Logo ROOT   6.07/09
Reference Guide
List of all members | Public Member Functions | Static Public Member Functions | Protected Attributes | List of all members

The histogram painter class.

Implements all histograms' drawing's options.

Introduction

Histograms are drawn via the THistPainter class. Each histogram has a pointer to its own painter (to be usable in a multithreaded program). When the canvas has to be redrawn, the Paint function of each objects in the pad is called. In case of histograms, TH1::Paint invokes directly THistPainter::Paint.

To draw a histogram h it is enough to do:

h->Draw();

h can be of any kind: 1D, 2D or 3D. To choose how the histogram will be drawn, the Draw() method can be invoked with an option. For instance to draw a 2D histogram as a lego plot it is enough to do:

h->Draw("lego");

THistPainter offers many options to paint 1D, 2D and 3D histograms.

When the Draw() method of a histogram is called for the first time (TH1::Draw), it creates a THistPainter object and saves a pointer to this "painter" as a data member of the histogram. The THistPainter class specializes in the drawing of histograms. It is separated from the histogram so that one can have histograms without the graphics overhead, for example in a batch program. Each histogram having its own painter (rather than a central singleton painter painting all histograms), allows two histograms to be drawn in two threads without overwriting the painter's values.

When a displayed histogram is filled again, there is no need to call the Draw() method again; the image will be refreshed the next time the pad will be updated.

A pad is updated after one of these three actions:

  1. a carriage control on the ROOT command line,
  2. a click inside the pad,
  3. a call to TPad::Update.

By default a call to TH1::Draw() clears the pad of all objects before drawing the new image of the histogram. One can use the SAME option to leave the previous display intact and superimpose the new histogram. The same histogram can be drawn with different graphics options in different pads.

When a displayed histogram is deleted, its image is automatically removed from the pad.

To create a copy of the histogram when drawing it, one can use TH1::DrawClone(). This will clone the histogram and allow to change and delete the original one without affecting the clone.

Histograms' plotting options

Most options can be concatenated with or without spaces or commas, for example:

h->Draw("E1 SAME");

The options are not case sensitive:

h->Draw("e1 same");

The default drawing option can be set with TH1::SetOption and retrieve using TH1::GetOption:

root [0] h->Draw();          // Draw "h" using the standard histogram representation.
root [1] h->Draw("E");       // Draw "h" using error bars
root [3] h->SetOption("E");  // Change the default drawing option for "h"
root [4] h->Draw();          // Draw "h" using error bars
root [5] h->GetOption();     // Retrieve the default drawing option for "h"
(const Option_t* 0xa3ff948)"E"

Options supported for 1D and 2D histograms

Option Description
"E" Draw error bars.
"AXIS" Draw only axis.
"AXIG" Draw only grid (if the grid is requested).
"HIST" When an histogram has errors it is visualized by default with error bars. To visualize it without errors use the option "HIST" together with the required option (eg "hist same c"). The "HIST" option can also be used to plot only the histogram and not the associated function(s).
"FUNC" When an histogram has a fitted function, this option allows to draw the fit result only.
"SAME" Superimpose on previous picture in the same pad.
"LEGO" Draw a lego plot with hidden line removal.
"LEGO1" Draw a lego plot with hidden surface removal.
"LEGO2" Draw a lego plot using colors to show the cell contents When the option "0" is used with any LEGO option, the empty bins are not drawn.
"LEGO3" Draw a lego plot with hidden surface removal, like LEGO1 but the border lines of each lego-bar are not drawn.
"LEGO4" Draw a lego plot with hidden surface removal, like LEGO1 but without the shadow effect on each lego-bar.
"TEXT" Draw bin contents as text (format set via gStyle->SetPaintTextFormat).
"TEXTnn" Draw bin contents as text at angle nn (0 < nn < 90).
"X+" The X-axis is drawn on the top side of the plot.
"Y+" The Y-axis is drawn on the right side of the plot.

Options supported for 1D histograms

Option Description
" " Default.
"AH" Draw histogram without axis. "A" can be combined with any drawing option. For instance, "AC" draws the histogram as a smooth Curve without axis.
"][" When this option is selected the first and last vertical lines of the histogram are not drawn.
"B" Bar chart option.
"BAR" Like option "B", but bars can be drawn with a 3D effect.
"HBAR" Like option "BAR", but bars are drawn horizontally.
"C" Draw a smooth Curve through the histogram bins.
"E0" Draw error bars. Markers are drawn for bins with 0 contents.
"E1" Draw error bars with perpendicular lines at the edges.
"E2" Draw error bars with rectangles.
"E3" Draw a fill area through the end points of the vertical error bars.
"E4" Draw a smoothed filled area through the end points of the error bars.
"E5" Like E3 but ignore the bins with 0 contents.
"E6" Like E4 but ignore the bins with 0 contents.
"X0" When used with one of the "E" option, it suppress the error bar along X as gStyle->SetErrorX(0) would do.
"L" Draw a line through the bin contents.
"P" Draw current marker at each bin except empty bins.
"P0" Draw current marker at each bin including empty bins.
"PIE" Draw histogram as a Pie Chart.
"*H" Draw histogram with a * at each bin.
"LF2" Draw histogram like with option "L" but with a fill area. Note that "L" draws also a fill area if the hist fill color is set but the fill area corresponds to the histogram contour.

Options supported for 2D histograms

Option Description
" " Default (scatter plot).
"ARR" Arrow mode. Shows gradient between adjacent cells.
"BOX" A box is drawn for each cell with surface proportional to the content's absolute value. A negative content is marked with a X.
"BOX1" A button is drawn for each cell with surface proportional to content's absolute value. A sunken button is drawn for negative values a raised one for positive.
"COL" A box is drawn for each cell with a color scale varying with contents. All the none empty bins are painted. Empty bins are not painted unless some bins have a negative content because in that case the null bins might be not empty. TProfile2D histograms are handled differently because, for this type of 2D histograms, it is possible to know if an empty bin has been filled or not. So even if all the bins' contents are positive some empty bins might be painted. And vice versa, if some bins have a negative content some empty bins might be not painted.
"COLZ" Same as "COL". In addition the color palette is also drawn.
"COL2" Alternative rendering algorithm to "COL". Can significantly improve rendering performance for large, non-sparse 2-D histograms.
"COLZ2" Same as "COL2". In addition the color palette is also drawn.
"CANDLE" Draw a candle plot along X axis.
"CANDLEX" Same as "CANDLE".
"CANDLEY" Draw a candle plot along Y axis.
"VIOLIN" Draw a violin plot along X axis.
"VIOLINX" Same as "VIOLIN".
"VIOLINY" Draw a violin plot along Y axis.
"CONT" Draw a contour plot (same as CONT0).
"CONT0" Draw a contour plot using surface colors to distinguish contours.
"CONT1" Draw a contour plot using line styles to distinguish contours.
"CONT2" Draw a contour plot using the same line style for all contours.
"CONT3" Draw a contour plot using fill area colors.
"CONT4" Draw a contour plot using surface colors (SURF option at theta = 0).
"CONT5" (TGraph2D only) Draw a contour plot using Delaunay triangles.
"LIST" Generate a list of TGraph objects for each contour.
"CYL" Use Cylindrical coordinates. The X coordinate is mapped on the angle and the Y coordinate on the cylinder length.
"POL" Use Polar coordinates. The X coordinate is mapped on the angle and the Y coordinate on the radius.
"SPH" Use Spherical coordinates. The X coordinate is mapped on the latitude and the Y coordinate on the longitude.
"PSR" Use PseudoRapidity/Phi coordinates. The X coordinate is mapped on Phi.
"SURF" Draw a surface plot with hidden line removal.
"SURF1" Draw a surface plot with hidden surface removal.
"SURF2" Draw a surface plot using colors to show the cell contents.
"SURF3" Same as SURF with in addition a contour view drawn on the top.
"SURF4" Draw a surface using Gouraud shading.
"SURF5" Same as SURF3 but only the colored contour is drawn. Used with option CYL, SPH or PSR it allows to draw colored contours on a sphere, a cylinder or a in pseudo rapidity space. In cartesian or polar coordinates, option SURF3 is used.
"FB" With LEGO or SURFACE, suppress the Front-Box.
"BB" With LEGO or SURFACE, suppress the Back-Box.
"A" With LEGO or SURFACE, suppress the axis.
"SCAT" Draw a scatter-plot (default).
"[cutg]" Draw only the sub-range selected by the TCutG named "cutg".

Options supported for 3D histograms

Option Description
" " Default (scatter plot).
"ISO" Draw a Gouraud shaded 3d iso surface through a 3d histogram. It paints one surface at the value computed as follow: SumOfWeights/(NbinsX*NbinsY*NbinsZ).
"BOX" Draw a for each cell with volume proportional to the content's absolute value.
"LEGO" Same as BOX.

Options supported for histograms' stacks (THStack)

Option Description
" " Default, the histograms are drawn on top of each other (as lego plots for 2D histograms).
"NOSTACK" Histograms in the stack are all paint in the same pad as if the option SAME had been specified.
"NOSTACKB" Histograms are drawn next to each other as bar charts.
"PADS" The current pad/canvas is subdivided into a number of pads equal to the number of histograms in the stack and each histogram is paint into a separate pad.

Setting the Style

Histograms use the current style (gStyle). When one changes the current style and would like to propagate the changes to the histogram, TH1::UseCurrentStyle should be called. Call UseCurrentStyle on each histogram is needed.

To force all the histogram to use the current style use:

gROOT->ForceStyle();

All the histograms read after this call will use the current style.

Setting line, fill, marker, and text attributes

The histogram classes inherit from the attribute classes: TAttLine, TAttFill and TAttMarker. See the description of these classes for the list of options.

Setting Tick marks on the histogram axis

The TPad::SetTicks method specifies the type of tick marks on the axis. If tx = gPad->GetTickx() and ty = gPad->GetTicky() then:

tx = 1;   tick marks on top side are drawn (inside)
tx = 2;   tick marks and labels on top side are drawn
ty = 1;   tick marks on right side are drawn (inside)
ty = 2;   tick marks and labels on right side are drawn

By default only the left Y axis and X bottom axis are drawn (tx = ty = 0)

TPad::SetTicks(tx,ty) allows to set these options. See also The TAxis functions to set specific axis attributes.

In case multiple color filled histograms are drawn on the same pad, the fill area may hide the axis tick marks. One can force a redraw of the axis over all the histograms by calling:

gPad->RedrawAxis();

Giving titles to the X, Y and Z axis

h->GetXaxis()->SetTitle("X axis title");
h->GetYaxis()->SetTitle("Y axis title");

The histogram title and the axis titles can be any TLatex string. The titles are part of the persistent histogram.

The option "SAME"

By default, when an histogram is drawn, the current pad is cleared before drawing. In order to keep the previous drawing and draw on top of it the option SAME should be use. The histogram drawn with the option SAME uses the coordinates system available in the current pad.

This option can be used alone or combined with any valid drawing option but some combinations must be use with care.

Limitations

Superimposing two histograms with different scales in the same pad

The following example creates two histograms, the second histogram is the bins integral of the first one. It shows a procedure to draw the two histograms in the same pad and it draws the scale of the second histogram using a new vertical axis on the right side. See also the tutorial transpad.C for a variant of this example.

{
TCanvas *c1 = new TCanvas("c1","c1",600,400);
// create/fill draw h1
TH1F *h1 = new TH1F("h1","Superimposing two histograms with different scales",100,-3,3);
Int_t i;
for (i=0;i<10000;i++) h1->Fill(gRandom->Gaus(0,1));
h1->Draw();
c1->Update();
// create hint1 filled with the bins integral of h1
TH1F *hint1 = new TH1F("hint1","h1 bins integral",100,-3,3);
Float_t sum = 0;
for (i=1;i<=100;i++) {
sum += h1->GetBinContent(i);
hint1->SetBinContent(i,sum);
}
// scale hint1 to the pad coordinates
Float_t rightmax = 1.1*hint1->GetMaximum();
Float_t scale = gPad->GetUymax()/rightmax;
hint1->SetLineColor(kRed);
hint1->Scale(scale);
hint1->Draw("same");
// draw an axis on the right side
TGaxis *axis = new TGaxis(gPad->GetUxmax(),gPad->GetUymin(),
gPad->GetUxmax(), gPad->GetUymax(),0,rightmax,510,"+L");
axis->Draw();
return c1;
}
pict1_THistPainter_001.png

Statistics Display

The type of information shown in the histogram statistics box can be selected with:

gStyle->SetOptStat(mode);

The mode has up to nine digits that can be set to on (1 or 2), off (0).

mode = ksiourmen  (default = 000001111)
k = 1;  kurtosis printed
k = 2;  kurtosis and kurtosis error printed
s = 1;  skewness printed
s = 2;  skewness and skewness error printed
i = 1;  integral of bins printed
i = 2;  integral of bins with option "width" printed
o = 1;  number of overflows printed
u = 1;  number of underflows printed
r = 1;  standard deviation printed
r = 2;  standard deviation and standard deviation error printed
m = 1;  mean value printed
m = 2;  mean and mean error values printed
e = 1;  number of entries printed
n = 1;  name of histogram is printed

For example:

gStyle->SetOptStat(11);

displays only the name of histogram and the number of entries, whereas:

gStyle->SetOptStat(1101);

displays the name of histogram, mean value and standard deviation.

WARNING 1: never do:

gStyle->SetOptStat(0001111);

but instead do:

gStyle->SetOptStat(1111);

because 0001111 will be taken as an octal number!

WARNING 2: for backward compatibility with older versions

gStyle->SetOptStat(1);

is taken as:

gStyle->SetOptStat(1111)

To print only the name of the histogram do:

gStyle->SetOptStat(1000000001);

NOTE that in case of 2D histograms, when selecting only underflow (10000) or overflow (100000), the statistics box will show all combinations of underflow/overflows and not just one single number.

The parameter mode can be any combination of the letters kKsSiIourRmMen

k :  kurtosis printed
K :  kurtosis and kurtosis error printed
s :  skewness printed
S :  skewness and skewness error printed
i :  integral of bins printed
I :  integral of bins with option "width" printed
o :  number of overflows printed
u :  number of underflows printed
r :  standard deviation printed
R :  standard deviation and standard deviation error printed
m :  mean value printed
M :  mean value mean error values printed
e :  number of entries printed
n :  name of histogram is printed

For example, to print only name of histogram and number of entries do:

gStyle->SetOptStat("ne");

To print only the name of the histogram do:

gStyle->SetOptStat("n");

The default value is:

gStyle->SetOptStat("nemr");

When a histogram is painted, a TPaveStats object is created and added to the list of functions of the histogram. If a TPaveStats object already exists in the histogram list of functions, the existing object is just updated with the current histogram parameters.

Once a histogram is painted, the statistics box can be accessed using h->FindObject("stats"). In the command line it is enough to do:

Root > h->Draw()
Root > TPaveStats *st = (TPaveStats*)h->FindObject("stats")

because after h->Draw() the histogram is automatically painted. But in a script file the painting should be forced using gPad->Update() in order to make sure the statistics box is created:

h->Draw();
gPad->Update();
TPaveStats *st = (TPaveStats*)h->FindObject("stats");

Without gPad->Update() the line h->FindObject("stats") returns a null pointer.

When a histogram is drawn with the option SAME, the statistics box is not drawn. To force the statistics box drawing with the option SAME, the option SAMES must be used. If the new statistics box hides the previous statistics box, one can change its position with these lines (h being the pointer to the histogram):

Root > TPaveStats *st = (TPaveStats*)h->FindObject("stats")
Root > st->SetX1NDC(newx1); //new x start position
Root > st->SetX2NDC(newx2); //new x end position

To change the type of information for an histogram with an existing TPaveStats one should do:

st->SetOptStat(mode);

Where mode has the same meaning than when calling gStyle->SetOptStat(mode) (see above).

One can delete the statistics box for a histogram TH1* h with:

h->SetStats(0)

and activate it again with:

h->SetStats(1).

