_t option = 0, Int_t bufsize = 0)
virtual Int_tTObject::Write(const char* name = 0, Int_t option = 0, Int_t bufsize = 0) const
virtual voidTMVA::MethodBase::WriteEvaluationHistosToFile(TMVA::Types::ETreeType treetype)
virtual voidWriteMonitoringHistosToFile() const
virtual voidWriteOptionsToStream(ostream& o, const TString& prefix) const
voidTMVA::MethodBase::WriteStateToFile() const
voidWriteWeightsToStream(TFile& rf) const
protected:
virtual voidDeclareCompatibilityOptions()
virtual voidTObject::DoError(int level, const char* location, const char* fmt, va_list va) const
voidTMVA::Configurable::EnableLooseOptions(Bool_t b = kTRUE)
virtual voidGetHelpMessage() const
const TString&TMVA::MethodBase::GetInternalVarName(Int_t ivar) const
const TString&TMVA::MethodBase::GetOriginalVarName(Int_t ivar) const
const TString&TMVA::Configurable::GetReferenceFile() const
static TMVA::MethodBase*TMVA::MethodBase::GetThisBase()
const TString&TMVA::MethodBase::GetWeightFileDir() const
Bool_tTMVA::MethodBase::HasTrainingTree() const
Bool_tTMVA::MethodBase::Help() const
Bool_tTMVA::MethodBase::IgnoreEventsWithNegWeightsInTraining() const
Bool_tTMVA::MethodBase::IsConstructedFromWeightFile() const
Bool_tTMVA::MethodBase::IsNormalised() const
TMVA::MsgLogger&TMVA::Configurable::Log() const
Bool_tTMVA::Configurable::LooseOptionCheckingEnabled() const
virtual voidMakeClassSpecific(ostream&, const TString&) const
virtual voidMakeClassSpecificHeader(ostream&, const TString& = "") const
voidTObject::MakeZombie()
voidTMVA::MethodBase::NoErrorCalc(Double_t*const err, Double_t*const errUpper)
voidTMVA::Configurable::ResetSetFlag()
voidTMVA::MethodBase::SetNormalised(Bool_t norm)
voidTMVA::MethodBase::SetWeightFileDir(TString fileDir)
voidTMVA::MethodBase::SetWeightFileName(TString)
voidTMVA::MethodBase::Statistics(TMVA::Types::ETreeType treeType, const TString& theVarName, Double_t&, Double_t&, Double_t&, Double_t&, Double_t&, Double_t&)
Bool_tTMVA::MethodBase::TxtWeightsOnly() const
Bool_tTMVA::MethodBase::Verbose() const
voidTMVA::Configurable::WriteOptionsReferenceToFile()
private:
virtual voidDeclareOptions()
virtual voidInit()
virtual voidProcessOptions()
Double_tTransformLikelihoodOutput(Double_t ps, Double_t pb) const

