Logo ROOT  
Reference Guide
 
Loading...
Searching...
No Matches
combinedFit.py File Reference

Detailed Description

View in nbviewer Open in SWAN
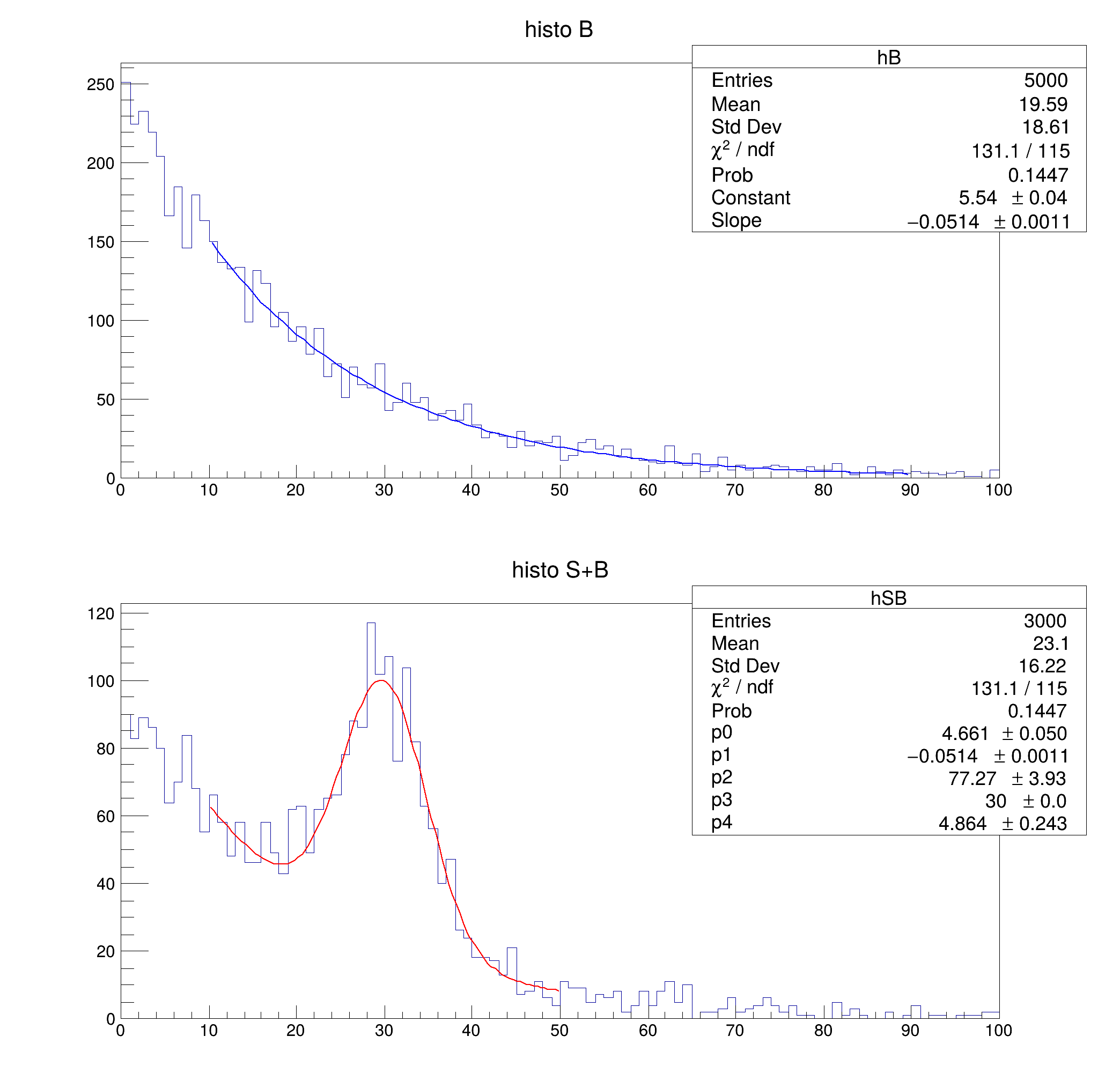
Combined (simultaneous) fit of two histogram with separate functions and some common parameters