Labels used in the statistics box ("Mean", "Std Dev", ...) can be changed from $ROOTSYS/etc/system.rootrc or .rootrc (look for the string Hist.Stats.).

Fit Statistics

The type of information about fit parameters printed in the histogram statistics box can be selected via the parameter mode. The parameter mode can be = pcev (default = 0111)

p = 1;  print Probability
c = 1;  print Chisquare/Number of degrees of freedom
e = 1;  print errors (if e=1, v must be 1)
v = 1;  print name/values of parameters

Example:

gStyle->SetOptFit(1011);

print fit probability, parameter names/values and errors.

  1. When v" = 1</tt> is specified, only the non-fixed parameters are shown. 2. When <tt>v" = 2 all parameters are shown.

Note: gStyle->SetOptFit(1) means "default value", so it is equivalent to gStyle->SetOptFit(111)

The error bars options

Option Description
"E" Default. Shows only the error bars, not a marker.
"E1" Small lines are drawn at the end of the error bars.
"E2" Error rectangles are drawn.
"E3" A filled area is drawn through the end points of the vertical error bars.
"E4" A smoothed filled area is drawn through the end points of the vertical error bars.
"E0" Draw also bins with null contents.
{
TCanvas *c1 = new TCanvas("c1","c1",600,400);
TH1F *he = new TH1F("he","Distribution drawn with error bars (option E1) ",100,-3,3);
Int_t i;
for (i=0;i<10000;i++) he->Fill(gRandom->Gaus(0,1));
he->SetMarkerStyle(20);
he->Draw("E1");
return c1;
}
pict1_THistPainter_002.png

The options "E3" and "E4" draw an error band through the end points of the vertical error bars. With "E4" the error band is smoothed. Because of the smoothing algorithm used some artefacts may appear at the end of the band like in the following example. In such cases "E3" should be used instead of "E4".

{
TCanvas *ce4 = new TCanvas("ce4","ce4",600,400);
ce4->Divide(2,1);
TH1F *he4 = new TH1F("he4","Distribution drawn with option E4",100,-3,3);
Int_t i;
for (i=0;i<10000;i++) he4->Fill(gRandom->Gaus(0,1));
he4->GetXaxis()->SetRange(40,48);
ce4->cd(1);
he4->Draw("E4");
ce4->cd(2);
TH1F *he3 = (TH1F*)he4->DrawClone("E3");
he3->SetTitle("Distribution drawn option E3");
return ce4;
}
pict1_THistPainter_003.png

2D histograms can be drawn with error bars as shown is the following example:

{
TCanvas *c2e = new TCanvas("c2e","c2e",600,400);
TH2F *h2e = new TH2F("h2e","TH2 drawn with option E",40,-4,4,40,-20,20);
Float_t px, py;
for (Int_t i = 0; i < 25000; i++) {
gRandom->Rannor(px,py);
h2e->Fill(px,5*py);
}
h2e->Draw("E");
return c2e;
}
pict1_THistPainter_004.png

The bar chart option

The option "B" allows to draw simple vertical bar charts. The bar width is controlled with TH1::SetBarWidth(), and the bar offset within the bin, with TH1::SetBarOffset(). These two settings are useful to draw several histograms on the same plot as shown in the following example:

{
int i;
const Int_t nx = 8;
string os_X[nx] = {"8","32","128","512","2048","8192","32768","131072"};
float d_35_0[nx] = {0.75, -3.30, -0.92, 0.10, 0.08, -1.69, -1.29, -2.37};
float d_35_1[nx] = {1.01, -3.02, -0.65, 0.37, 0.34, -1.42, -1.02, -2.10};
TCanvas *cb = new TCanvas("cb","cb",600,400);
cb->SetGrid();
TH1F *h1b = new TH1F("h1b","Option B example",nx,0,nx);
h1b->SetFillColor(4);
h1b->SetBarWidth(0.4);
h1b->SetBarOffset(0.1);
h1b->SetStats(0);
h1b->SetMinimum(-5);
h1b->SetMaximum(5);
for (i=1; i<=nx; i++) {
h1b->SetBinContent(i, d_35_0[i-1]);
h1b->GetXaxis()->SetBinLabel(i,os_X[i-1].c_str());
}
h1b->Draw("b");
TH1F *h2b = new TH1F("h2b","h2b",nx,0,nx);
h2b->SetFillColor(38);
h2b->SetBarWidth(0.4);
h2b->SetBarOffset(0.5);
h2b->SetStats(0);
for (i=1;i<=nx;i++) h2b->SetBinContent(i, d_35_1[i-1]);
h2b->Draw("b same");
return cb;
}
pict1_THistPainter_005.png

The "BAR" and "HBAR" options

When the option bar or hbar is specified, a bar chart is drawn. A vertical bar-chart is drawn with the options bar, bar0, bar1, bar2, bar3, bar4. An horizontal bar-chart is drawn with the options hbar, hbar0, hbar1, hbar2, hbar3, hbar4 (hbars.C).

When an histogram has errors the option "HIST" together with the (h)bar option.

TCanvas *hbars() {
// Try to open first the file cernstaff.root in tutorials/tree directory
TString filedir = gROOT->GetTutorialsDir();
filedir += TString("/tree/");
TString filename = "cernstaff.root";
bool fileNotFound = gSystem->AccessPathName(filename); // note opposite return code
// If file is not found try to generate it uing the macro tree/cernbuild.C
if (fileNotFound) {
TString macroName = filedir + "cernbuild.C";
if (!gInterpreter->IsLoaded(macroName)) gInterpreter->LoadMacro(macroName);
gROOT->ProcessLineFast("cernbuild()");
}
TFile * f = TFile::Open(filename);
if (!f) {
Error("hbars","file cernstaff.root not found");
return 0;
}
TTree *T = (TTree*)f->Get("T");
if (!T) {
Error("hbars","Tree T is not present in file %s",f->GetName() );
return 0;
}
T->SetFillColor(45);
TCanvas *c1 = new TCanvas("c1","histograms with bars",700,800);
c1->SetFillColor(42);
c1->Divide(1,2);
// Horizontal bar chart
c1->cd(1); gPad->SetGrid(); gPad->SetLogx(); gPad->SetFrameFillColor(33);
T->Draw("Nation","","hbar2");
// Vertical bar chart
c1->cd(2); gPad->SetGrid(); gPad->SetFrameFillColor(33);
T->Draw("Division>>hDiv","","goff");
TH1F *hDiv = (TH1F*)gDirectory->Get("hDiv");
hDiv->SetStats(0);
TH1F *hDivFR = (TH1F*)hDiv->Clone("hDivFR");
T->Draw("Division>>hDivFR","Nation==\"FR\"","goff");
hDiv->SetBarWidth(0.45);
hDiv->SetBarOffset(0.1);
hDiv->SetFillColor(49);
TH1 *h1 = hDiv->DrawCopy("bar2");
hDivFR->SetBarWidth(0.4);
hDivFR->SetBarOffset(0.55);
hDivFR->SetFillColor(50);
TH1 *h2 = hDivFR->DrawCopy("bar2,same");
TLegend *legend = new TLegend(0.55,0.65,0.76,0.82);
legend->AddEntry(h1,"All nations","f");
legend->AddEntry(h2,"French only","f");
legend->Draw();
c1->cd();
delete f;
return c1;
}
pict1_THistPainter_006.png

To control the bar width (default is the bin width) TH1::SetBarWidth() should be used.

To control the bar offset (default is 0) TH1::SetBarOffset() should be used.

These two parameters are useful when several histograms are plotted using the option SAME. They allow to plot the histograms next to each other.

The SCATter plot option (default for 2D histograms)

For each cell (i,j) a number of points proportional to the cell content is drawn. A maximum of kNMAX points per cell is drawn. If the maximum is above kNMAX contents are normalized to kNMAX (kNMAX=2000). If option is of the form scat=ff, (eg scat=1.8, scat=1e-3), then ff is used as a scale factor to compute the number of dots. scat=1 is the default.

By default the scatter plot is painted with a "dot marker" which not scalable (see the TAttMarker documentation). To change the marker size, a scalable marker type should be used. For instance a circle (marker style 20).

{
TCanvas *c1 = new TCanvas("c1","c1",600,400);
TH2F *hscat = new TH2F("hscat","Option SCATter example (default for 2D histograms) ",40,-4,4,40,-20,20);
Float_t px, py;
for (Int_t i = 0; i < 25000; i++) {
gRandom->Rannor(px,py);
hscat->Fill(px,5*py);
hscat->Fill(3+0.5*px,2*py-10.);
}
hscat->Draw("scat=0.5");
return c1;
}
pict1_THistPainter_007.png

The ARRow option

Shows gradient between adjacent cells. For each cell (i,j) an arrow is drawn The orientation of the arrow follows the cell gradient.

{
TCanvas *c1 = new TCanvas("c1","c1",600,400);
TH2F *harr = new TH2F("harr","Option ARRow example",20,-4,4,20,-20,20);
Float_t px, py;
for (Int_t i = 0; i < 25000; i++) {
gRandom->Rannor(px,py);
harr->Fill(px,5*py);
harr->Fill(3+0.5*px,2*py-10.,0.1);
}
harr->Draw("ARR");
return c1;
}
pict1_THistPainter_008.png

The BOX option

For each cell (i,j) a box is drawn. The size (surface) of the box is proportional to the absolute value of the cell content. The cells with a negative content draw with a X on top of the boxes.

{
TCanvas *c1 = new TCanvas("c1","c1",600,400);
hbox = new TH2F("hbox","Option BOX example",3,0,3,3,0,3);
hbox->SetFillColor(42);
hbox->Fill(0.5, 0.5, 1.);
hbox->Fill(0.5, 1.5, 4.);
hbox->Fill(0.5, 2.5, 3.);
hbox->Fill(1.5, 0.5, 2.);
hbox->Fill(1.5, 1.5, 12.);
hbox->Fill(1.5, 2.5, -6.);
hbox->Fill(2.5, 0.5, -4.);
hbox->Fill(2.5, 1.5, 6.);
hbox->Fill(2.5, 2.5, 0.5);
hbox->Draw("BOX");
return c1;
}
pict1_THistPainter_009.png

With option BOX1 a button is drawn for each cell with surface proportional to content's absolute value. A sunken button is drawn for negative values a raised one for positive.

{
TCanvas *c1 = new TCanvas("c1","c1",600,400);
hbox1 = new TH2F("hbox1","Option BOX1 example",3,0,3,3,0,3);
hbox1->SetFillColor(42);
hbox1->Fill(0.5, 0.5, 1.);
hbox1->Fill(0.5, 1.5, 4.);
hbox1->Fill(0.5, 2.5, 3.);
hbox1->Fill(1.5, 0.5, 2.);
hbox1->Fill(1.5, 1.5, 12.);
hbox1->Fill(1.5, 2.5, -6.);
hbox1->Fill(2.5, 0.5, -4.);
hbox1->Fill(2.5, 1.5, 6.);
hbox1->Fill(2.5, 2.5, 0.5);
hbox1->Draw("BOX1");
return c1;
}
pict1_THistPainter_010.png

When the option SAME (or "SAMES") is used with the option BOX, the boxes' sizes are computing taking the previous plots into account. The range along the Z axis is imposed by the first plot (the one without option SAME); therefore the order in which the plots are done is relevant.

{
TCanvas *c1 = new TCanvas("c1","c1",600,400);
TH2F *hb1 = new TH2F("hb1","Example of BOX plots with option SAME ",40,-3,3,40,-3,3);
TH2F *hb2 = new TH2F("hb2","hb2",40,-3,3,40,-3,3);
TH2F *hb3 = new TH2F("hb3","hb3",40,-3,3,40,-3,3);
TH2F *hb4 = new TH2F("hb4","hb4",40,-3,3,40,-3,3);
for (Int_t i=0;i<1000;i++) {
double x,y;
gRandom->Rannor(x,y);
if (x>0 && y>0) hb1->Fill(x,y,4);
if (x<0 && y<0) hb2->Fill(x,y,3);
if (x>0 && y<0) hb3->Fill(x,y,2);
if (x<0 && y>0) hb4->Fill(x,y,1);
}
hb1->SetFillColor(1);
hb2->SetFillColor(2);
hb3->SetFillColor(3);
hb4->SetFillColor(4);
hb1->Draw("box");
hb2->Draw("box same");
hb3->Draw("box same");
hb4->Draw("box same");
return c1;
}
pict1_THistPainter_011.png

The COLor option

For each cell (i,j) a box is drawn with a color proportional to the cell content.

The color table used is defined in the current style.

If the histogram's minimum and maximum are the same (flat histogram), the mapping on colors is not possible, therefore nothing is painted. To paint a flat histogram it is enough to set the histogram minimum (TH1::SetMinimum()) different from the bins' content.

The default number of color levels used to paint the cells is 20. It can be changed with TH1::SetContour() or TStyle::SetNumberContours(). The higher this number is, the smoother is the color change between cells.

The color palette in TStyle can be modified via gStyle->SetPalette().

All the non-empty bins are painted. Empty bins are not painted unless some bins have a negative content because in that case the null bins might be not empty.

TProfile2D histograms are handled differently because, for this type of 2D histograms, it is possible to know if an empty bin has been filled or not. So even if all the bins' contents are positive some empty bins might be painted. And vice versa, if some bins have a negative content some empty bins might be not painted.

Combined with the option COL, the option Z allows to display the color palette defined by gStyle->SetPalette().

In the following example, the histogram has only positive bins; the empty bins (containing 0) are not drawn.

{
TCanvas *c1 = new TCanvas("c1","c1",600,400);
TH2F *hcol1 = new TH2F("hcol1","Option COLor example ",40,-4,4,40,-20,20);
Float_t px, py;
for (Int_t i = 0; i < 25000; i++) {
gRandom->Rannor(px,py);
hcol1->Fill(px,5*py);
}
hcol1->Draw("COLZ");
return c1;
}
pict1_THistPainter_012.png

In the first plot of following example, the histogram has some negative bins; the empty bins (containing 0) are drawn. In some cases one wants to not draw empty bins (containing 0) of histograms having a negative minimum. The option 1, used to produce the second plot in the following picture, allows to do that.

{
TCanvas *c1 = new TCanvas("c1","c1",600,600);
c1->Divide(1,2);
TH2F *hcol23 = new TH2F("hcol2","Option COLZ example ",40,-4,4,40,-20,20);
TH2F *hcol24 = new TH2F("hcol2","Option COLZ1 example ",40,-4,4,40,-20,20);
Float_t px, py;
for (Int_t i = 0; i < 25000; i++) {
gRandom->Rannor(px,py);
hcol23->Fill(px,5*py);
hcol24->Fill(px,5*py);
}
hcol23->Fill(0.,0.,-200.);
hcol24->Fill(0.,0.,-200.);
c1->cd(1); hcol23->Draw("COLZ");
c1->cd(2); hcol24->Draw("COLZ1");
return c1;
}
pict1_THistPainter_013.png

When the maximum of the histogram is set to a smaller value than the real maximum, the bins having a content between the new maximum and the real maximum are painted with the color corresponding to the new maximum.

When the minimum of the histogram is set to a greater value than the real minimum, the bins having a value between the real minimum and the new minimum are not drawn unless the option 0 is set.

The following example illustrates the option 0 combined with the option COL.

{
TCanvas *c1 = new TCanvas("c1","c1",600,600);
c1->Divide(1,2);
TH2F *hcol21 = new TH2F("hcol21","Option COLZ",40,-4,4,40,-20,20);
TH2F *hcol22 = new TH2F("hcol22","Option COLZ0",40,-4,4,40,-20,20);
Float_t px, py;
for (Int_t i = 0; i < 25000; i++) {
gRandom->Rannor(px,py);
hcol21->Fill(px,5*py);
hcol22->Fill(px,5*py);
}
c1->cd(1); hcol21->Draw("COLZ");
c1->cd(2); hcol22->Draw("COLZ0");
hcol22->SetMaximum(100);
hcol22->SetMinimum(40);
return c1;
}
pict1_THistPainter_014.png

The option COL can be combined with the option POL:

{
TCanvas *c1 = new TCanvas("c1","c1",600,400);
TH2F *hcol1 = new TH2F("hcol1","Option COLor combined with POL",40,-4,4,40,-4,4);
Float_t px, py;
for (Int_t i = 0; i < 25000; i++) {
gRandom->Rannor(px,py);
hcol1->Fill(px,py);
}
hcol1->Draw("COLZPOL");
return c1;
}
pict1_THistPainter_015.png
Since
ROOT version 6.07/03: A second rendering technique is also available with the COL2 and COLZ2 options.