Data Members

public:
Bool_tTMVA::MethodBase::fSetupCompletedis method setup
const TMVA::Event*TMVA::MethodBase::fTmpEvent! temporary event when testing on a different DataSet than the own one
static TObject::<anonymous>TObject::kBitMask
static TObject::EStatusBitsTObject::kCanDelete
static TObject::EStatusBitsTObject::kCannotPick
static TObject::EStatusBitsTObject::kHasUUID
static TObject::EStatusBitsTObject::kInvalidObject
static TObject::<anonymous>TObject::kIsOnHeap
static TObject::EStatusBitsTObject::kIsReferenced
static TObject::EStatusBitsTObject::kMustCleanup
static TObject::EStatusBitsTObject::kNoContextMenu
static TObject::<anonymous>TObject::kNotDeleted
static TObject::EStatusBitsTObject::kObjInCanvas
static TObject::<anonymous>TObject::kOverwrite
static TMVA::MethodBase::EWeightFileTypeTMVA::MethodBase::kROOT
static TObject::<anonymous>TObject::kSingleKey
static TMVA::MethodBase::EWeightFileTypeTMVA::MethodBase::kTEXT
static TObject::<anonymous>TObject::kWriteDelete
static TObject::<anonymous>TObject::kZombie
protected:
TMVA::Types::EAnalysisTypeTMVA::MethodBase::fAnalysisTypemethod-mode : true --> regression, false --> classification
UInt_tTMVA::MethodBase::fBackgroundClassindex of the Background-class
vector<TString>*TMVA::MethodBase::fInputVarsvector of input variables used in MVA
vector<Float_t>*TMVA::MethodBase::fMulticlassReturnValholds the return-values for the multiclass classification
Int_tTMVA::MethodBase::fNbinsnumber of bins in input variable histograms
Int_tTMVA::MethodBase::fNbinsHnumber of bins in evaluation histograms
Int_tTMVA::MethodBase::fNbinsMVAoutputnumber of bins in MVA output histograms
TMVA::Ranking*TMVA::MethodBase::fRankingpointer to ranking object (created by derived classifiers)
vector<Float_t>*TMVA::MethodBase::fRegressionReturnValholds the return-values for the regression
UInt_tTMVA::MethodBase::fSignalClassindex of the Signal-class
private:
Int_tfAverageEvtPerBinaverage events per bin; used to calculate fNbins
Int_t*fAverageEvtPerBinVarBaverage events per bin; used to calculate fNbins
Int_t*fAverageEvtPerBinVarSaverage events per bin; used to calculate fNbins
TStringfBorderMethodStringthe method to take care about "border" effects (string)
TMVA::PDF*fDefaultPDFLikpdf that contains default definitions
Int_tfDropVariablefor ranking test
Double_tfEpsilonminimum number of likelihood (to avoid zero)
vector<TH1*>*fHistBgdbackground PDFs (histograms)
vector<TH1*>*fHistBgd_smoothbackground PDFs (smoothed histograms)
vector<TH1*>*fHistSigsignal PDFs (histograms)
vector<TH1*>*fHistSig_smoothsignal PDFs (smoothed histograms)
TString*fInterpolateStringwhich interpolation method used for reference histograms (individual for each variable)
Float_tfKDEfineFactorfine tuning factor for Adaptive KDE
TStringfKDEiterStringNumber of iterations (string)
TStringfKDEtypeStringKernel type to use for KDE (string)
Int_tfNsmoothnumber of smooth passes
Int_t*fNsmoothVarBnumber of smooth passes
Int_t*fNsmoothVarSnumber of smooth passes
vector<TMVA::PDF*>*fPDFBgdlist of PDFs (background)
vector<TMVA::PDF*>*fPDFSiglist of PDFs (signal)
Bool_tfTransformLikelihoodOutputlikelihood output is sigmoid-transformed

Class Charts

Inheritance Inherited Members Includes Libraries
Class Charts

Function documentation

MethodLikelihood(const TString& jobName, const TString& methodTitle, TMVA::DataSetInfo& theData, const TString& theOption = "", TDirectory* theTargetDir = 0)
 standard constructor
MethodLikelihood(TMVA::DataSetInfo& theData, const TString& theWeightFile, TDirectory* theTargetDir = __null)
 construct likelihood references from file
~MethodLikelihood( void )
 destructor
Bool_t HasAnalysisType(TMVA::Types::EAnalysisType type, UInt_t numberClasses, UInt_t numberTargets)
 FDA can handle classification with 2 classes
void Init( void )
 default initialisation called by all constructors
void DeclareOptions()
 define the options (their key words) that can be set in the option string
 TransformOutput   <bool>   transform (often strongly peaked) likelihood output through sigmoid inversion
void DeclareCompatibilityOptions()
 options that are used ONLY for the READER to ensure backward compatibility
void ProcessOptions()
void Train( void )
 create reference distributions (PDFs) from signal and background events:
 fill histograms and smooth them; if decorrelation is required, compute
 corresponding square-root matrices
 the reference histograms require the correct boundaries. Since in Likelihood classification
 the transformations are applied using both classes, also the corresponding boundaries
 need to take this into account
Double_t GetMvaValue(Double_t* err = 0, Double_t* errUpper = 0)
 returns the likelihood estimator for signal
 fill a new Likelihood branch into the testTree
Double_t TransformLikelihoodOutput(Double_t ps, Double_t pb) const
 returns transformed or non-transformed output
void WriteOptionsToStream(ostream& o, const TString& prefix) const
 write options to stream
void AddWeightsXMLTo(void* parent) const
 write weights to XML
const TMVA::Ranking* CreateRanking()
 computes ranking of input variables
void WriteWeightsToStream(TFile& rf) const
 write reference PDFs to ROOT file
void ReadWeightsFromXML(void* wghtnode)
 read weights from XML
void ReadWeightsFromStream(istream& istr)
 read weight info from file
 nothing to do for this method
void ReadWeightsFromStream(TFile& istr)
 read reference PDF from ROOT file
void WriteMonitoringHistosToFile( void )
 write histograms and PDFs to file for monitoring purposes
void MakeClassSpecificHeader(ostream& , const TString& = "") const
 write specific header of the classifier (mostly include files)
void MakeClassSpecific(ostream& , const TString& ) const
 write specific classifier response
void GetHelpMessage() const
 get help message text

 typical length of text line:
         "|--------------------------------------------------------------|"
MethodLikelihood(const TString& jobName, const TString& methodTitle, TMVA::DataSetInfo& theData, const TString& theOption = "", TDirectory* theTargetDir = 0)