****************************************
Minimizer is Minuit2 / Migrad
Chi2 = 131.104
NDf = 115
Edm = 2.11602e-08
NCalls = 225
Par_0 = 5.5396 +/- 0.0354094
Par_1 = 4.66089 +/- 0.050106
Par_2 = -0.0514037 +/- 0.00108539 (limited)
Par_3 = 77.2733 +/- 3.93105 (limited)
Par_4 = 30 (fixed)
Par_5 = 4.864 +/- 0.243005
import ROOT
import numpy as np
# definition of shared parameter background function
iparB = np.array([0, 2], dtype=np.int32) # exp amplitude in B histo and exp common parameter
# signal + background function
iparSB = np.array(
[
1, # exp amplitude in S+B histo
2, # exp common parameter
3, # Gaussian amplitude
4, # Gaussian mean
5, # Gaussian sigma
],
dtype=np.int32,
)
# Create the GlobalCHi2 structure
class GlobalChi2(object):
def __init__(self, f1, f2):
self._f1 = f1
self._f2 = f2
def __call__(self, par):
# parameter vector is first background (in common 1 and 2) and then is
# signal (only in 2)
# the zero-copy way to get a numpy array from a double *
par_arr = np.frombuffer(par, dtype=np.float64, count=6)
p1 = par_arr[iparB]
p2 = par_arr[iparSB]
return self._f1(p1) + self._f2(p2)
hB = ROOT.TH1D("hB", "histo B", 100, 0, 100)
hSB = ROOT.TH1D("hSB", "histo S+B", 100, 0, 100)
fB = ROOT.TF1("fB", "expo", 0, 100)
fB.SetParameters(1, -0.05)
hB.FillRandom("fB")
fS = ROOT.TF1("fS", "gaus", 0, 100)
fS.SetParameters(1, 30, 5)
hSB.FillRandom("fB", 2000)
hSB.FillRandom("fS", 1000)
# perform now global fit
fSB = ROOT.TF1("fSB", "expo + gaus(2)", 0, 100)
# set the data range
rangeB.SetRange(10, 90)
dataB = ROOT.Fit.BinData(opt, rangeB)
rangeSB = ROOT.Fit.DataRange()
rangeSB.SetRange(10, 50)
dataSB = ROOT.Fit.BinData(opt, rangeSB)
ROOT.Fit.FillData(dataSB, hSB)
chi2_B = ROOT.Fit.Chi2Function(dataB, wfB)
chi2_SB = ROOT.Fit.Chi2Function(dataSB, wfSB)
globalChi2 = GlobalChi2(chi2_B, chi2_SB)
fitter = ROOT.Fit.Fitter()
Npar = 6
par0 = np.array([5, 5, -0.1, 100, 30, 10])
# create before the parameter settings in order to fix or set range on them
fitter.Config().SetParamsSettings(6, par0)
# fix 5-th parameter
fitter.Config().ParSettings(4).Fix()
# set limits on the third and 4-th parameter
fitter.Config().ParSettings(2).SetLimits(-10, -1.0e-4)
fitter.Config().ParSettings(3).SetLimits(0, 10000)
fitter.Config().ParSettings(3).SetStepSize(5)
fitter.Config().MinimizerOptions().SetPrintLevel(0)
fitter.Config().SetMinimizer("Minuit2", "Migrad")
# we can't pass the Python object globalChi2 directly to FitFCN.
# It needs to be wrapped in a ROOT::Math::Functor.
globalChi2Functor = ROOT.Math.Functor(globalChi2, 6)
# fit FCN function
# (specify optionally data size and flag to indicate that is a chi2 fit)
fitter.FitFCN(globalChi2Functor, 0, dataB.Size() + dataSB.Size(), True)
result = fitter.Result()
result.Print(ROOT.std.cout)
c1 = ROOT.TCanvas("Simfit", "Simultaneous fit of two histograms", 10, 10, 700, 700)
c1.Divide(1, 2)
c1.cd(1)
ROOT.gStyle.SetOptFit(1111)
fB.SetFitResult(result, iparB)
fB.SetRange(rangeB().first, rangeB().second)
fB.SetLineColor(ROOT.kBlue)
hB.GetListOfFunctions().Add(fB)
hB.Draw()
c1.cd(2)
fSB.SetFitResult(result, iparSB)
fSB.SetRange(rangeSB().first, rangeSB().second)
fSB.SetLineColor(ROOT.kRed)
hSB.GetListOfFunctions().Add(fSB)
hSB.Draw()
c1.SaveAs("combinedFit.png")
Class describing the binned data sets : vectors of x coordinates, y values and optionally error on y ...
Definition BinData.h:52
class describing the range in the coordinates it supports multiple range in a coordinate.
Definition DataRange.h:35
Fitter class, entry point for performing all type of fits.
Definition Fitter.h:77
Documentation for class Functor class.
Definition Functor.h:47
void FillData(BinData &dv, const TH1 *hist, TF1 *func=nullptr)
fill the data vector from a TH1.
TMatrixT< Element > & Add(TMatrixT< Element > &target, Element scalar, const TMatrixT< Element > &source)
Modify addition: target += scalar * source.
DataOptions : simple structure holding the options on how the data are filled.
Definition DataOptions.h:28
Author
Jonas Rembser, Lorenzo Moneta (C++ version)

Definition in file combinedFit.py.