These options provide potential performance improvements compared to the standard COL option. The performance comparison of the COL2 to the COL option depends on the histogram and the size of the rendering region in the current pad. In general, a small (approx. less than 100 bins per axis), sparsely populated TH2 will render faster with the COL option.

However, for larger histograms (approx. more than 100 bins per axis) that are not sparse, the COL2 option will provide up to 20 times performance improvements. For example, a 1000x1000 bin TH2 that is not sparse will render an order of magnitude faster with the COL2 option.

The COL2 option will also scale its performance based on the size of the pixmap the histogram image is being rendered into. It also is much better optimized for sessions where the user is forwarding X11 windows through an ssh connection.

For the most part, the COL2 and COLZ2 options are a drop in replacement to the COL and COLZ options. There is one major difference and that concerns the treatment of bins with zero content. The COL2 and COLZ2 options color these bins the color of zero.

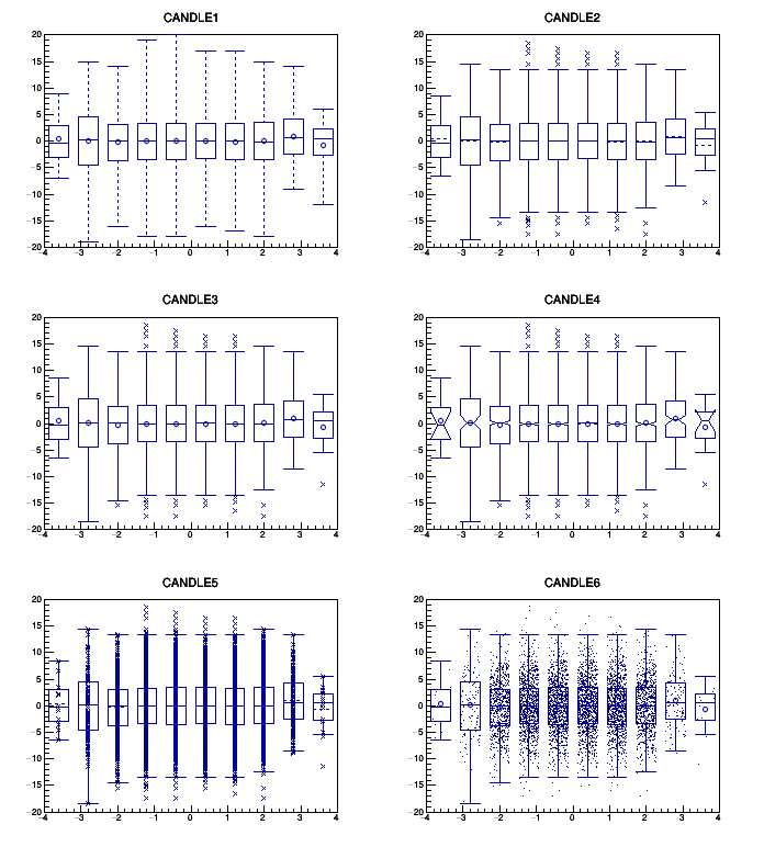
The CANDLE option

A Candle plot (also known as a "box plot" or "whisker plot") was invented in 1977 by John Tukey. It is a convenient way to describe graphically a data distribution (D) with only five numbers:

  1. The minimum value of the distribution D (bottom or left whisker).
  2. The lower quartile (Q1): 25% of the data points in D are less than Q1 (bottom of the box).
  3. The median (M): 50% of the data points in D are less than M.
  4. The upper quartile (Q3): 75% of the data points in D are less than Q3 (top of the box).
  5. The maximum value of the distribution D (top or right whisker).

In this implementation a TH2 is considered as a collection of TH1 along X (option CANDLE or CANDLEX) or Y (option CANDLEY). Each TH1 is represented as a candle plot.

pict1_THistPainter_016.png

The candle reduces the information coming from a whole distribution into few values. Independently from the number of entries or the significance of the underlying distribution a candle will always look like a candle. So candle plots should be used carefully in particular with unknown distributions. The definition of a candle is based on unbinned data. Here, candles are created from binned data. Because of this, the deviation is connected to the bin width used. The calculation of the quantiles normally done on unbinned data also. Because data are binned, this will only work the best possible way within the resolution of one bin

Because of all these facts one should take care that:

What a candle is made of

Since
ROOT version 6.07/05
The box

The box displays the position of the inter-quantile-range of the underlying distribution. The box contains 25% of the distribution below the median and 25% of the distribution above the median. If the underlying distribution is large enough and gaussian shaped the end-points of the box represent \( 0.6745\times\sigma \) (Where \( \sigma \) is the standard deviation of the gaussian). The width and the position of the box can be modified by SetBarWidth() and SetBarOffset(). The +-25% quantiles are calculated by the GetQuantiles() methods.

The Median

For a sorted list of numbers, the median is the value in the middle of the list. E.g. if a sorted list is made of five numbers "1,2,3,6,7" 3 will be the median because it is in the middle of the list. If the number of entries is even the average of the two values in the middle will be used. As histograms are binned data, the situation is a bit more complex. The following example shows this:

void quantiles() {
TH1I *h = new TH1I("h","h",10,0,10);
//h->Fill(3);
//h->Fill(3);
h->Fill(4);
h->Draw();
Double_t *p = new Double_t[1];
p[0] = 0.5;
Double_t *q = new Double_t[1];
q[0] = 0;
h->GetQuantiles(1,q,p);
cout << "Median is: " << q[0] << std::endl;
}

Here the bin-width is 1.0. If the two Fill(3) are commented out, as there are currently, the example will return a calculated median of 4.5, because that's the bin center of the bin in which the value 4.0 has been dropped. If the two Fill(3) are not commented out, it will return 3.75, because the algorithm tries to evenly distribute the individual values of a bin with bin content > 0. It means the sorted list would be "3.25, 3.75, 4.5".

The consequence is a median of 3.75. This shows how important it is to use a small enough bin-width when using candle-plots on binned data. If the distribution is large enough and gaussian shaped the median will be exactly equal to the mean. The median can be shown as a line or as a circle or not shown at all.

In order to show the significance of the median notched candle plots apply a "notch" or narrowing of the box around the median. The significance is defined by \( 1.57\times\frac{iqr}{N} \) and will be represented as the size of the notch (where iqr is the size of the box and N is the number of entries of the whole distribution). Candle plots like these are usually called "notched candle plots".

In case the significance of the median is greater that the size of the box, the box will have an unnatural shape. Usually it means the chart has not enough data, or that representing this uncertainty is not useful

The Mean

The mean can be drawn as a dashed line or as a circle or not drawn at all. The mean is the arithmetic average of the values in the distribution. It is calculated using GetMean(). Because histograms are binned data, the mean value can differ from a calculation on the raw-data. If the distribution is large enough and gaussian shaped the mean will be exactly the median.

The Whiskers

The whiskers represent the part of the distribution not covered by the box. The upper 25% and the lower 25% of the distribution are located within the whiskers. Two representations are available.

If the distribution is large enough and gaussian shaped, the maximum length of the whisker will be located at \( \pm 2.698 \sigma \) (when using the 1.5*iqr-definition (w=2), where \( \sigma \) is the standard deviation (see picture above). In that case 99.3% of the total distribution will be covered by the box and the whiskers, whereas 0.7% are represented by the outliers.

The Anchors

The anchors have no special meaning in terms of statistical calculation. They mark the end of the whiskers and they have the width of the box. Both representation with and without anchors are common.

The Points

Depending on the configuration the points can have different meanings:

How to use the candle-plots drawing option

There are six predefined candle-plot representations:

Of course "CANDLEY" works as well. X shows vertical candles, Y shows horizontal candles

The option "CANDLE" is equivalent to "CANDLE1X" or "CANDLEX".

The option "CANDLEY" is equivalent to "CANDLEY1"

There is no difference between options "CANDLE1X" and "CANDLEX1".

Instead of "X" or "Y" one can use "V" or "H"

The following picture shows how the six predefined representations look.

pict1_THistPainter_017.png

Instead of using the predefined representations, the candle parameters can be changed individually. In that case the option has the following form:

CANDLEX(<option-string>)

or

CANDLEY(<option-string>).

All zeros at the beginning of option-string can be omitted.

option-string consists six values, defined as follow:

"CANDLEX(pawMmb)"

Where:

The values on the left of option-string are in the middle of the candle, the values on the right of option-string are in the outer part of the candle.

Example 1

Box and improved whisker, no mean, no median, no anchor no outliers

h1->Draw("CANDLEX(2001)");

Example 2

A Candle-definition like "CANDLEX2" (New standard candle with better whisker definition + outliers)

h1->Draw("CANDLEX(112111)");

Example 3

The following example shows how several candle plots can be super-imposed using the option SAME. Note that the bar-width and bar-offset are active on candle plots. Also the color, the line width, the size of the points and so on can be changed by the standard attribute setting methods such as SetLineColor() SetLineWidth().

void candleplot() {
TRandom *randnum = new TRandom();
TDatime *dateBegin = new TDatime(2010,1,1,0,0,0);
TDatime *dateEnd = new TDatime(2011,1,1,0,0,0);
TH2I *h1 = new TH2I("h1","Machine A + B",12,dateBegin->Convert(),dateEnd->Convert(),1000,0,1000);
TH2I *h2 = new TH2I("h2","Machine B",12,dateBegin->Convert(),dateEnd->Convert(),1000,0,1000);
h1->GetXaxis()->SetTimeFormat("%m/%y");
h1->GetXaxis()->SetTitle("Date [month/year]");
float Rand;
for (int i = dateBegin->Convert(); i < dateEnd->Convert(); i+=86400*30) {
for (int j = 0; j < 1000; j++) {
Rand = randnum->Gaus(500+sin(i/10000000.)*100,50); h1->Fill(i,Rand);
Rand = randnum->Gaus(500+sin(i/11000000.)*100,70); h2->Fill(i,Rand);
}
}
h1->SetBarWidth(0.4);
h1->SetBarOffset(-0.25);
h2->SetBarWidth(0.4);
h2->SetBarOffset(0.25);
h2->SetLineColor(kRed);
TCanvas *c1 = new TCanvas();
h1->Draw("candle2");
h2->Draw("candle3 same");
gPad->BuildLegend(0.6,0.7,0.7,0.8);
}
pict1_THistPainter_018.png

The VIOLIN option

A violin plot is a candle plot that also encodes the pdf information at each point.

Quartiles and mean are also represented at each point, with a marker and two lines.

In this implementation a TH2 is considered as a collection of TH1 along X (option VIOLIN or VIOLINX) or Y (option VIOLINY).

A solid fill style is recommended for this plot (as opposed to a hollow or hashed style).

{
TCanvas *c1 = new TCanvas("c1","c1",600,400);
Int_t nx(6), ny(40);
Double_t xmin(0.0), xmax(+6.0), ymin(0.0), ymax(+4.0);
TH2F* hviolin = new TH2F("hviolin", "Option VIOLIN example", nx, xmin, xmax, ny, ymin, ymax);
TF1 f1("f1", "gaus", +0,0 +4.0);
for (Int_t iBin=1; iBin<hviolin->GetNbinsX(); ++iBin) {
Double_t xc = hviolin->GetXaxis()->GetBinCenter(iBin);
f1.SetParameters(1, 2.0+TMath::Sin(1.0+xc), 0.2+0.1*(xc-xmin)/xmax);
for(Int_t i=0; i<10000; ++i){
x = xc;
y = f1.GetRandom();
hviolin->Fill(x, y);
}
}
hviolin->SetFillColor(kGray);
hviolin->SetMarkerStyle(20);
hviolin->SetMarkerSize(0.5);
hviolin->Draw("VIOLIN");
c1->Update();
return c1;
}
pict1_THistPainter_019.png

The TEXT and TEXTnn Option

For each bin the content is printed. The text attributes are:

By default the format g is used. This format can be redefined by calling gStyle->SetPaintTextFormat().

It is also possible to use TEXTnn in order to draw the text with the angle nn (0 < nn < 90).

For 2D histograms the text is plotted in the center of each non empty cells. It is possible to plot empty cells by calling gStyle->SetHistMinimumZero(). For 1D histogram the text is plotted at a y position equal to the bin content.

For 2D histograms when the option "E" (errors) is combined with the option text ("TEXTE"), the error for each bin is also printed.

{
TCanvas *c01 = new TCanvas("c01","c01",700,400);
c01->Divide(2,1);
TH1F *htext1 = new TH1F("htext1","Option TEXT on 1D histograms ",10,-4,4);
TH2F *htext2 = new TH2F("htext2","Option TEXT on 2D histograms ",10,-4,4,10,-20,20);
Float_t px, py;
for (Int_t i = 0; i < 25000; i++) {
gRandom->Rannor(px,py);
htext1->Fill(px,0.1);
htext2->Fill(px,5*py,0.1);
}
htext2->SetMarkerSize(1.8);
c01->cd(1);
htext2->Draw("TEXT45");
c01->cd(2);
htext1->Draw();
htext1->Draw("HIST TEXT0 SAME");
return c01;
}
pict1_THistPainter_020.png
Since
ROOT version 6.07/07: In case several histograms are drawn on top ot each other (using option SAME), the text can be shifted using SetBarOffset(). It specifies an offset for the text position in each cell, in percentage of the bin width.
{
TCanvas *c03 = new TCanvas("c03","c03",700,400);
TH2F *htext3 = new TH2F("htext3","Several 2D histograms drawn with option TEXT",10,-4,4,10,-20,20);
TH2F *htext4 = new TH2F("htext4","htext4",10,-4,4,10,-20,20);
TH2F *htext5 = new TH2F("htext5","htext5",10,-4,4,10,-20,20);
Float_t px, py;
for (Int_t i = 0; i < 25000; i++) {
gRandom->Rannor(px,py);
htext3->Fill(4*px,20*py,0.1);
htext4->Fill(4*px,20*py,0.5);
htext5->Fill(4*px,20*py,1.0);
}
//gStyle->SetPaintTextFormat("4.1f m");
htext4->SetMarkerSize(1.8);
htext5->SetMarkerSize(1.8);
htext5->SetMarkerColor(kRed);
htext3->Draw("COL");
htext4->SetBarOffset(0.2);
htext4->Draw("TEXT SAME");
htext5->SetBarOffset(-0.2);
htext5->Draw("TEXT SAME");
return c03;
}
pict1_THistPainter_021.png

In the case of profile histograms it is possible to print the number of entries instead of the bin content. It is enough to combine the option "E" (for entries) with the option "TEXT".

{
TCanvas *c02 = new TCanvas("c02","c02",700,400);
c02->Divide(2,1);
TProfile *profile = new TProfile("profile","profile",10,0,10);
profile->SetMarkerSize(2.2);
profile->Fill(0.5,1);
profile->Fill(1.5,2);
profile->Fill(2.5,3);
profile->Fill(3.5,4);
profile->Fill(4.5,5);
profile->Fill(5.5,5);
profile->Fill(6.5,4);
profile->Fill(7.5,3);
profile->Fill(8.5,2);
profile->Fill(9.5,1);
c02->cd(1); profile->Draw("HIST TEXT0");
c02->cd(2); profile->Draw("HIST TEXT0E");
return c02;
}
pict1_THistPainter_022.png

The CONTour options

The following contour options are supported:

Option Description
"CONT" Draw a contour plot (same as CONT0).
"CONT0" Draw a contour plot using surface colors to distinguish contours.
"CONT1" Draw a contour plot using the line colors to distinguish contours.
"CONT2" Draw a contour plot using the line styles to distinguish contours.
"CONT3" Draw a contour plot solid lines for all contours.
"CONT4" Draw a contour plot using surface colors (SURF option at theta = 0).
"CONT5" Draw a contour plot using Delaunay triangles.

The following example shows a 2D histogram plotted with the option CONTZ. The option CONT draws a contour plot using surface colors to distinguish contours. Combined with the option CONT (or CONT0), the option Z allows to display the color palette defined by gStyle->SetPalette().

{
TCanvas *c1 = new TCanvas("c1","c1",600,400);
TH2F *hcontz = new TH2F("hcontz","Option CONTZ example ",40,-4,4,40,-20,20);
Float_t px, py;
for (Int_t i = 0; i < 25000; i++) {
gRandom->Rannor(px,py);
hcontz->Fill(px-1,5*py);
hcontz->Fill(2+0.5*px,2*py-10.,0.1);
}
hcontz->Draw("CONTZ");
return c1;
}
pict1_THistPainter_023.png

The following example shows a 2D histogram plotted with the option CONT1Z. The option CONT1 draws a contour plot using the line colors to distinguish contours. Combined with the option CONT1, the option Z allows to display the color palette defined by gStyle->SetPalette().

{
TCanvas *c1 = new TCanvas("c1","c1",600,400);
TH2F *hcont1 = new TH2F("hcont1","Option CONT1Z example ",40,-4,4,40,-20,20);
Float_t px, py;
for (Int_t i = 0; i < 25000; i++) {
gRandom->Rannor(px,py);
hcont1->Fill(px-1,5*py);
hcont1->Fill(2+0.5*px,2*py-10.,0.1);
}
hcont1->Draw("CONT1Z");
return c1;
}
pict1_THistPainter_024.png

The following example shows a 2D histogram plotted with the option CONT2. The option CONT2 draws a contour plot using the line styles to distinguish contours.

{
TCanvas *c1 = new TCanvas("c1","c1",600,400);
TH2F *hcont2 = new TH2F("hcont2","Option CONT2 example ",40,-4,4,40,-20,20);
Float_t px, py;
for (Int_t i = 0; i < 25000; i++) {
gRandom->Rannor(px,py);
hcont2->Fill(px-1,5*py);
hcont2->Fill(2+0.5*px,2*py-10.,0.1);
}
hcont2->Draw("CONT2");
return c1;
}
pict1_THistPainter_025.png

The following example shows a 2D histogram plotted with the option CONT3. The option CONT3 draws contour plot solid lines for all contours.

{
TCanvas *c1 = new TCanvas("c1","c1",600,400);
TH2F *hcont3 = new TH2F("hcont3","Option CONT3 example ",40,-4,4,40,-20,20);
Float_t px, py;
for (Int_t i = 0; i < 25000; i++) {
gRandom->Rannor(px,py);
hcont3->Fill(px-1,5*py);
hcont3->Fill(2+0.5*px,2*py-10.,0.1);
}
hcont3->Draw("CONT3");
return c1;
}
pict1_THistPainter_026.png

The following example shows a 2D histogram plotted with the option CONT4. The option CONT4 draws a contour plot using surface colors to distinguish contours (SURF option at theta = 0). Combined with the option CONT (or CONT0), the option Z allows to display the color palette defined by gStyle->SetPalette().

{
TCanvas *c1 = new TCanvas("c1","c1",600,400);
TH2F *hcont4 = new TH2F("hcont4","Option CONT4Z example ",40,-4,4,40,-20,20);
Float_t px, py;
for (Int_t i = 0; i < 25000; i++) {
gRandom->Rannor(px,py);
hcont4->Fill(px-1,5*py);
hcont4->Fill(2+0.5*px,2*py-10.,0.1);
}
hcont4->Draw("CONT4Z");
return c1;
}
pict1_THistPainter_027.png

The default number of contour levels is 20 equidistant levels and can be changed with TH1::SetContour() or TStyle::SetNumberContours().

The LIST option

When option LIST is specified together with option CONT, the points used to draw the contours are saved in TGraph objects:

h->Draw("CONT LIST");
gPad->Update();

The contour are saved in TGraph objects once the pad is painted. Therefore to use this functionality in a macro, gPad->Update() should be performed after the histogram drawing. Once the list is built, the contours are accessible in the following way:

TObjArray *contours = gROOT->GetListOfSpecials()->FindObject("contours")
Int_t ncontours     = contours->GetSize();
TList *list         = (TList*)contours->At(i);

Where i is a contour number, and list contains a list of TGraph objects. For one given contour, more than one disjoint polyline may be generated. The number of TGraphs per contour is given by:

list->GetSize();

To access the first graph in the list one should do:

TGraph *gr1 = (TGraph*)list->First();

The following example (ContourList.C) shows how to use this functionality.

Double_t SawTooth(Double_t x, Double_t WaveLen);
TCanvas *ContourList(){
const Double_t PI = TMath::Pi();
TCanvas* c = new TCanvas("c","Contour List",0,0,600,600);
c->SetRightMargin(0.15);
c->SetTopMargin(0.15);
Int_t i, j;
Int_t nZsamples = 80;
Int_t nPhiSamples = 80;
Double_t HofZwavelength = 4.0; // 4 meters
Double_t dZ = HofZwavelength/(Double_t)(nZsamples - 1);
Double_t dPhi = 2*PI/(Double_t)(nPhiSamples - 1);
TArrayD z(nZsamples);
TArrayD HofZ(nZsamples);
TArrayD phi(nPhiSamples);
TArrayD FofPhi(nPhiSamples);
// Discretized Z and Phi Values
for ( i = 0; i < nZsamples; i++) {
z[i] = (i)*dZ - HofZwavelength/2.0;
HofZ[i] = SawTooth(z[i], HofZwavelength);
}
for(Int_t i=0; i < nPhiSamples; i++){
phi[i] = (i)*dPhi;
FofPhi[i] = sin(phi[i]);
}
// Create Histogram
TH2D *HistStreamFn = new TH2D("HstreamFn",
"#splitline{Histogram with negative and positive contents. Six contours are defined.}{It is plotted with options CONT LIST to retrieve the contours points in TGraphs}",
nZsamples, z[0], z[nZsamples-1], nPhiSamples, phi[0], phi[nPhiSamples-1]);
// Load Histogram Data
for (Int_t i = 0; i < nZsamples; i++) {
for(Int_t j = 0; j < nPhiSamples; j++){
HistStreamFn->SetBinContent(i,j, HofZ[i]*FofPhi[j]);
}
}
gStyle->SetTitleW(0.99);
gStyle->SetTitleH(0.08);
Double_t contours[6];
contours[0] = -0.7;
contours[1] = -0.5;
contours[2] = -0.1;
contours[3] = 0.1;
contours[4] = 0.4;
contours[5] = 0.8;
HistStreamFn->SetContour(6, contours);
// Draw contours as filled regions, and Save points
HistStreamFn->Draw("CONT Z LIST");
c->Update(); // Needed to force the plotting and retrieve the contours in TGraphs
// Get Contours
TObjArray *conts = (TObjArray*)gROOT->GetListOfSpecials()->FindObject("contours");
TList* contLevel = NULL;
TGraph* curv = NULL;
TGraph* gc = NULL;
Int_t nGraphs = 0;
Int_t TotalConts = 0;
if (conts == NULL){
printf("*** No Contours Were Extracted!\n");
TotalConts = 0;
return 0;
} else {
TotalConts = conts->GetSize();
}
printf("TotalConts = %d\n", TotalConts);
for(i = 0; i < TotalConts; i++){
contLevel = (TList*)conts->At(i);
printf("Contour %d has %d Graphs\n", i, contLevel->GetSize());
nGraphs += contLevel->GetSize();
}
nGraphs = 0;
TCanvas* c1 = new TCanvas("c1","Contour List",610,0,600,600);
c1->SetTopMargin(0.15);
TH2F *hr = new TH2F("hr",
"#splitline{Negative contours are returned first (highest to lowest). Positive contours are returned from}{lowest to highest. On this plot Negative contours are drawn in red and positive contours in blue.}",
2, -2, 2, 2, 0, 6.5);
hr->Draw();
Double_t xval0, yval0, zval0;
l.SetTextSize(0.03);
char val[20];
for(i = 0; i < TotalConts; i++){
contLevel = (TList*)conts->At(i);
if (i<3) zval0 = contours[2-i];
else zval0 = contours[i];
printf("Z-Level Passed in as: Z = %f\n", zval0);
// Get first graph from list on curves on this level
curv = (TGraph*)contLevel->First();
for(j = 0; j < contLevel->GetSize(); j++){
curv->GetPoint(0, xval0, yval0);
if (zval0<0) curv->SetLineColor(kRed);
if (zval0>0) curv->SetLineColor(kBlue);
nGraphs ++;
printf("\tGraph: %d -- %d Elements\n", nGraphs,curv->GetN());
// Draw clones of the graphs to avoid deletions in case the 1st
// pad is redrawn.
gc = (TGraph*)curv->Clone();
gc->Draw("C");
sprintf(val,"%g",zval0);
l.DrawLatex(xval0,yval0,val);
curv = (TGraph*)contLevel->After(curv); // Get Next graph
}
}
c1->Update();
printf("\n\n\tExtracted %d Contours and %d Graphs \n", TotalConts, nGraphs );
return c1;
}
Double_t SawTooth(Double_t x, Double_t WaveLen){
// This function is specific to a sawtooth function with period
// WaveLen, symmetric about x = 0, and with amplitude = 1. Each segment
// is 1/4 of the wavelength.
//
// |
// /\ |
// / \ |
// / \ |
// / \
// /--------\--------/------------
// |\ /
// | \ /
// | \ /
// | \/
//
if ( (x < -WaveLen/2) || (x > WaveLen/2)) y = -99999999; // Error X out of bounds
if (x <= -WaveLen/4) {
y = x + 2.0;
} else if ((x > -WaveLen/4) && (x <= WaveLen/4)) {
y = -x ;
} else if (( x > WaveLen/4) && (x <= WaveLen/2)) {
y = x - 2.0;
}
return y;
}
pict1_THistPainter_028.png

The following options select the CONT4 option and are useful for sky maps or exposure maps (earth.C).

Option Description
"AITOFF" Draw a contour via an AITOFF projection.
"MERCATOR" Draw a contour via an Mercator projection.
"SINUSOIDAL" Draw a contour via an Sinusoidal projection.
"PARABOLIC" Draw a contour via an Parabolic projection.
TCanvas *earth(){
TCanvas *c1 = new TCanvas("c1","earth_projections",700,700);
c1->Divide(2,2);
TH2F *ha = new TH2F("ha","Aitoff", 180, -180, 180, 179, -89.5, 89.5);
TH2F *hm = new TH2F("hm","Mercator", 180, -180, 180, 161, -80.5, 80.5);
TH2F *hs = new TH2F("hs","Sinusoidal",180, -180, 180, 181, -90.5, 90.5);
TH2F *hp = new TH2F("hp","Parabolic", 180, -180, 180, 181, -90.5, 90.5);
TString dat = gROOT->GetTutorialsDir();
dat.Append("/graphics/earth.dat");
dat.ReplaceAll("/./","/");
ifstream in;
in.open(dat.Data());
while (1) {
in >> x >> y;
if (!in.good()) break;
ha->Fill(x,y, 1);
hm->Fill(x,y, 1);
hs->Fill(x,y, 1);
hp->Fill(x,y, 1);
}
in.close();
c1->cd(1); ha->Draw("aitoff");
c1->cd(2); hm->Draw("mercator");
c1->cd(3); hs->Draw("sinusoidal");
c1->cd(4); hp->Draw("parabolic");
return c1;
}
pict1_THistPainter_029.png

The LEGO options

In a lego plot the cell contents are drawn as 3-d boxes. The height of each box is proportional to the cell content. The lego aspect is control with the following options:

Option Description
"LEGO" Draw a lego plot using the hidden lines removal technique.
"LEGO1" Draw a lego plot using the hidden surface removal technique.
"LEGO2" Draw a lego plot using colors to show the cell contents.
"LEGO3" Draw a lego plot with hidden surface removal, like LEGO1 but the border lines of each lego-bar are not drawn.
"LEGO4" Draw a lego plot with hidden surface removal, like LEGO1 but without the shadow effect on each lego-bar.
"0" When used with any LEGO option, the empty bins are not drawn.

See the limitations with the option "SAME".

Line attributes can be used in lego plots to change the edges' style.

The following example shows a 2D histogram plotted with the option LEGO. The option LEGO draws a lego plot using the hidden lines removal technique.

{
TCanvas *c2 = new TCanvas("c2","c2",600,400);
TH2F *hlego = new TH2F("hlego","Option LEGO example ",40,-4,4,40,-20,20);
Float_t px, py;
for (Int_t i = 0; i < 25000; i++) {
gRandom->Rannor(px,py);
hlego->Fill(px-1,5*py);
hlego->Fill(2+0.5*px,2*py-10.,0.1);
}
hlego->Draw("LEGO");
return c2;
}
pict1_THistPainter_030.png

The following example shows a 2D histogram plotted with the option LEGO1. The option LEGO1 draws a lego plot using the hidden surface removal technique. Combined with any LEGOn option, the option 0 allows to not drawn the empty bins.

{
TCanvas *c2 = new TCanvas("c2","c2",600,400);
TH2F *hlego1 = new TH2F("hlego1","Option LEGO1 example (with option 0) ",40,-4,4,40,-20,20);
Float_t px, py;
for (Int_t i = 0; i < 25000; i++) {
gRandom->Rannor(px,py);
hlego1->Fill(px-1,5*py);
hlego1->Fill(2+0.5*px,2*py-10.,0.1);
}
hlego1->Draw("LEGO1 0");
return c2;
}
pict1_THistPainter_031.png

The following example shows a 2D histogram plotted with the option LEGO3. Like the option LEGO1, the option LEGO3 draws a lego plot using the hidden surface removal technique but doesn't draw the border lines of each individual lego-bar. This is very useful for histograms having many bins. With such histograms the option LEGO1 gives a black image because of the border lines. This option also works with stacked legos.

{
TCanvas *c2 = new TCanvas("c2","c2",600,400);
TH2F *hlego3 = new TH2F("hlego3","Option LEGO3 example",40,-4,4,40,-20,20);
Float_t px, py;
for (Int_t i = 0; i < 25000; i++) {
gRandom->Rannor(px,py);
hlego3->Fill(px-1,5*py);
hlego3->Fill(2+0.5*px,2*py-10.,0.1);
}
hlego3->SetFillColor(kRed);
hlego3->Draw("LEGO3");
return c2;
}

The following example shows a 2D histogram plotted with the option LEGO2. The option LEGO2 draws a lego plot using colors to show the cell contents. Combined with the option LEGO2, the option Z allows to display the color palette defined by gStyle->SetPalette().

{
TCanvas *c2 = new TCanvas("c2","c2",600,400);
TH2F *hlego2 = new TH2F("hlego2","Option LEGO2Z example ",40,-4,4,40,-20,20);
Float_t px, py;
for (Int_t i = 0; i < 25000; i++) {
gRandom->Rannor(px,py);
hlego2->Fill(px-1,5*py);
hlego2->Fill(2+0.5*px,2*py-10.,0.1);
}
hlego2->Draw("LEGO2Z");
return c2;
}
pict1_THistPainter_033.png

The "SURFace" options

In a surface plot, cell contents are represented as a mesh. The height of the mesh is proportional to the cell content.

Option Description
"SURF" Draw a surface plot using the hidden line removal technique.
"SURF1" Draw a surface plot using the hidden surface removal technique.
"SURF2" Draw a surface plot using colors to show the cell contents.
"SURF3" Same as SURF with an additional filled contour plot on top.
"SURF4" Draw a surface using the Gouraud shading technique.
"SURF5" Used with one of the options CYL, PSR and CYL this option allows to draw a a filled contour plot.
"SURF6" This option should not be used directly. It is used internally when the CONT is used with option the option SAME on a 3D plot.
"SURF7" Same as SURF2 with an additional line contour plot on top.

See the limitations with the option "SAME".

The following example shows a 2D histogram plotted with the option SURF. The option SURF draws a lego plot using the hidden lines removal technique.

{
TCanvas *c2 = new TCanvas("c2","c2",600,400);
TH2F *hsurf = new TH2F("hsurf","Option SURF example ",30,-4,4,30,-20,20);
Float_t px, py;
for (Int_t i = 0; i < 25000; i++) {
gRandom->Rannor(px,py);
hsurf->Fill(px-1,5*py);
hsurf->Fill(2+0.5*px,2*py-10.,0.1);
}
hsurf->Draw("SURF");
return c2;
}
pict1_THistPainter_034.png

The following example shows a 2D histogram plotted with the option SURF1. The option SURF1 draws a surface plot using the hidden surface removal technique. Combined with the option SURF1, the option Z allows to display the color palette defined by gStyle->SetPalette().

{
TCanvas *c2 = new TCanvas("c2","c2",600,400);
TH2F *hsurf1 = new TH2F("hsurf1","Option SURF1 example ",30,-4,4,30,-20,20);
Float_t px, py;
for (Int_t i = 0; i < 25000; i++) {
gRandom->Rannor(px,py);
hsurf1->Fill(px-1,5*py);
hsurf1->Fill(2+0.5*px,2*py-10.,0.1);
}
hsurf1->Draw("SURF1");
return c2;
}
pict1_THistPainter_035.png

The following example shows a 2D histogram plotted with the option SURF2. The option SURF2 draws a surface plot using colors to show the cell contents. Combined with the option SURF2, the option Z allows to display the color palette defined by gStyle->SetPalette().

{
TCanvas *c2 = new TCanvas("c2","c2",600,400);
TH2F *hsurf2 = new TH2F("hsurf2","Option SURF2 example ",30,-4,4,30,-20,20);
Float_t px, py;
for (Int_t i = 0; i < 25000; i++) {
gRandom->Rannor(px,py);
hsurf2->Fill(px-1,5*py);
hsurf2->Fill(2+0.5*px,2*py-10.,0.1);
}
hsurf2->Draw("SURF2");
return c2;
}
pict1_THistPainter_036.png

The following example shows a 2D histogram plotted with the option SURF3. The option SURF3 draws a surface plot using the hidden line removal technique with, in addition, a filled contour view drawn on the top. Combined with the option SURF3, the option Z allows to display the color palette defined by gStyle->SetPalette().

{
TCanvas *c2 = new TCanvas("c2","c2",600,400);
TH2F *hsurf3 = new TH2F("hsurf3","Option SURF3 example ",30,-4,4,30,-20,20);
Float_t px, py;
for (Int_t i = 0; i < 25000; i++) {
gRandom->Rannor(px,py);
hsurf3->Fill(px-1,5*py);
hsurf3->Fill(2+0.5*px,2*py-10.,0.1);
}
hsurf3->Draw("SURF3");
return c2;
}
pict1_THistPainter_037.png

The following example shows a 2D histogram plotted with the option SURF4. The option SURF4 draws a surface using the Gouraud shading technique.

{
TCanvas *c2 = new TCanvas("c2","c2",600,400);
TH2F *hsurf4 = new TH2F("hsurf4","Option SURF4 example ",30,-4,4,30,-20,20);
Float_t px, py;
for (Int_t i = 0; i < 25000; i++) {
gRandom->Rannor(px,py);
hsurf4->Fill(px-1,5*py);
hsurf4->Fill(2+0.5*px,2*py-10.,0.1);
}
hsurf4->Draw("SURF4");
return c2;
}
pict1_THistPainter_038.png

The following example shows a 2D histogram plotted with the option SURF5 CYL. Combined with the option SURF5, the option Z allows to display the color palette defined by gStyle->SetPalette().

{
TCanvas *c2 = new TCanvas("c2","c2",600,400);
TH2F *hsurf5 = new TH2F("hsurf4","Option SURF5 example ",30,-4,4,30,-20,20);
Float_t px, py;
for (Int_t i = 0; i < 25000; i++) {
gRandom->Rannor(px,py);
hsurf5->Fill(px-1,5*py);
hsurf5->Fill(2+0.5*px,2*py-10.,0.1);
}
hsurf5->Draw("SURF5 CYL");
return c2;
}
pict1_THistPainter_039.png

The following example shows a 2D histogram plotted with the option SURF7. The option SURF7 draws a surface plot using the hidden surfaces removal technique with, in addition, a line contour view drawn on the top. Combined with the option SURF7, the option Z allows to display the color palette defined by gStyle->SetPalette().

{
TCanvas *c2 = new TCanvas("c2","c2",600,400);
TH2F *hsurf7 = new TH2F("hsurf3","Option SURF7 example ",30,-4,4,30,-20,20);
Float_t px, py;
for (Int_t i = 0; i < 25000; i++) {
gRandom->Rannor(px,py);
hsurf7->Fill(px-1,5*py);
hsurf7->Fill(2+0.5*px,2*py-10.,0.1);
}
hsurf7->Draw("SURF7");
return c2;
}
pict1_THistPainter_040.png

As shown in the following example, when a contour plot is painted on top of a surface plot using the option SAME, the contours appear in 3D on the surface.

{
TCanvas *c20=new TCanvas("c20","c20",600,400);
int NBins = 50;
double d = 2;
TH2F* hsc = new TH2F("hsc", "Surface and contour with option SAME ", NBins, -d, d, NBins, -d, d);
for (int bx = 1; bx <= NBins; ++bx) {
for (int by = 1; by <= NBins; ++by) {
double x = hsc->GetXaxis()->GetBinCenter(bx);
double y = hsc->GetYaxis()->GetBinCenter(by);
hsc->SetBinContent(bx, by, exp(-x*x)*exp(-y*y));
}
}
hsc->Draw("surf2");
hsc->Draw("CONT1 SAME");
return c20;
}
pict1_THistPainter_041.png

Cylindrical, Polar, Spherical and PseudoRapidity/Phi options

Legos and surfaces plots are represented by default in Cartesian coordinates. Combined with any LEGOn or SURFn options the following options allow to draw a lego or a surface in other coordinates systems.

Option Description
"CYL" Use Cylindrical coordinates. The X coordinate is mapped on the angle and the Y coordinate on the cylinder length.
"POL" Use Polar coordinates. The X coordinate is mapped on the angle and the Y coordinate on the radius.
"SPH" Use Spherical coordinates. The X coordinate is mapped on the latitude and the Y coordinate on the longitude.
"PSR" Use PseudoRapidity/Phi coordinates. The X coordinate is mapped on Phi.

WARNING: Axis are not drawn with these options.

The following example shows the same histogram as a lego plot is the four different coordinates systems.

{
TCanvas *c3 = new TCanvas("c3","c3",600,400);
c3->Divide(2,2);
TH2F *hlcc = new TH2F("hlcc","Cylindrical coordinates",20,-4,4,20,-20,20);
Float_t px, py;
for (Int_t i = 0; i < 25000; i++) {
gRandom->Rannor(px,py);
hlcc->Fill(px-1,5*py);
hlcc->Fill(2+0.5*px,2*py-10.,0.1);
}
c3->cd(1); hlcc->Draw("LEGO1 CYL");
c3->cd(2); TH2F *hlpc = (TH2F*) hlcc->DrawClone("LEGO1 POL");
hlpc->SetTitle("Polar coordinates");
c3->cd(3); TH2F *hlsc = (TH2F*) hlcc->DrawClone("LEGO1 SPH");
hlsc->SetTitle("Spherical coordinates");
c3->cd(4); TH2F *hlprpc = (TH2F*) hlcc->DrawClone("LEGO1 PSR");
hlprpc->SetTitle("PseudoRapidity/Phi coordinates");
return c3;
}
pict1_THistPainter_042.png

The following example shows the same histogram as a surface plot is the four different coordinates systems.

{
TCanvas *c4 = new TCanvas("c4","c4",600,400);
c4->Divide(2,2);
TH2F *hscc = new TH2F("hscc","Cylindrical coordinates",20,-4,4,20,-20,20);
Float_t px, py;
for (Int_t i = 0; i < 25000; i++) {
gRandom->Rannor(px,py);
hscc->Fill(px-1,5*py);
hscc->Fill(2+0.5*px,2*py-10.,0.1);
}
c4->cd(1); hscc->Draw("SURF1 CYL");
c4->cd(2); TH2F *hspc = (TH2F*) hscc->DrawClone("SURF1 POL");
hspc->SetTitle("Polar coordinates");
c4->cd(3); TH2F *hssc = (TH2F*) hscc->DrawClone("SURF1 SPH");
hssc->SetTitle("Spherical coordinates");
c4->cd(4); TH2F *hsprpc = (TH2F*) hscc->DrawClone("SURF1 PSR");
hsprpc->SetTitle("PseudoRapidity/Phi coordinates");
return c4;
}
pict1_THistPainter_043.png

Base line for bar-charts and lego plots

By default the base line used to draw the boxes for bar-charts and lego plots is the histogram minimum. It is possible to force this base line to be 0 with the command:

gStyle->SetHistMinimumZero();
{
TCanvas *c5 = new TCanvas("c5","c5",700,400);
c5->Divide(2,1);
TH1F *hz1 = new TH1F("hz1","Bar-chart drawn from 0",20,-3,3);
TH2F *hz2 = new TH2F("hz2","Lego plot drawn from 0",20,-3,3,20,-3,3);
Int_t i;
for (i=0;i<10000;i++) {
x = gRandom->Gaus(0,1);
y = gRandom->Gaus(0,1);
if (x>0) {
hz1->Fill(x,1);
hz2->Fill(x,y,1);
} else {
hz1->Fill(x,-1);
hz2->Fill(x,y,-2);
}
}
c5->cd(1); hz1->Draw("bar2");
c5->cd(2); hz2->Draw("lego1");
return c5;
}
pict1_THistPainter_044.png

This option also works for horizontal plots. The example given in the section "The bar chart option" appears as follow:

{
int i;
const Int_t nx = 8;
string os_X[nx] = {"8","32","128","512","2048","8192","32768","131072"};
float d_35_0[nx] = {0.75, -3.30, -0.92, 0.10, 0.08, -1.69, -1.29, -2.37};
float d_35_1[nx] = {1.01, -3.02, -0.65, 0.37, 0.34, -1.42, -1.02, -2.10};
TCanvas *cbh = new TCanvas("cbh","cbh",400,600);
cbh->SetGrid();
TH1F *h1bh = new TH1F("h1bh","Option HBAR centered on 0",nx,0,nx);
h1bh->SetFillColor(4);
h1bh->SetBarWidth(0.4);
h1bh->SetBarOffset(0.1);
h1bh->SetStats(0);
h1bh->SetMinimum(-5);
h1bh->SetMaximum(5);
for (i=1; i<=nx; i++) {
h1bh->Fill(os_X[i-1].c_str(), d_35_0[i-1]);
h1bh->GetXaxis()->SetBinLabel(i,os_X[i-1].c_str());
}
h1bh->Draw("hbar");
TH1F *h2bh = new TH1F("h2bh","h2bh",nx,0,nx);
h2bh->SetFillColor(38);
h2bh->SetBarWidth(0.4);
h2bh->SetBarOffset(0.5);
h2bh->SetStats(0);
for (i=1;i<=nx;i++) h2bh->Fill(os_X[i-1].c_str(), d_35_1[i-1]);
h2bh->Draw("hbar same");
return cbh;
}
pict1_THistPainter_045.png

TH2Poly Drawing

The following options are supported:

Option Description
"SCAT" Draw a scatter plot (default).
"COL" Draw a color plot. All the none empty bins are painted. Empty bins are not painted.
"COLZ" Same as "COL". In addition the color palette is also drawn.
"TEXT" Draw bin contents as text (format set via gStyle->SetPaintTextFormat).
"TEXTN" Draw bin names as text.
"TEXTnn" Draw bin contents as text at angle nn (0 < nn < 90).
"L" Draw the bins boundaries as lines. The lines attributes are the TGraphs ones.
"P" Draw the bins boundaries as markers. The markers attributes are the TGraphs ones.
"F" Draw the bins boundaries as filled polygons. The filled polygons attributes are the TGraphs ones.

TH2Poly can be drawn as a color plot (option COL). TH2Poly bins can have any shapes. The bins are defined as graphs. The following macro is a very simple example showing how to book a TH2Poly and draw it.

{
TCanvas *ch2p1 = new TCanvas("ch2p1","ch2p1",600,400);
TH2Poly *h2p = new TH2Poly();
h2p->SetName("h2poly_name");
h2p->SetTitle("h2poly_title");
Double_t px1[] = {0, 5, 6};
Double_t py1[] = {0, 0, 5};
Double_t px2[] = {0, -1, -1, 0};
Double_t py2[] = {0, 0, -1, 3};
Double_t px3[] = {4, 3, 0, 1, 2.4};
Double_t py3[] = {4, 3.7, 1, 3.7, 2.5};
h2p->AddBin(3, px1, py1);
h2p->AddBin(4, px2, py2);
h2p->AddBin(5, px3, py3);
h2p->Fill(0.1, 0.01, 3);
h2p->Fill(-0.5, -0.5, 7);
h2p->Fill(-0.7, -0.5, 1);
h2p->Fill(1, 3, 1.5);
Double_t fx[] = {0.1, -0.5, -0.7, 1};
Double_t fy[] = {0.01, -0.5, -0.5, 3};
Double_t fw[] = {3, 1, 1, 1.5};
h2p->FillN(4, fx, fy, fw);
h2p->Draw("col");
return ch2p1;
}
pict1_THistPainter_046.png

Rectangular bins are a frequent case. The special version of the AddBin method allows to define them more easily like shown in the following example (th2polyBoxes.C).

TCanvas *th2polyBoxes() {
TCanvas *ch2p2 = new TCanvas("ch2p2","ch2p2",600,400);
TH2Poly *h2p = new TH2Poly();
h2p->SetName("Boxes");
h2p->SetTitle("Boxes");
Int_t i,j;
Int_t nx = 40;
Int_t ny = 40;
Double_t xval1,yval1,xval2,yval2;
Double_t dx=0.2, dy=0.1;
xval1 = 0.;
xval2 = dx;
for (i = 0; i<nx; i++) {
yval1 = 0.;
yval2 = dy;
for (j = 0; j<ny; j++) {
h2p->AddBin(xval1, yval1, xval2, yval2);
yval1 = yval2;
yval2 = yval2+yval2*dy;
}
xval1 = xval2;
xval2 = xval2+xval2*dx;
}
TRandom ran;
for (i = 0; i<300000; i++) {
h2p->Fill(50*ran.Gaus(2.,1), ran.Gaus(2.,1));
}
h2p->Draw("COLZ");
return ch2p2;
}
pict1_THistPainter_047.png

One TH2Poly bin can be a list of polygons. Such bins are defined by calling AddBin with a TMultiGraph. The following example shows a such case:

{
TCanvas *ch2p2 = new TCanvas("ch2p2","ch2p2",600,400);
Int_t i, bin;
const Int_t nx = 48;
const char *states [nx] = {
"alabama", "arizona", "arkansas", "california",
"colorado", "connecticut", "delaware", "florida",
"georgia", "idaho", "illinois", "indiana",
"iowa", "kansas", "kentucky", "louisiana",
"maine", "maryland", "massachusetts", "michigan",
"minnesota", "mississippi", "missouri", "montana",
"nebraska", "nevada", "new_hampshire", "new_jersey",
"new_mexico", "new_york", "north_carolina", "north_dakota",
"ohio", "oklahoma", "oregon", "pennsylvania",
"rhode_island", "south_carolina", "south_dakota", "tennessee",
"texas", "utah", "vermont", "virginia",
"washington", "west_virginia", "wisconsin", "wyoming"
};
Double_t pop[nx] = {
4708708, 6595778, 2889450, 36961664, 5024748, 3518288, 885122, 18537969,
9829211, 1545801, 12910409, 6423113, 3007856, 2818747, 4314113, 4492076,
1318301, 5699478, 6593587, 9969727, 5266214, 2951996, 5987580, 974989,
1796619, 2643085, 1324575, 8707739, 2009671, 19541453, 9380884, 646844,
11542645, 3687050, 3825657, 12604767, 1053209, 4561242, 812383, 6296254,
24782302, 2784572, 621760, 7882590, 6664195, 1819777, 5654774, 544270
};
Double_t lon1 = -130;
Double_t lon2 = -65;
Double_t lat1 = 24;
Double_t lat2 = 50;
TH2Poly *p = new TH2Poly("USA","USA Population",lon1,lon2,lat1,lat2);
TFile *f;
f = TFile::Open("http://root.cern.ch/files/usa.root");
TKey *key;
TIter nextkey(gDirectory->GetListOfKeys());
while ((key = (TKey*)nextkey())) {
TObject *obj = key->ReadObj();
if (obj->InheritsFrom("TMultiGraph")) {
mg = (TMultiGraph*)obj;
bin = p->AddBin(mg);
}
}
for (i=0; i<nx; i++) p->Fill(states[i], pop[i]);
p->Draw("COLZ L");
return ch2p2;
}
pict1_THistPainter_048.png

TH2Poly histograms can also be plotted using the GL interface using the option "GLLEGO".

The SPEC option

This option allows to use the TSpectrum2Painter tools. See the full documentation in TSpectrum2Painter::PaintSpectrum.

Option "Z" : Adding the color palette on the right side of the pad

When this option is specified, a color palette with an axis indicating the value of the corresponding color is drawn on the right side of the picture. In case, not enough space is left, one can increase the size of the right margin by calling TPad::SetRightMargin(). The attributes used to display the palette axis values are taken from the Z axis of the object. For example, to set the labels size on the palette axis do:

hist->GetZaxis()->SetLabelSize().

WARNING: The palette axis is always drawn vertically.

Setting the color palette

To change the color palette TStyle::SetPalette should be used, eg:

gStyle->SetPalette(ncolors,colors);

For example the option COL draws a 2D histogram with cells represented by a box filled with a color index which is a function of the cell content. If the cell content is N, the color index used will be the color number in colors[N], etc. If the maximum cell content is greater than ncolors, all cell contents are scaled to ncolors.

If ncolors <= 0, a default palette (see below) of 50 colors is defined. This palette is recommended for pads, labels ...

if ncolors == 1 && colors == 0, then a Pretty Palette with a Spectrum Violet->Red is created with 50 colors. That's the default rain bow palette.

Other pre-defined palettes with 255 colors are available when colors == 0. The following value of ncolors give access to:

if ncolors = 51 and colors=0, a Deep Sea palette is used.
if ncolors = 52 and colors=0, a Grey Scale palette is used.
if ncolors = 53 and colors=0, a Dark Body Radiator palette is used.
if ncolors = 54 and colors=0, a two-color hue palette palette is used.(dark blue through neutral gray to bright yellow)
if ncolors = 55 and colors=0, a Rain Bow palette is used.
if ncolors = 56 and colors=0, an inverted Dark Body Radiator palette is used.

If ncolors > 0 && colors == 0, the default palette is used with a maximum of ncolors.

The default palette defines:

The color numbers specified in the palette can be viewed by selecting the item colors in the VIEW menu of the canvas tool bar. The red, green, and blue components of a color can be changed thanks to TColor::SetRGB().

Drawing a sub-range of a 2D histogram; the [cutg] option

Using a TCutG object, it is possible to draw a sub-range of a 2D histogram. One must create a graphical cut (mouse or C++) and specify the name of the cut between [] in the Draw() option. For example (fit2a.C), with a TCutG named cutg, one can call:

myhist->Draw("surf1 [cutg]");

To invert the cut, it is enough to put a - in front of its name:

myhist->Draw("surf1 [-cutg]");

It is possible to apply several cuts (, means logical AND):

myhist->Draw("surf1 [cutg1,cutg2]");
#include "TF2.h"
#include "TH2.h"
#include "TCutG.h"
#include "TMath.h"
#include "TCanvas.h"
#include "TStyle.h"
Double_t g2(Double_t *x, Double_t *par) {
Double_t r1 = Double_t((x[0]-par[1])/par[2]);
Double_t r2 = Double_t((x[1]-par[3])/par[4]);
return par[0]*TMath::Exp(-0.5*(r1*r1+r2*r2));
}
Double_t fun2(Double_t *x, Double_t *par) {
Double_t *p1 = &par[0];
Double_t *p2 = &par[5];
Double_t *p3 = &par[10];
Double_t result = g2(x,p1) + g2(x,p2) + g2(x,p3);
return result;
}
TCanvas *fit2a() {
TCanvas *c = new TCanvas();
const Int_t npar = 15;
Double_t f2params[npar] = {100,-3,3,-3,3,160,0,0.8,0,0.9,40,4,0.7,4,0.7};
TF2 *f2 = new TF2("f2",fun2,-10,10,-10,10, npar);
f2->SetParameters(f2params);
//Create an histogram and fill it randomly with f2
TH2F *h2 = new TH2F("h2","From f2",40,-10,10,40,-10,10);
Int_t nentries = 100000;
h2->FillRandom("f2",nentries);
//Fit h2 with original function f2
Float_t ratio = 4*nentries/100000;
f2params[ 0] *= ratio;
f2params[ 5] *= ratio;
f2params[10] *= ratio;
f2->SetParameters(f2params);
h2->Fit("f2","N");
TCutG *cutg = new TCutG("cutg",5);
cutg->SetPoint(0,-7,-7);
cutg->SetPoint(1, 2,-7);
cutg->SetPoint(2, 2, 2);
cutg->SetPoint(3,-7, 2);
cutg->SetPoint(4,-7,-7);
h2->Draw("lego2 0");
h2->SetFillColor(38);
f2->SetNpx(80);
f2->SetNpy(80);
f2->Draw("surf1 same bb [cutg]");
return c;
}
pict1_THistPainter_049.png

Drawing options for 3D histograms

Option Description
"ISO" Draw a Gouraud shaded 3d iso surface through a 3d histogram. It paints one surface at the value computed as follow: SumOfWeights/(NbinsX*NbinsY*NbinsZ)
"BOX" Draw a for each cell with volume proportional to the content's absolute value.

By default, like 2D histograms, 3D histograms are drawn as scatter plots.

The following example shows a 3D histogram plotted as a scatter plot.

{
TCanvas *c06 = new TCanvas("c06","c06",600,400);
TH3F *h3scat = new TH3F("h3scat","Option SCAT (default) ",15,-2,2,15,-2,2,15,0,4);
for (Int_t i=0;i<10000;i++) {
gRandom->Rannor(x, y);
z = x*x + y*y;
h3scat->Fill(x,y,z);
}
h3scat->Draw();
return c06;
}
pict1_THistPainter_050.png

The following example shows a 3D histogram plotted with the option BOX.

{
TCanvas *c16 = new TCanvas("c16","c16",600,400);
TH3F *h3box = new TH3F("h3box","Option BOX",15,-2,2,15,-2,2,15,0,4);
for (Int_t i=0;i<10000;i++) {
gRandom->Rannor(x, y);
z = x*x + y*y;
h3box->Fill(x,y,z);
}
h3box->Draw("BOX");
return c16;
}
pict1_THistPainter_051.png

The following example shows a 3D histogram plotted with the option ISO.

{
TCanvas *c26 = new TCanvas("c26","c26",600,400);
TH3F *h3iso = new TH3F("h3iso","Option ISO",15,-2,2,15,-2,2,15,0,4);
for (Int_t i=0;i<10000;i++) {
gRandom->Rannor(x, y);
z = x*x + y*y;
h3iso->Fill(x,y,z);
}
h3iso->Draw("ISO");
return c26;
}
pict1_THistPainter_052.png

Drawing option for histograms' stacks

Stacks of histograms are managed with the THStack. A THStack is a collection of TH1 (or derived) objects. For painting only the THStack containing TH1 only or THStack containing TH2 only will be considered.

By default, histograms are shown stacked:

  1. The first histogram is paint.
  2. The the sum of the first and second, etc...

If the option NOSTACK is specified, the histograms are all paint in the same pad as if the option SAME had been specified. This allows to compute X and Y scales common to all the histograms, like TMultiGraph does for graphs.

If the option PADS is specified, the current pad/canvas is subdivided into a number of pads equal to the number of histograms and each histogram is paint into a separate pad.

The following example shows various types of stacks (hstack.C).

TCanvas *hstack() {
THStack *hs = new THStack("hs","Stacked 1D histograms");
//create three 1-d histograms
TH1F *h1st = new TH1F("h1st","test hstack",100,-4,4);
h1st->FillRandom("gaus",20000);
h1st->SetMarkerStyle(21);
hs->Add(h1st);
TH1F *h2st = new TH1F("h2st","test hstack",100,-4,4);
h2st->FillRandom("gaus",15000);
h2st->SetMarkerStyle(21);
hs->Add(h2st);
TH1F *h3st = new TH1F("h3st","test hstack",100,-4,4);
h3st->FillRandom("gaus",10000);
h3st->SetMarkerStyle(21);
hs->Add(h3st);
TCanvas *cst = new TCanvas("cst","stacked hists",10,10,700,700);
cst->Divide(2,2);
// in top left pad, draw the stack with defaults
cst->cd(1);
hs->Draw();
// in top right pad, draw the stack in non-stack mode
// and errors option
cst->cd(2);
gPad->SetGrid();
hs->Draw("nostack,e1p");
//in bottom left, draw in stack mode with "lego1" option
cst->cd(3);
gPad->SetFrameFillColor(17);
gPad->SetTheta(3.77);
gPad->SetPhi(2.9);
hs->Draw("lego1");
cst->cd(4);
//create two 2-D histograms and draw them in stack mode
gPad->SetFrameFillColor(17);
THStack *a = new THStack("a","Stacked 2D histograms");
TF2 *f1 = new TF2("f1",
"xygaus + xygaus(5) + xylandau(10)",-4,4,-4,4);
Double_t params1[] = {130,-1.4,1.8,1.5,1, 150,2,0.5,-2,0.5,
3600,-2,0.7,-3,0.3};
f1->SetParameters(params1);
TH2F *h2sta = new TH2F("h2sta","h2sta",20,-4,4,20,-4,4);
h2sta->SetFillColor(38);
h2sta->FillRandom("f1",4000);
TF2 *f2 = new TF2("f2","xygaus + xygaus(5)",-4,4,-4,4);
Double_t params2[] = {100,-1.4,1.9,1.1,2, 80,2,0.7,-2,0.5};
f2->SetParameters(params2);
TH2F *h2stb = new TH2F("h2stb","h2stb",20,-4,4,20,-4,4);
h2stb->SetFillColor(46);
h2stb->FillRandom("f2",3000);
a->Add(h2sta);
a->Add(h2stb);
a->Draw();
return cst;
}
pict1_THistPainter_053.png

The option nostackb allows to draw the histograms next to each other as bar charts:

{
TCanvas *cst0 = new TCanvas("cst0","cst0",600,400);
THStack *hs = new THStack("hs","Stacked 1D histograms: option #font[82]{\"nostackb\"}");
TH1F *h1 = new TH1F("h1","h1",10,-4,4);
h1->FillRandom("gaus",20000);
hs->Add(h1);
TH1F *h2 = new TH1F("h2","h2",10,-4,4);
h2->FillRandom("gaus",15000);
hs->Add(h2);
TH1F *h3 = new TH1F("h3","h3",10,-4,4);
h3->FillRandom("gaus",10000);
hs->Add(h3);
hs->Draw("nostackb");
hs->GetXaxis()->SetNdivisions(-10);
cst0->SetGridx();
return cst0;
}
pict1_THistPainter_054.png

If at least one of the histograms in the stack has errors, the whole stack is visualized by default with error bars. To visualize it without errors the option HIST should be used.

{
TCanvas *cst1 = new TCanvas("cst1","cst1",700,400);
cst1->Divide(2,1);
TH1F * hst11 = new TH1F("hst11", "", 20, -10, 10);
hst11->Sumw2();
hst11->FillRandom("gaus", 1000);
TH1F * hst12 = new TH1F("hst12", "", 20, -10, 10);
hst12->FillRandom("gaus", 500);
THStack st1("st1", "st1");
st1.Add(hst11);
st1.Add(hst12);
cst1->cd(1); st1.Draw();
cst1->cd(2); st1.Draw("hist");
return cst1;
}
pict1_THistPainter_055.png

Drawing of 3D implicit functions

3D implicit functions (TF3) can be drawn as iso-surfaces. The implicit function f(x,y,z) = 0 is drawn in cartesian coordinates. In the following example the options "FB" and "BB" suppress the "Front Box" and "Back Box" around the plot.

{
TCanvas *c2 = new TCanvas("c2","c2",600,400);
TF3 *f3 = new TF3("f3","sin(x*x+y*y+z*z-36)",-2,2,-2,2,-2,2);
f3->SetClippingBoxOn(0,0,0);
f3->SetFillColor(30);
f3->SetLineColor(15);
f3->Draw("FBBB");
return c2;
}
pict1_THistPainter_056.png

Associated functions drawing

An associated function is created by TH1::Fit. More than on fitted function can be associated with one histogram (see TH1::Fit).

A TF1 object f1 can be added to the list of associated functions of an histogram h without calling TH1::Fit simply doing:

h->GetListOfFunctions()->Add(f1);

or

h->GetListOfFunctions()->Add(f1,someoption);

To retrieve a function by name from this list, do:

TF1 *f1 = (TF1*)h->GetListOfFunctions()->FindObject(name);

or

TF1 *f1 = h->GetFunction(name);

Associated functions are automatically painted when an histogram is drawn. To avoid the painting of the associated functions the option HIST should be added to the list of the options used to paint the histogram.

Drawing using OpenGL

The class TGLHistPainter allows to paint data set using the OpenGL 3D graphics library. The plotting options start with GL keyword. In addition, in order to inform canvases that OpenGL should be used to render 3D representations, the following option should be set:

gStyle->SetCanvasPreferGL(true);

General information: plot types and supported options

The following types of plots are provided:

For lego plots the supported options are:

Option Description
"GLLEGO" Draw a lego plot. It works also for TH2Poly.
"GLLEGO2"Bins with color levels.
"GLLEGO3"Cylindrical bars.

Lego painter in cartesian supports logarithmic scales for X, Y, Z. In polar only Z axis can be logarithmic, in cylindrical only Y.

For surface plots (TF2 and TH2) the supported options are:

Option Description
"GLSURF" Draw a surface.
"GLSURF1" Surface with color levels
"GLSURF2" The same as "GLSURF1" but without polygon outlines.
"GLSURF3" Color level projection on top of plot (works only in cartesian coordinate system).
"GLSURF4" Same as "GLSURF" but without polygon outlines.

The surface painting in cartesian coordinates supports logarithmic scales along X, Y, Z axis. In polar coordinates only the Z axis can be logarithmic, in cylindrical coordinates only the Y axis.

Additional options to SURF and LEGO - Coordinate systems:

Option Description
" " Default, cartesian coordinates system.
"POL" Polar coordinates system.
"CYL" Cylindrical coordinates system.
"SPH" Spherical coordinates system.

TH3 as color boxes

The supported option is:

Option Description
"GLCOL" H3 is drawn using semi-transparent colored boxes. See $ROOTSYS/tutorials/gl/glvox1.C.

TH3 as boxes (spheres)

The supported options are:

Option Description
"GLBOX" TH3 as a set of boxes, size of box is proportional to bin content.
"GLBOX1" The same as "glbox", but spheres are drawn instead of boxes.

TH3 as iso-surface(s)

The supported option is:

Option Description
"GLISO" TH3 is drawn using iso-surfaces.

TF3 (implicit function)

The supported option is:

Option Description
"GLTF3" Draw a TF3.

Parametric surfaces

$ROOTSYS/tutorials/gl/glparametric.C shows how to create parametric equations and visualize the surface.

Interaction with the plots

All the interactions are implemented via standard methods DistancetoPrimitive() and ExecuteEvent(). That's why all the interactions with the OpenGL plots are possible only when the mouse cursor is in the plot's area (the plot's area is the part of a the pad occupied by gl-produced picture). If the mouse cursor is not above gl-picture, the standard pad interaction is performed.

Selectable parts

Different parts of the plot can be selected:

Rotation and zooming

Panning

The selected plot can be moved in a pad's area by pressing and holding the left mouse button and the shift key.

Box cut

Surface, iso, box, TF3 and parametric painters support box cut by pressing the 'c' or 'C' key when the mouse cursor is in a plot's area. That will display a transparent box, cutting away part of the surface (or boxes) in order to show internal part of plot. This box can be moved inside the plot's area (the full size of the box is equal to the plot's surrounding box) by selecting one of the box cut axes and pressing the left mouse button to move it.

Plot specific interactions (dynamic slicing etc.)

Currently, all gl-plots support some form of slicing. When back plane is selected (and if it's highlighted in green) you can press and hold left mouse button and shift key and move this back plane inside plot's area, creating the slice. During this "slicing" plot becomes semi-transparent. To remove all slices (and projected curves for surfaces) double click with left mouse button in a plot's area.

Surface with option "GLSURF"

The surface profile is displayed on the slicing plane. The profile projection is drawn on the back plane by pressing 'p' or 'P' key.

TF3

The contour plot is drawn on the slicing plane. For TF3 the color scheme can be changed by pressing 's' or 'S'.

Box

The contour plot corresponding to slice plane position is drawn in real time.

Iso

Slicing is similar to "GLBOX" option.

Parametric plot

No slicing. Additional keys: 's' or 'S' to change color scheme - about 20 color schemes supported ('s' for "scheme"); 'l' or 'L' to increase number of polygons ('l' for "level" of details), 'w' or 'W' to show outlines ('w' for "wireframe").

Definition at line 51 of file THistPainter.h.

Public Member Functions

 THistPainter ()
 Default constructor. More...
 
virtual ~THistPainter ()
 Default destructor. More...
 
virtual std::vector< THistRenderingRegionComputeRenderingRegions (TAxis *pAxis, Int_t nPixels, bool isLog)
 Returns the rendering regions for an axis to use in the COL2 option. More...
 
virtual void DefineColorLevels (Int_t ndivz)
 Define the color levels used to paint legos, surfaces etc.. More...
 
virtual Int_t DistancetoPrimitive (Int_t px, Int_t py)
 Compute the distance from the point px,py to a line. More...
 
virtual void DrawPanel ()
 Display a panel with all histogram drawing options. More...
 
virtual void ExecuteEvent (Int_t event, Int_t px, Int_t py)
 Execute the actions corresponding to event. More...
 
virtual TListGetContourList (Double_t contour) const
 Get a contour (as a list of TGraphs) using the Delaunay triangulation. More...
 
virtual char * GetObjectInfo (Int_t px, Int_t py) const
 Display the histogram info (bin number, contents, integral up to bin corresponding to cursor position px,py. More...
 
virtual TListGetStack () const
 
virtual Bool_t IsInside (Int_t x, Int_t y)
 Return kTRUE if the cell ix, iy is inside one of the graphical cuts. More...
 
virtual Bool_t IsInside (Double_t x, Double_t y)
 Return kTRUE if the point x, y is inside one of the graphical cuts. More...
 
virtual Int_t MakeChopt (Option_t *option)
 Decode string choptin and fill Hoption structure. More...
 
virtual Int_t MakeCuts (char *cutsopt)
 Decode string choptin and fill Graphical cuts structure. More...
 
virtual void Paint (Option_t *option="")
 Control routine to paint any kind of histograms More...
 
virtual void Paint2DErrors (Option_t *option)
 Draw 2D histograms errors. More...
 
virtual void PaintArrows (Option_t *option)
 Control function to draw a table as an arrow plot More...
 
virtual void PaintAxis (Bool_t drawGridOnly=kFALSE)
 Draw axis (2D case) of an histogram. More...
 
virtual void PaintBar (Option_t *option)
 Draw a bar-chart in a normal pad. More...
 
virtual void PaintBarH (Option_t *option)
 Draw a bar char in a rotated pad (X vertical, Y horizontal) More...
 
virtual void PaintBoxes (Option_t *option)
 Control function to draw a 2D histogram as a box plot More...
 
virtual void PaintCandlePlot (Option_t *option)
 Control function to draw a 2D histogram as a candle (box) plot. More...
 
virtual void PaintColorLevels (Option_t *option)
 Control function to draw a 2D histogram as a color plot. More...
 
virtual void PaintColorLevelsFast (Option_t *option)
 Rendering scheme for the COL2 and COLZ2 options More...
 
virtual void PaintContour (Option_t *option)
 Control function to draw a 2D histogram as a contour plot. More...
 
virtual Int_t PaintContourLine (Double_t elev1, Int_t icont1, Double_t x1, Double_t y1, Double_t elev2, Int_t icont2, Double_t x2, Double_t y2, Double_t *xarr, Double_t *yarr, Int_t *itarr, Double_t *levels)
 Fill the matrix xarr and yarr for Contour Plot. More...
 
virtual void PaintErrors (Option_t *option)
 Draw 1D histograms error bars. More...
 
virtual void PaintFrame ()
 Calculate range and clear pad (canvas). More...
 
virtual void PaintFunction (Option_t *option)
 Paint functions associated to an histogram. More...
 
virtual void PaintH3 (Option_t *option="")
 Control function to draw a 3D histograms. More...
 
virtual void PaintH3Iso ()
 Control function to draw a 3D histogram with Iso Surfaces. More...
 
virtual void PaintHist (Option_t *option)
 Control routine to draw 1D histograms More...
 
virtual Int_t PaintInit ()
 Compute histogram parameters used by the drawing routines. More...
 
virtual Int_t PaintInitH ()
 Compute histogram parameters used by the drawing routines for a rotated pad. More...
 
virtual void PaintLego (Option_t *option)
 Control function to draw a 2D histogram as a lego plot. More...
 
virtual void PaintLegoAxis (TGaxis *axis, Double_t ang)
 Draw the axis for legos and surface plots. More...
 
virtual void PaintPalette ()
 Paint the color palette on the right side of the pad. More...
 
virtual void PaintScatterPlot (Option_t *option)
 Control function to draw a 2D histogram as a scatter plot. More...
 
virtual void PaintStat (Int_t dostat, TF1 *fit)
 Draw the statistics box for 1D and profile histograms. More...
 
virtual void PaintStat2 (Int_t dostat, TF1 *fit)
 Draw the statistics box for 2D histograms. More...
 
virtual void PaintStat3 (Int_t dostat, TF1 *fit)
 Draw the statistics box for 3D histograms. More...
 
virtual void PaintSurface (Option_t *option)
 Control function to draw a 2D histogram as a surface plot. More...
 
virtual void PaintTable (Option_t *option)
 Control function to draw 2D/3D histograms (tables). More...
 
virtual void PaintText (Option_t *option)
 Control function to draw a 1D/2D histograms with the bin values. More...
 
virtual void PaintTF3 ()
 Control function to draw a 3D implicit functions. More...
 
virtual void PaintTH2PolyBins (Option_t *option)
 Control function to draw a TH2Poly bins' contours. More...
 
virtual void PaintTH2PolyColorLevels (Option_t *option)
 Control function to draw a TH2Poly as a color plot. More...
 
virtual void PaintTH2PolyScatterPlot (Option_t *option)
 Control function to draw a TH2Poly as a scatter plot. More...
 
virtual void PaintTH2PolyText (Option_t *option)
 Control function to draw a TH2Poly as a text plot. More...
 
virtual void PaintTitle ()
 Draw the histogram title. More...
 
virtual void PaintTriangles (Option_t *option)
 Control function to draw a table using Delaunay triangles. More...
 
virtual void PaintViolinPlot (Option_t *option)
 Control function to draw a 2D histogram as a violin plot More...
 
virtual void ProcessMessage (const char *mess, const TObject *obj)
 Process message mess. More...
 
virtual void RecalculateRange ()
 Recompute the histogram range following graphics operations. More...
 
virtual void RecursiveRemove (TObject *)
 Recursively remove this object from a list. More...
 
virtual void SetHistogram (TH1 *h)
 Set current histogram to h More...
 
virtual void SetShowProjection (const char *option, Int_t nbins)
 Set projection. More...
 
virtual void SetStack (TList *stack)
 
virtual void ShowProjection3 (Int_t px, Int_t py)
 Show projection (specified by fShowProjection) of a TH3. More...
 
virtual void ShowProjectionX (Int_t px, Int_t py)
 Show projection onto X. More...
 
virtual void ShowProjectionY (Int_t px, Int_t py)
 Show projection onto Y. More...
 
virtual Int_t TableInit ()
 Initialize various options to draw 2D histograms. More...
 
- Public Member Functions inherited from TVirtualHistPainter
 TVirtualHistPainter ()
 
virtual ~TVirtualHistPainter ()
 
- Public Member Functions inherited from TObject
 TObject ()
 TObject constructor. More...
 
 TObject (const TObject &object)
 TObject copy ctor. More...
 
virtual ~TObject ()
 TObject destructor. More...
 
void AbstractMethod (const char *method) const
 Use this method to implement an "abstract" method that you don't want to leave purely abstract. More...
 
virtual void AppendPad (Option_t *option="")
 Append graphics object to current pad. More...
 
virtual void Browse (TBrowser *b)
 Browse object. May be overridden for another default action. More...
 
virtual const char * ClassName () const
 Returns name of class to which the object belongs. More...
 
virtual void Clear (Option_t *="")
 
virtual TObjectClone (const char *newname="") const
 Make a clone of an object using the Streamer facility. More...
 
virtual Int_t Compare (const TObject *obj) const
 Compare abstract method. More...
 
virtual void Copy (TObject &object) const
 Copy this to obj. More...
 
virtual void Delete (Option_t *option="")
 Delete this object. More...
 
virtual void Draw (Option_t *option="")
 Default Draw method for all objects. More...
 
virtual void DrawClass () const
 Draw class inheritance tree of the class to which this object belongs. More...
 
virtual TObjectDrawClone (Option_t *option="") const
 Draw a clone of this object in the current pad. More...
 
virtual void Dump () const
 Dump contents of object on stdout. More...
 
virtual void Error (const char *method, const char *msgfmt,...) const
 Issue error message. More...
 
virtual void Execute (const char *method, const char *params, Int_t *error=0)
 Execute method on this object with the given parameter string, e.g. More...
 
virtual void Execute (TMethod *method, TObjArray *params, Int_t *error=0)
 Execute method on this object with parameters stored in the TObjArray. More...
 
virtual void Fatal (const char *method, const char *msgfmt,...) const
 Issue fatal error message. More...
 
virtual TObjectFindObject (const char *name) const
 Must be redefined in derived classes. More...
 
virtual TObjectFindObject (const TObject *obj) const
 Must be redefined in derived classes. More...
 
virtual Option_tGetDrawOption () const
 Get option used by the graphics system to draw this object. More...
 
virtual const char * GetIconName () const
 Returns mime type name of object. More...
 
virtual const char * GetName () const
 Returns name of object. More...
 
virtual Option_tGetOption () const
 
virtual const char * GetTitle () const
 Returns title of object. More...
 
virtual UInt_t GetUniqueID () const
 Return the unique object id. More...
 
virtual Bool_t HandleTimer (TTimer *timer)
 Execute action in response of a timer timing out. More...
 
virtual ULong_t Hash () const
 Return hash value for this object. More...
 
virtual void Info (const char *method, const char *msgfmt,...) const
 Issue info message. More...
 
virtual Bool_t InheritsFrom (const char *classname) const
 Returns kTRUE if object inherits from class "classname". More...
 
virtual Bool_t InheritsFrom (const TClass *cl) const
 Returns kTRUE if object inherits from TClass cl. More...
 
virtual void Inspect () const
 Dump contents of this object in a graphics canvas. More...
 
void InvertBit (UInt_t f)
 
virtual Bool_t IsEqual (const TObject *obj) const
 Default equal comparison (objects are equal if they have the same address in memory). More...
 
virtual Bool_t IsFolder () const
 Returns kTRUE in case object contains browsable objects (like containers or lists of other objects). More...
 
Bool_t IsOnHeap () const
 
virtual Bool_t IsSortable () const
 
Bool_t IsZombie () const
 
virtual void ls (Option_t *option="") const
 The ls function lists the contents of a class on stdout. More...
 
void MayNotUse (const char *method) const
 Use this method to signal that a method (defined in a base class) may not be called in a derived class (in principle against good design since a child class should not provide less functionality than its parent, however, sometimes it is necessary). More...
 
virtual Bool_t Notify ()
 This method must be overridden to handle object notification. More...
 
void Obsolete (const char *method, const char *asOfVers, const char *removedFromVers) const
 Use this method to declare a method obsolete. More...
 
void operator delete (void *ptr)
 Operator delete. More...
 
void operator delete[] (void *ptr)
 Operator delete []. More...
 
voidoperator new (size_t sz)
 
voidoperator new (size_t sz, void *vp)
 
voidoperator new[] (size_t sz)
 
voidoperator new[] (size_t sz, void *vp)
 
TObjectoperator= (const TObject &rhs)
 TObject assignment operator. More...
 
virtual void Pop ()
 Pop on object drawn in a pad to the top of the display list. More...
 
virtual void Print (Option_t *option="") const
 This method must be overridden when a class wants to print itself. More...
 
virtual Int_t Read (const char *name)
 Read contents of object with specified name from the current directory. More...
 
void ResetBit (UInt_t f)
 
virtual void SaveAs (const char *filename="", Option_t *option="") const
 Save this object in the file specified by filename. More...
 
virtual void SavePrimitive (std::ostream &out, Option_t *option="")
 Save a primitive as a C++ statement(s) on output stream "out". More...
 
void SetBit (UInt_t f, Bool_t set)
 Set or unset the user status bits as specified in f. More...
 
void SetBit (UInt_t f)
 
virtual void SetDrawOption (Option_t *option="")
 Set drawing option for object. More...
 
virtual void SetUniqueID (UInt_t uid)
 Set the unique object id. More...
 
virtual void SysError (const char *method, const char *msgfmt,...) const
 Issue system error message. More...
 
Bool_t TestBit (UInt_t f) const
 
Int_t TestBits (UInt_t f) const
 
virtual void UseCurrentStyle ()
 Set current style settings in this object This function is called when either TCanvas::UseCurrentStyle or TROOT::ForceStyle have been invoked. More...
 
virtual void Warning (const char *method, const char *msgfmt,...) const
 Issue warning message. More...
 
virtual Int_t Write (const char *name=0, Int_t option=0, Int_t bufsize=0)
 Write this object to the current directory. More...
 
virtual Int_t Write (const char *name=0, Int_t option=0, Int_t bufsize=0) const
 Write this object to the current directory. More...
 

Static Public Member Functions

static const char * GetBestFormat (Double_t v, Double_t e, const char *f)
 This function returns the best format to print the error value (e) knowing the parameter value (v) and the format (f) used to print it. More...
 
static void PaintSpecialObjects (const TObject *obj, Option_t *option)
 Static function to paint special objects like vectors and matrices. More...
 
static Int_t ProjectAitoff2xy (Double_t l, Double_t b, Double_t &Al, Double_t &Ab)
 Static function. More...
 
static Int_t ProjectMercator2xy (Double_t l, Double_t b, Double_t &Al, Double_t &Ab)
 Static function. More...
 
static Int_t ProjectParabolic2xy (Double_t l, Double_t b, Double_t &Al, Double_t &Ab)
 Static function code from Ernst-Jan Buis. More...
 
static Int_t ProjectSinusoidal2xy (Double_t l, Double_t b, Double_t &Al, Double_t &Ab)
 Static function code from Ernst-Jan Buis. More...
 
- Static Public Member Functions inherited from TVirtualHistPainter
static TVirtualHistPainterHistPainter (TH1 *obj)
 Static function returning a pointer to the current histogram painter. More...
 
static void SetPainter (const char *painter)
 Static function to set an alternative histogram painter. More...
 
- Static Public Member Functions inherited from TObject
static Long_t GetDtorOnly ()
 Return destructor only flag. More...
 
static Bool_t GetObjectStat ()
 Get status of object stat flag. More...
 
static void SetDtorOnly (void *obj)
 Set destructor only flag. More...
 
static void SetObjectStat (Bool_t stat)
 Turn on/off tracking of objects in the TObjectTable. More...
 

Protected Attributes

TCutGfCuts [kMaxCuts]
 
Int_t fCutsOpt [kMaxCuts]
 
TListfFunctions
 
TGraph2DPainterfGraph2DPainter
 
TH1fH
 
TPainter3dAlgorithmsfLego
 
Int_t fNcuts
 
TPiefPie
 
TString fShowOption
 
Int_t fShowProjection
 
TListfStack
 
TAxisfXaxis
 
Double_tfXbuf
 
TAxisfYaxis
 
Double_tfYbuf
 
TAxisfZaxis
 

Additional Inherited Members

- Public Types inherited from TObject
enum  { kIsOnHeap = 0x01000000, kNotDeleted = 0x02000000, kZombie = 0x04000000, kBitMask = 0x00ffffff }
 
enum  { kSingleKey = BIT(0), kOverwrite = BIT(1), kWriteDelete = BIT(2) }
 
enum  EStatusBits {
  kCanDelete = BIT(0), kMustCleanup = BIT(3), kObjInCanvas = BIT(3), kIsReferenced = BIT(4),
  kHasUUID = BIT(5), kCannotPick = BIT(6), kNoContextMenu = BIT(8), kInvalidObject = BIT(13)
}
 
- Protected Member Functions inherited from TObject
virtual void DoError (int level, const char *location, const char *fmt, va_list va) const
 Interface to ErrorHandler (protected). More...
 
void MakeZombie ()
 

#include <THistPainter.h>

Inheritance diagram for THistPainter:
[legend]

Constructor & Destructor Documentation

THistPainter::THistPainter ( )

Default constructor.

Definition at line 2764 of file THistPainter.cxx.

THistPainter::~THistPainter ( )
virtual

Default destructor.

Definition at line 2812 of file THistPainter.cxx.

Member Function Documentation

std::vector< THistRenderingRegion > THistPainter::ComputeRenderingRegions ( TAxis pAxis,
Int_t  nPixels,
bool  isLog 
)
virtual

Returns the rendering regions for an axis to use in the COL2 option.

The algorithm analyses the size of the axis compared to the size of the rendering region. It figures out the boundaries to use for each color of the rendering region. Only one axis is computed here.

This allows for a single computation of the boundaries before iterating through all of the bins.

Parameters
pAxisthe axis to consider
nPixelsthe number of pixels to render axis into
isLogwhether the axis is log scale

Definition at line 4883 of file THistPainter.cxx.

void THistPainter::DefineColorLevels ( Int_t  ndivz)
virtual

Define the color levels used to paint legos, surfaces etc..

Definition at line 8538 of file THistPainter.cxx.

Int_t THistPainter::DistancetoPrimitive ( Int_t  px,
Int_t  py 
)
virtual

Compute the distance from the point px,py to a line.

Compute the closest distance of approach from point px,py to elements of an histogram. The distance is computed in pixels units.

Algorithm: Currently, this simple model computes the distance from the mouse to the histogram contour only.

Implements TVirtualHistPainter.

Definition at line 2825 of file THistPainter.cxx.

void THistPainter::DrawPanel ( )
virtual

Display a panel with all histogram drawing options.

Implements TVirtualHistPainter.

Definition at line 3008 of file THistPainter.cxx.

void THistPainter::ExecuteEvent ( Int_t  event,
Int_t  px,
Int_t  py 
)
virtual

Execute the actions corresponding to event.

This function is called when a histogram is clicked with the locator at the pixel position px,py.

Implements TVirtualHistPainter.

Definition at line 3028 of file THistPainter.cxx.

const char * THistPainter::GetBestFormat ( Double_t  v,
Double_t  e,
const char *  f 
)
static

This function returns the best format to print the error value (e) knowing the parameter value (v) and the format (f) used to print it.

Definition at line 9623 of file THistPainter.cxx.

TList * THistPainter::GetContourList ( Double_t  contour) const
virtual

Get a contour (as a list of TGraphs) using the Delaunay triangulation.

Implements TVirtualHistPainter.

Definition at line 3254 of file THistPainter.cxx.

char * THistPainter::GetObjectInfo ( Int_t  px,
Int_t  py 
) const
virtual

Display the histogram info (bin number, contents, integral up to bin corresponding to cursor position px,py.

Implements TVirtualHistPainter.

Definition at line 3282 of file THistPainter.cxx.

virtual TList* THistPainter::GetStack ( ) const
inlinevirtual

Implements TVirtualHistPainter.

Definition at line 80 of file THistPainter.h.

Bool_t THistPainter::IsInside ( Int_t  x,
Int_t  y 
)
virtual

Return kTRUE if the cell ix, iy is inside one of the graphical cuts.

Implements TVirtualHistPainter.

Definition at line 3409 of file THistPainter.cxx.

Bool_t THistPainter::IsInside ( Double_t  x,
Double_t  y 
)
virtual

Return kTRUE if the point x, y is inside one of the graphical cuts.

Implements TVirtualHistPainter.

Definition at line 3427 of file THistPainter.cxx.

Int_t THistPainter::MakeChopt ( Option_t option)
virtual

Decode string choptin and fill Hoption structure.

Definition at line 3443 of file THistPainter.cxx.

Int_t THistPainter::MakeCuts ( char *  cutsopt)
virtual

Decode string choptin and fill Graphical cuts structure.

Implements TVirtualHistPainter.

Definition at line 3800 of file THistPainter.cxx.

void THistPainter::Paint ( Option_t option = "")
virtual
void THistPainter::Paint2DErrors ( Option_t option)
virtual

Draw 2D histograms errors.

Definition at line 5982 of file THistPainter.cxx.

void THistPainter::PaintArrows ( Option_t option)
virtual
void THistPainter::PaintAxis ( Bool_t  drawGridOnly = kFALSE)
virtual

Draw axis (2D case) of an histogram.

If drawGridOnly is TRUE, only the grid is painted (if needed). This allows to draw the grid and the axis separately. In THistPainter::Paint this feature is used to make sure that the grid is drawn in the background and the axis tick marks in the foreground of the pad.

Definition at line 4129 of file THistPainter.cxx.

void THistPainter::PaintBar ( Option_t option)
virtual
void THistPainter::PaintBarH ( Option_t option)
virtual
void THistPainter::PaintBoxes ( Option_t option)
virtual
void THistPainter::PaintCandlePlot ( Option_t option)
virtual
void THistPainter::PaintColorLevels ( Option_t option)
virtual
void THistPainter::PaintColorLevelsFast ( Option_t option)
virtual
void THistPainter::PaintContour ( Option_t option)
virtual
Int_t THistPainter::PaintContourLine ( Double_t  elev1,
Int_t  icont1,
Double_t  x1,
Double_t  y1,
Double_t  elev2,
Int_t  icont2,
Double_t  x2,
Double_t  y2,
Double_t xarr,
Double_t yarr,
Int_t itarr,
Double_t levels 
)
virtual

Fill the matrix xarr and yarr for Contour Plot.

Definition at line 5649 of file THistPainter.cxx.

void THistPainter::PaintErrors ( Option_t option)
virtual
void THistPainter::PaintFrame ( )
virtual

Calculate range and clear pad (canvas).

Definition at line 6143 of file THistPainter.cxx.

void THistPainter::PaintFunction ( Option_t option)
virtual
void THistPainter::PaintH3 ( Option_t option = "")
virtual
void THistPainter::PaintH3Iso ( )
virtual
void THistPainter::PaintHist ( Option_t option)
virtual
Int_t THistPainter::PaintInit ( )
virtual

Compute histogram parameters used by the drawing routines.

Definition at line 6427 of file THistPainter.cxx.

Int_t THistPainter::PaintInitH ( )
virtual

Compute histogram parameters used by the drawing routines for a rotated pad.

Definition at line 6663 of file THistPainter.cxx.

void THistPainter::PaintLego ( Option_t option)
virtual
void THistPainter::PaintLegoAxis ( TGaxis axis,
Double_t  ang 
)
virtual

Draw the axis for legos and surface plots.

Definition at line 7155 of file THistPainter.cxx.

void THistPainter::PaintPalette ( )
virtual
void THistPainter::PaintScatterPlot ( Option_t option)
virtual
void THistPainter::PaintSpecialObjects ( const TObject obj,
Option_t option 
)
static

Static function to paint special objects like vectors and matrices.

This function is called via gROOT->ProcessLine to paint these objects without having a direct dependency of the graphics or histogramming system.

Definition at line 7492 of file THistPainter.cxx.

void THistPainter::PaintStat ( Int_t  dostat,
TF1 fit 
)
virtual
void THistPainter::PaintStat2 ( Int_t  dostat,
TF1 fit 
)
virtual
void THistPainter::PaintStat3 ( Int_t  dostat,
TF1 fit 
)
virtual
void THistPainter::PaintSurface ( Option_t option)
virtual
void THistPainter::PaintTable ( Option_t option)
virtual
void THistPainter::PaintText ( Option_t option)
virtual
void THistPainter::PaintTF3 ( )
virtual
void THistPainter::PaintTH2PolyBins ( Option_t option)
virtual

Control function to draw a TH2Poly bins' contours.

  • option = "F" draw the bins as filled areas.
  • option = "L" draw the bins as line.
  • option = "P" draw the bins as markers.

Definition at line 8654 of file THistPainter.cxx.

void THistPainter::PaintTH2PolyColorLevels ( Option_t option)
virtual
void THistPainter::PaintTH2PolyScatterPlot ( Option_t option)
virtual
void THistPainter::PaintTH2PolyText ( Option_t option)
virtual
void THistPainter::PaintTitle ( )
virtual

Draw the histogram title.

The title is drawn according to the title alignment returned by GetTitleAlign(). It is a 2 digits integer): hv

where h is the horizontal alignment and v is the vertical alignment.

  • h can get the values 1 2 3 for left, center, and right
  • v can get the values 1 2 3 for bottom, middle and top

for instance the default alignment is: 13 (left top)

Definition at line 9146 of file THistPainter.cxx.

void THistPainter::PaintTriangles ( Option_t option)
virtual

Control function to draw a table using Delaunay triangles.

Definition at line 8438 of file THistPainter.cxx.

void THistPainter::PaintViolinPlot ( Option_t option)
virtual
void THistPainter::ProcessMessage ( const char *  mess,
const TObject obj 
)
virtual

Process message mess.

Implements TVirtualHistPainter.

Definition at line 9222 of file THistPainter.cxx.

Int_t THistPainter::ProjectAitoff2xy ( Double_t  l,
Double_t  b,
Double_t Al,
Double_t Ab 
)
static

Static function.

Convert Right Ascension, Declination to X,Y using an AITOFF projection. This procedure can be used to create an all-sky map in Galactic coordinates with an equal-area Aitoff projection. Output map coordinates are zero longitude centered. Also called Hammer-Aitoff projection (first presented by Ernst von Hammer in 1892)

source: GMT

code from Ernst-Jan Buis

Definition at line 9251 of file THistPainter.cxx.

Int_t THistPainter::ProjectMercator2xy ( Double_t  l,
Double_t  b,
Double_t Al,
Double_t Ab 
)
static

Static function.

Probably the most famous of the various map projections, the Mercator projection takes its name from Mercator who presented it in 1569. It is a cylindrical, conformal projection with no distortion along the equator. The Mercator projection has been used extensively for world maps in which the distortion towards the polar regions grows rather large, thus incorrectly giving the impression that, for example, Greenland is larger than South America. In reality, the latter is about eight times the size of Greenland. Also, the Former Soviet Union looks much bigger than Africa or South America. One may wonder whether this illusion has had any influence on U.S. foreign policy.' (Source: GMT) code from Ernst-Jan Buis

Definition at line 9286 of file THistPainter.cxx.

Int_t THistPainter::ProjectParabolic2xy ( Double_t  l,
Double_t  b,
Double_t Al,
Double_t Ab 
)
static

Static function code from Ernst-Jan Buis.

Definition at line 9309 of file THistPainter.cxx.

Int_t THistPainter::ProjectSinusoidal2xy ( Double_t  l,
Double_t  b,
Double_t Al,
Double_t Ab 
)
static

Static function code from Ernst-Jan Buis.

Definition at line 9298 of file THistPainter.cxx.

void THistPainter::RecalculateRange ( )
virtual

Recompute the histogram range following graphics operations.

Definition at line 9320 of file THistPainter.cxx.

virtual void THistPainter::RecursiveRemove ( TObject obj)
inlinevirtual

Recursively remove this object from a list.

Typically implemented by classes that can contain multiple references to a same object.

Reimplemented from TObject.

Definition at line 133 of file THistPainter.h.

void THistPainter::SetHistogram ( TH1 h)
virtual

Set current histogram to h

Implements TVirtualHistPainter.

Definition at line 9431 of file THistPainter.cxx.

void THistPainter::SetShowProjection ( const char *  option,
Int_t  nbins 
)
virtual

Set projection.

Implements TVirtualHistPainter.

Definition at line 9676 of file THistPainter.cxx.

virtual void THistPainter::SetStack ( TList stack)
inlinevirtual

Implements TVirtualHistPainter.

Definition at line 135 of file THistPainter.h.

void THistPainter::ShowProjection3 ( Int_t  px,
Int_t  py 
)
virtual

Show projection (specified by fShowProjection) of a TH3.

The drawing option for the projection is in fShowOption.

First implementation; R.Brun

Full implementation: Tim Tran (timtr.nosp@m.an@j.nosp@m.lab.o.nosp@m.rg) April 2006

Definition at line 9874 of file THistPainter.cxx.

void THistPainter::ShowProjectionX ( Int_t  px,
Int_t  py 
)
virtual

Show projection onto X.

Definition at line 9703 of file THistPainter.cxx.

void THistPainter::ShowProjectionY ( Int_t  px,
Int_t  py 
)
virtual

Show projection onto Y.

Definition at line 9786 of file THistPainter.cxx.

Int_t THistPainter::TableInit ( )
virtual

Initialize various options to draw 2D histograms.

Definition at line 9445 of file THistPainter.cxx.

Member Data Documentation

TCutG* THistPainter::fCuts[kMaxCuts]
protected

Definition at line 66 of file THistPainter.h.

Int_t THistPainter::fCutsOpt[kMaxCuts]
protected

Definition at line 65 of file THistPainter.h.

TList* THistPainter::fFunctions
protected

Definition at line 58 of file THistPainter.h.

TGraph2DPainter* THistPainter::fGraph2DPainter
protected

Definition at line 60 of file THistPainter.h.

TH1* THistPainter::fH
protected

Definition at line 54 of file THistPainter.h.

TPainter3dAlgorithms* THistPainter::fLego
protected

Definition at line 59 of file THistPainter.h.

Int_t THistPainter::fNcuts
protected

Definition at line 64 of file THistPainter.h.

TPie* THistPainter::fPie
protected

Definition at line 61 of file THistPainter.h.

TString THistPainter::fShowOption
protected

Definition at line 69 of file THistPainter.h.

Int_t THistPainter::fShowProjection
protected

Definition at line 68 of file THistPainter.h.

TList* THistPainter::fStack
protected

Definition at line 67 of file THistPainter.h.

TAxis* THistPainter::fXaxis
protected

Definition at line 55 of file THistPainter.h.

Double_t* THistPainter::fXbuf
protected

Definition at line 62 of file THistPainter.h.

TAxis* THistPainter::fYaxis
protected

Definition at line 56 of file THistPainter.h.

Double_t* THistPainter::fYbuf
protected

Definition at line 63 of file THistPainter.h.

TAxis* THistPainter::fZaxis
protected

Definition at line 57 of file THistPainter.h.


The documentation for this class was generated from the following files: