Logo ROOT  
Reference Guide
 
Loading...
Searching...
No Matches
rf211_paramconv.C File Reference

Detailed Description

View in nbviewer Open in SWAN
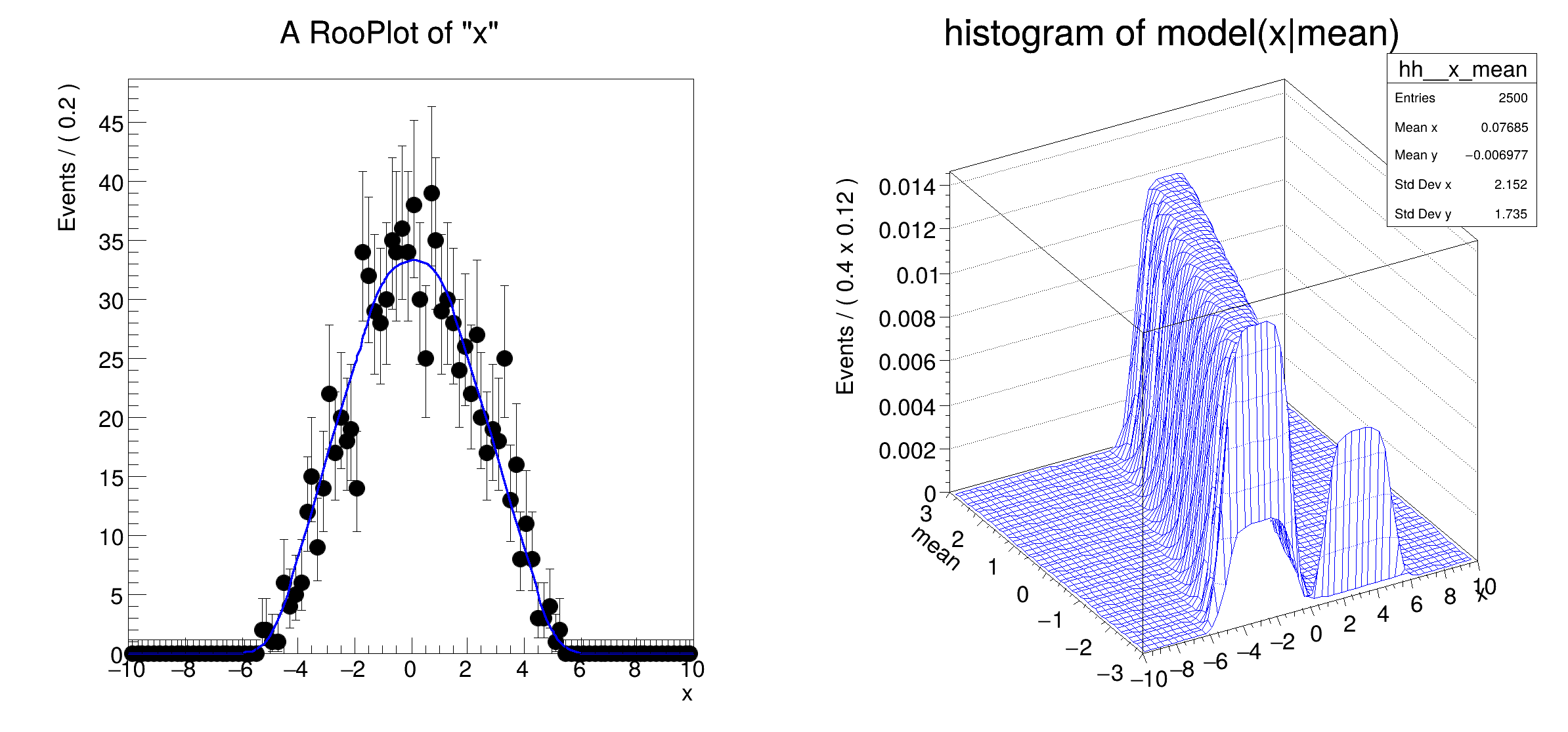
Addition and convolution: working with a pdf with a convolution operator in terms of a parameter

This tutorial requires FFT3 to be enabled.

#include "RooRealVar.h"
#include "RooDataHist.h"
#include "RooGaussian.h"
#include "RooGenericPdf.h"
#include "RooFormulaVar.h"
#include "RooFFTConvPdf.h"
#include "RooPlot.h"
#include "TCanvas.h"
#include "TAxis.h"
#include "TH2.h"
using namespace RooFit;
{
// S e t u p c o m p o n e n t p d f s
// ---------------------------------------
// Gaussian g(x ; mean,sigma)
RooRealVar x("x", "x", -10, 10);
RooRealVar mean("mean", "mean", -3, 3);
RooRealVar sigma("sigma", "sigma", 0.5, 0.1, 10);
RooGaussian modelx("gx", "gx", x, mean, sigma);
// Block function in mean
RooRealVar a("a", "a", 2, 1, 10);
RooGenericPdf model_mean("model_mean", "abs(mean)<a", RooArgList(mean, a));
// Convolution in mean parameter model = g(x,mean,sigma) (x) block(mean)
x.setBins(1000, "cache");
mean.setBins(50, "cache");
RooFFTConvPdf model("model", "model", mean, modelx, model_mean);
// Configure convolution to construct a 2-D cache in (x,mean)
// rather than a 1-d cache in mean that needs to be recalculated
// for each value of x
model.setCacheObservables(x);
model.setBufferFraction(1.0);
// Integrate model over mean projModel = Int model dmean
RooAbsPdf *projModel = model.createProjection(mean);
// Generate 1000 toy events
std::unique_ptr<RooDataHist> d{projModel->generateBinned(x, 1000)};
// Fit pdf to toy data
projModel->fitTo(*d, Verbose(), PrintLevel(-1));
// Plot data and fitted pdf
RooPlot *frame = x.frame(Bins(25));
d->plotOn(frame);
projModel->plotOn(frame);
// Make 2d histogram of model(x;mean)
TH1 *hh = model.createHistogram("hh", x, Binning(50), YVar(mean, Binning(50)), ConditionalObservables(mean));
hh->SetTitle("histogram of model(x|mean)");
// Draw frame on canvas
TCanvas *c = new TCanvas("rf211_paramconv", "rf211_paramconv", 800, 400);
c->Divide(2);
c->cd(1);
gPad->SetLeftMargin(0.15);
frame->GetYaxis()->SetTitleOffset(1.4);
frame->Draw();
c->cd(2);
gPad->SetLeftMargin(0.20);
hh->GetZaxis()->SetTitleOffset(2.5);
hh->Draw("surf");
}
#define d(i)
Definition RSha256.hxx:102
#define c(i)
Definition RSha256.hxx:101
#define a(i)
Definition RSha256.hxx:99
@ kBlue
Definition Rtypes.h:66
#define gPad
Abstract interface for all probability density functions.
Definition RooAbsPdf.h:40
RooPlot * plotOn(RooPlot *frame, const RooCmdArg &arg1={}, const RooCmdArg &arg2={}, const RooCmdArg &arg3={}, const RooCmdArg &arg4={}, const RooCmdArg &arg5={}, const RooCmdArg &arg6={}, const RooCmdArg &arg7={}, const RooCmdArg &arg8={}, const RooCmdArg &arg9={}, const RooCmdArg &arg10={}) const override
Helper calling plotOn(RooPlot*, RooLinkedList&) const.
Definition RooAbsPdf.h:124
RooFit::OwningPtr< RooFitResult > fitTo(RooAbsData &data, CmdArgs_t const &... cmdArgs)
Fit PDF to given dataset.
Definition RooAbsPdf.h:157
virtual RooFit::OwningPtr< RooDataHist > generateBinned(const RooArgSet &whatVars, double nEvents, const RooCmdArg &arg1, const RooCmdArg &arg2={}, const RooCmdArg &arg3={}, const RooCmdArg &arg4={}, const RooCmdArg &arg5={}) const
As RooAbsPdf::generateBinned(const RooArgSet&, const RooCmdArg&,const RooCmdArg&, const RooCmdArg&,...
Definition RooAbsPdf.h:110
virtual RooAbsPdf * createProjection(const RooArgSet &iset)
Return a p.d.f that represent a projection of this p.d.f integrated over given observables.
RooArgList is a container object that can hold multiple RooAbsArg objects.
Definition RooArgList.h:22
PDF for the numerical (FFT) convolution of two PDFs.
Plain Gaussian p.d.f.
Definition RooGaussian.h:24
Implementation of a probability density function that takes a RooArgList of servers and a C++ express...
Plot frame and a container for graphics objects within that frame.
Definition RooPlot.h:45
TAxis * GetYaxis() const
Definition RooPlot.cxx:1264
void Draw(Option_t *options=nullptr) override
Draw this plot and all of the elements it contains.
Definition RooPlot.cxx:637
Variable that can be changed from the outside.
Definition RooRealVar.h:37
virtual void SetTitleOffset(Float_t offset=1)
Set distance between the axis and the axis title.
Definition TAttAxis.cxx:298
virtual void SetLineColor(Color_t lcolor)
Set the line color.
Definition TAttLine.h:40
The Canvas class.
Definition TCanvas.h:23
TH1 is the base class of all histogram classes in ROOT.
Definition TH1.h:59
TAxis * GetZaxis()
Definition TH1.h:326
void SetTitle(const char *title) override
Change/set the title.
Definition TH1.cxx:6686
void Draw(Option_t *option="") override
Draw this histogram with options.
Definition TH1.cxx:3066
RooCmdArg YVar(const RooAbsRealLValue &var, const RooCmdArg &arg={})
RooCmdArg Bins(Int_t nbin)
RooCmdArg PrintLevel(Int_t code)
RooCmdArg Verbose(bool flag=true)
RooCmdArg ConditionalObservables(Args_t &&... argsOrArgSet)
Create a RooCmdArg to declare conditional observables.
RooCmdArg Binning(const RooAbsBinning &binning)
const Double_t sigma
Double_t x[n]
Definition legend1.C:17
The namespace RooFit contains mostly switches that change the behaviour of functions of PDFs (or othe...
Definition JSONIO.h:26
[#1] INFO:Eval -- RooRealVar::setRange(mean) new range named 'refrange_fft_model' created with bounds [-3,3]
[#0] WARNING:Eval -- The FFT convolution 'model' will run with 50 bins. A decent accuracy for difficult convolutions is typically only reached with n >= 1000. Suggest to increase the number of bins of the observable 'mean'.
[#1] INFO:NumericIntegration -- RooRealIntegral::init(gx_Int[mean,x]) using numeric integrator RooIntegrator1D to calculate Int(mean)
[#1] INFO:NumericIntegration -- RooRealIntegral::init(model_mean_Int[mean]) using numeric integrator RooIntegrator1D to calculate Int(mean)
[#0] WARNING:Integration -- RooRombergIntegrator::integral: integral of model_mean over range (-6,6) did not converge after 20 steps
[1] h = 1 , s = 0
[2] h = 0.25 , s = 6
[3] h = 0.0625 , s = 3
[4] h = 0.015625 , s = 4.5
[5] h = 0.00390625 , s = 3.75
[6] h = 0.000976562 , s = 4.125
[7] h = 0.000244141 , s = 3.9375
[8] h = 6.10352e-05 , s = 4.03125
[9] h = 1.52588e-05 , s = 3.98438
[10] h = 3.8147e-06 , s = 4.00781
[11] h = 9.53674e-07 , s = 3.99609
[12] h = 2.38419e-07 , s = 4.00195
[13] h = 5.96046e-08 , s = 3.99902
[14] h = 1.49012e-08 , s = 4.00049
[15] h = 3.72529e-09 , s = 3.99976
[16] h = 9.31323e-10 , s = 4.00012
[17] h = 2.32831e-10 , s = 3.99994
[18] h = 5.82077e-11 , s = 4.00003
[19] h = 1.45519e-11 , s = 3.99998
[20] h = 3.63798e-12 , s = 4.00001
[#1] INFO:Caching -- RooAbsCachedPdf::getCache(model) creating new cache 0x21c79b60 with pdf gx_CONV_model_mean_CACHE_Obs[mean,x]_NORM_mean for nset (mean) with code 0
[#0] WARNING:Eval -- The FFT convolution 'model' will run with 50 bins. A decent accuracy for difficult convolutions is typically only reached with n >= 1000. Suggest to increase the number of bins of the observable 'mean'.
[#1] INFO:NumericIntegration -- RooRealIntegral::init(gx_Int[mean,x]) using numeric integrator RooIntegrator1D to calculate Int(mean)
[#1] INFO:NumericIntegration -- RooRealIntegral::init(model_mean_Int[mean]) using numeric integrator RooIntegrator1D to calculate Int(mean)
[#0] WARNING:Integration -- RooRombergIntegrator::integral: integral of model_mean over range (-6,6) did not converge after 20 steps
[1] h = 1 , s = 0
[2] h = 0.25 , s = 6
[3] h = 0.0625 , s = 3
[4] h = 0.015625 , s = 4.5
[5] h = 0.00390625 , s = 3.75
[6] h = 0.000976562 , s = 4.125
[7] h = 0.000244141 , s = 3.9375
[8] h = 6.10352e-05 , s = 4.03125
[9] h = 1.52588e-05 , s = 3.98438
[10] h = 3.8147e-06 , s = 4.00781
[11] h = 9.53674e-07 , s = 3.99609
[12] h = 2.38419e-07 , s = 4.00195
[13] h = 5.96046e-08 , s = 3.99902
[14] h = 1.49012e-08 , s = 4.00049
[15] h = 3.72529e-09 , s = 3.99976
[16] h = 9.31323e-10 , s = 4.00012
[17] h = 2.32831e-10 , s = 3.99994
[18] h = 5.82077e-11 , s = 4.00003
[19] h = 1.45519e-11 , s = 3.99998
[20] h = 3.63798e-12 , s = 4.00001
[#1] INFO:Caching -- RooAbsCachedPdf::getCache(model) creating new cache 0x23580a80 with pdf gx_CONV_model_mean_CACHE_Obs[x,mean]_NORM_x_mean for nset (x,mean) with code 1
[#0] WARNING:Eval -- The FFT convolution 'model' will run with 50 bins. A decent accuracy for difficult convolutions is typically only reached with n >= 1000. Suggest to increase the number of bins of the observable 'mean'.
[#1] INFO:Caching -- RooAbsCachedPdf::getCache(model) creating new cache 0x23580a80 with pdf gx_CONV_model_mean_CACHE_Obs[x,mean]_NORM_x_mean for nset (x,mean) with code 1 from preexisting content.
[#1] INFO:Fitting -- RooAbsPdf::fitTo(model_Int[mean]_Norm[mean,x]) fixing normalization set for coefficient determination to observables in data
[#1] INFO:Fitting -- using CPU computation library compiled with -mavx512
[#1] INFO:Fitting -- RooAddition::defaultErrorLevel(nll_model_Int[mean]_Norm[mean,x]_genData) Summation contains a RooNLLVar, using its error level
[#1] INFO:Minimization -- RooAbsMinimizerFcn::setOptimizeConst: activating const optimization
[#0] WARNING:Minimization -- RooAbsMinimizerFcn::synchronize: WARNING: no initial error estimate available for a: using 0.5
[#0] WARNING:Minimization -- RooAbsMinimizerFcn::synchronize: WARNING: no initial error estimate available for mean: using 0.6
[#0] WARNING:Minimization -- RooAbsMinimizerFcn::synchronize: WARNING: no initial error estimate available for sigma: using 0.2
sigma=0.5, [#0] WARNING:Eval -- The FFT convolution 'model' will run with 50 bins. A decent accuracy for difficult convolutions is typically only reached with n >= 1000. Suggest to increase the number of bins of the observable 'mean'.
[#1] INFO:NumericIntegration -- RooRealIntegral::init(model_mean_Int[mean]) using numeric integrator RooIntegrator1D to calculate Int(mean)
[#0] WARNING:Integration -- RooRombergIntegrator::integral: integral of model_mean over range (-6,6) did not converge after 20 steps
[1] h = 1 , s = 0
[2] h = 0.25 , s = 6
[3] h = 0.0625 , s = 3
[4] h = 0.015625 , s = 4.5
[5] h = 0.00390625 , s = 3.75
[6] h = 0.000976562 , s = 4.125
[7] h = 0.000244141 , s = 3.9375
[8] h = 6.10352e-05 , s = 4.03125
[9] h = 1.52588e-05 , s = 3.98438
[10] h = 3.8147e-06 , s = 4.00781
[11] h = 9.53674e-07 , s = 3.99609
[12] h = 2.38419e-07 , s = 4.00195
[13] h = 5.96046e-08 , s = 3.99902
[14] h = 1.49012e-08 , s = 4.00049
[15] h = 3.72529e-09 , s = 3.99976
[16] h = 9.31323e-10 , s = 4.00012
[17] h = 2.32831e-10 , s = 3.99994
[18] h = 5.82077e-11 , s = 4.00003
[19] h = 1.45519e-11 , s = 3.99998
[20] h = 3.63798e-12 , s = 4.00001
[#1] INFO:Caching -- RooAbsCachedPdf::getCache(model) creating new cache 0x23c6b520 with pdf gx_CONV_model_mean_CACHE_Obs[mean] for nset () with code 2
[#1] INFO:NumericIntegration -- RooRealIntegral::init(gx_Int[mean,x]) using numeric integrator RooIntegrator1D to calculate Int(mean)
[#1] INFO:NumericIntegration -- RooRealIntegral::init(model_mean_Int[mean]) using numeric integrator RooIntegrator1D to calculate Int(mean)
[#0] WARNING:Integration -- RooRombergIntegrator::integral: integral of model_mean over range (-6,6) did not converge after 20 steps
[1] h = 1 , s = 0
[2] h = 0.25 , s = 6
[3] h = 0.0625 , s = 3
[4] h = 0.015625 , s = 4.5
[5] h = 0.00390625 , s = 3.75
[6] h = 0.000976562 , s = 4.125
[7] h = 0.000244141 , s = 3.9375
[8] h = 6.10352e-05 , s = 4.03125
[9] h = 1.52588e-05 , s = 3.98438
[10] h = 3.8147e-06 , s = 4.00781
[11] h = 9.53674e-07 , s = 3.99609
[12] h = 2.38419e-07 , s = 4.00195
[13] h = 5.96046e-08 , s = 3.99902
[14] h = 1.49012e-08 , s = 4.00049
[15] h = 3.72529e-09 , s = 3.99976
[16] h = 9.31323e-10 , s = 4.00012
[17] h = 2.32831e-10 , s = 3.99994
[18] h = 5.82077e-11 , s = 4.00003
[19] h = 1.45519e-11 , s = 3.99998
[20] h = 3.63798e-12 , s = 4.00001
prevFCN = 2171.275755 a=2.017,
prevFCN = 2171.275755 a=1.983,
prevFCN = 2171.275755 a=2.172,
prevFCN = 2171.861215 a=1.84, [#0] WARNING:Integration -- RooRombergIntegrator::integral: integral of model_mean over range (-6,6) did not converge after 20 steps
[1] h = 1 , s = 0
[2] h = 0.25 , s = 6
[3] h = 0.0625 , s = 3
[4] h = 0.01562 , s = 4.5
[5] h = 0.003906 , s = 3.75
[6] h = 0.0009766 , s = 3.375
[7] h = 0.0002441 , s = 3.562
[8] h = 6.104e-05 , s = 3.656
[9] h = 1.526e-05 , s = 3.703
[10] h = 3.815e-06 , s = 3.68
[11] h = 9.537e-07 , s = 3.691
[12] h = 2.384e-07 , s = 3.686
[13] h = 5.96e-08 , s = 3.683
[14] h = 1.49e-08 , s = 3.681
[15] h = 3.725e-09 , s = 3.68
[16] h = 9.313e-10 , s = 3.68
[17] h = 2.328e-10 , s = 3.68
[18] h = 5.821e-11 , s = 3.68
[19] h = 1.455e-11 , s = 3.68
[20] h = 3.638e-12 , s = 3.68
[#0] WARNING:Integration -- RooRombergIntegrator::integral: integral of model_mean over range (-6,6) did not converge after 20 steps
[1] h = 1 , s = 0
[2] h = 0.25 , s = 6
[3] h = 0.0625 , s = 3
[4] h = 0.01562 , s = 4.5
[5] h = 0.003906 , s = 3.75
[6] h = 0.0009766 , s = 3.375
[7] h = 0.0002441 , s = 3.562
[8] h = 6.104e-05 , s = 3.656
[9] h = 1.526e-05 , s = 3.703
[10] h = 3.815e-06 , s = 3.68
[11] h = 9.537e-07 , s = 3.691
[12] h = 2.384e-07 , s = 3.686
[13] h = 5.96e-08 , s = 3.683
[14] h = 1.49e-08 , s = 3.681
[15] h = 3.725e-09 , s = 3.68
[16] h = 9.313e-10 , s = 3.68
[17] h = 2.328e-10 , s = 3.68
[18] h = 5.821e-11 , s = 3.68
[19] h = 1.455e-11 , s = 3.68
[20] h = 3.638e-12 , s = 3.68
prevFCN = 2174.775121 a=2.017,
prevFCN = 2171.275755 a=1.983,
prevFCN = 2171.275755 a=2, mean=0.01944, [#0] WARNING:Integration -- RooRombergIntegrator::integral: integral of model_mean over range (-6,6) did not converge after 20 steps
[1] h = 1 , s = 0
[2] h = 0.25 , s = 6
[3] h = 0.0625 , s = 3
[4] h = 0.01562 , s = 4.5
[5] h = 0.003906 , s = 3.75
[6] h = 0.0009766 , s = 4.125
[7] h = 0.0002441 , s = 3.938
[8] h = 6.104e-05 , s = 4.031
[9] h = 1.526e-05 , s = 3.984
[10] h = 3.815e-06 , s = 4.008
[11] h = 9.537e-07 , s = 3.996
[12] h = 2.384e-07 , s = 4.002
[13] h = 5.96e-08 , s = 3.999
[14] h = 1.49e-08 , s = 4
[15] h = 3.725e-09 , s = 4
[16] h = 9.313e-10 , s = 4
[17] h = 2.328e-10 , s = 4
[18] h = 5.821e-11 , s = 4
[19] h = 1.455e-11 , s = 4
[20] h = 3.638e-12 , s = 4
[#0] WARNING:Integration -- RooRombergIntegrator::integral: integral of model_mean over range (-6,6) did not converge after 20 steps
[1] h = 1 , s = 0
[2] h = 0.25 , s = 6
[3] h = 0.0625 , s = 3
[4] h = 0.01562 , s = 4.5
[5] h = 0.003906 , s = 3.75
[6] h = 0.0009766 , s = 4.125
[7] h = 0.0002441 , s = 3.938
[8] h = 6.104e-05 , s = 4.031
[9] h = 1.526e-05 , s = 3.984
[10] h = 3.815e-06 , s = 4.008
[11] h = 9.537e-07 , s = 3.996
[12] h = 2.384e-07 , s = 4.002
[13] h = 5.96e-08 , s = 3.999
[14] h = 1.49e-08 , s = 4
[15] h = 3.725e-09 , s = 4
[16] h = 9.313e-10 , s = 4
[17] h = 2.328e-10 , s = 4
[18] h = 5.821e-11 , s = 4
[19] h = 1.455e-11 , s = 4
[20] h = 3.638e-12 , s = 4
prevFCN = 2171.275755 mean=-0.01944,
prevFCN = 2171.275755 mean=0.1943,
prevFCN = 2171.275755 mean=-0.1943,
prevFCN = 2171.275755 mean=0, sigma=0.5067,
prevFCN = 2171.291807 sigma=0.4934,
prevFCN = 2171.265264 sigma=0.5029,
prevFCN = 2171.281998 sigma=0.4971,
prevFCN = 2171.270547 sigma=0.4843,
prevFCN = 2171.259881 a=2.172,
prevFCN = 2171.692149 a=1.84, [#0] WARNING:Integration -- RooRombergIntegrator::integral: integral of model_mean over range (-6,6) did not converge after 20 steps
[1] h = 1 , s = 0
[2] h = 0.25 , s = 6
[3] h = 0.0625 , s = 3
[4] h = 0.01562 , s = 4.5
[5] h = 0.003906 , s = 3.75
[6] h = 0.0009766 , s = 3.375
[7] h = 0.0002441 , s = 3.562
[8] h = 6.104e-05 , s = 3.656
[9] h = 1.526e-05 , s = 3.703
[10] h = 3.815e-06 , s = 3.68
[11] h = 9.537e-07 , s = 3.691
[12] h = 2.384e-07 , s = 3.686
[13] h = 5.96e-08 , s = 3.683
[14] h = 1.49e-08 , s = 3.681
[15] h = 3.725e-09 , s = 3.68
[16] h = 9.313e-10 , s = 3.68
[17] h = 2.328e-10 , s = 3.68
[18] h = 5.821e-11 , s = 3.68
[19] h = 1.455e-11 , s = 3.68
[20] h = 3.638e-12 , s = 3.68
[#0] WARNING:Integration -- RooRombergIntegrator::integral: integral of model_mean over range (-6,6) did not converge after 20 steps
[1] h = 1 , s = 0
[2] h = 0.25 , s = 6
[3] h = 0.0625 , s = 3
[4] h = 0.01562 , s = 4.5
[5] h = 0.003906 , s = 3.75
[6] h = 0.0009766 , s = 3.375
[7] h = 0.0002441 , s = 3.562
[8] h = 6.104e-05 , s = 3.656
[9] h = 1.526e-05 , s = 3.703
[10] h = 3.815e-06 , s = 3.68
[11] h = 9.537e-07 , s = 3.691
[12] h = 2.384e-07 , s = 3.686
[13] h = 5.96e-08 , s = 3.683
[14] h = 1.49e-08 , s = 3.681
[15] h = 3.725e-09 , s = 3.68
[16] h = 9.313e-10 , s = 3.68
[17] h = 2.328e-10 , s = 3.68
[18] h = 5.821e-11 , s = 3.68
[19] h = 1.455e-11 , s = 3.68
[20] h = 3.638e-12 , s = 3.68
prevFCN = 2175.249474 a=2.017,
prevFCN = 2171.259881 a=1.983,
prevFCN = 2171.259881 a=2.172,
prevFCN = 2171.692149 a=1.84, [#0] WARNING:Integration -- RooRombergIntegrator::integral: integral of model_mean over range (-6,6) did not converge after 20 steps
[1] h = 1 , s = 0
[2] h = 0.25 , s = 6
[3] h = 0.0625 , s = 3
[4] h = 0.01562 , s = 4.5
[5] h = 0.003906 , s = 3.75
[6] h = 0.0009766 , s = 3.375
[7] h = 0.0002441 , s = 3.562
[8] h = 6.104e-05 , s = 3.656
[9] h = 1.526e-05 , s = 3.703
[10] h = 3.815e-06 , s = 3.68
[11] h = 9.537e-07 , s = 3.691
[12] h = 2.384e-07 , s = 3.686
[13] h = 5.96e-08 , s = 3.683
[14] h = 1.49e-08 , s = 3.681
[15] h = 3.725e-09 , s = 3.68
[16] h = 9.313e-10 , s = 3.68
[17] h = 2.328e-10 , s = 3.68
[18] h = 5.821e-11 , s = 3.68
[19] h = 1.455e-11 , s = 3.68
[20] h = 3.638e-12 , s = 3.68
[#0] WARNING:Integration -- RooRombergIntegrator::integral: integral of model_mean over range (-6,6) did not converge after 20 steps
[1] h = 1 , s = 0
[2] h = 0.25 , s = 6
[3] h = 0.0625 , s = 3
[4] h = 0.01562 , s = 4.5
[5] h = 0.003906 , s = 3.75
[6] h = 0.0009766 , s = 3.375
[7] h = 0.0002441 , s = 3.562
[8] h = 6.104e-05 , s = 3.656
[9] h = 1.526e-05 , s = 3.703
[10] h = 3.815e-06 , s = 3.68
[11] h = 9.537e-07 , s = 3.691
[12] h = 2.384e-07 , s = 3.686
[13] h = 5.96e-08 , s = 3.683
[14] h = 1.49e-08 , s = 3.681
[15] h = 3.725e-09 , s = 3.68
[16] h = 9.313e-10 , s = 3.68
[17] h = 2.328e-10 , s = 3.68
[18] h = 5.821e-11 , s = 3.68
[19] h = 1.455e-11 , s = 3.68
[20] h = 3.638e-12 , s = 3.68
prevFCN = 2175.249474 a=2, mean=1.438, [#0] WARNING:Integration -- RooRombergIntegrator::integral: integral of model_mean over range (-6,6) did not converge after 20 steps
[1] h = 1 , s = 0
[2] h = 0.25 , s = 6
[3] h = 0.0625 , s = 3
[4] h = 0.01562 , s = 4.5
[5] h = 0.003906 , s = 3.75
[6] h = 0.0009766 , s = 4.125
[7] h = 0.0002441 , s = 3.938
[8] h = 6.104e-05 , s = 4.031
[9] h = 1.526e-05 , s = 3.984
[10] h = 3.815e-06 , s = 4.008
[11] h = 9.537e-07 , s = 3.996
[12] h = 2.384e-07 , s = 4.002
[13] h = 5.96e-08 , s = 3.999
[14] h = 1.49e-08 , s = 4
[15] h = 3.725e-09 , s = 4
[16] h = 9.313e-10 , s = 4
[17] h = 2.328e-10 , s = 4
[18] h = 5.821e-11 , s = 4
[19] h = 1.455e-11 , s = 4
[20] h = 3.638e-12 , s = 4
[#0] WARNING:Integration -- RooRombergIntegrator::integral: integral of model_mean over range (-6,6) did not converge after 20 steps
[1] h = 1 , s = 0
[2] h = 0.25 , s = 6
[3] h = 0.0625 , s = 3
[4] h = 0.01562 , s = 4.5
[5] h = 0.003906 , s = 3.75
[6] h = 0.0009766 , s = 4.125
[7] h = 0.0002441 , s = 3.938
[8] h = 6.104e-05 , s = 4.031
[9] h = 1.526e-05 , s = 3.984
[10] h = 3.815e-06 , s = 4.008
[11] h = 9.537e-07 , s = 3.996
[12] h = 2.384e-07 , s = 4.002
[13] h = 5.96e-08 , s = 3.999
[14] h = 1.49e-08 , s = 4
[15] h = 3.725e-09 , s = 4
[16] h = 9.313e-10 , s = 4
[17] h = 2.328e-10 , s = 4
[18] h = 5.821e-11 , s = 4
[19] h = 1.455e-11 , s = 4
[20] h = 3.638e-12 , s = 4
prevFCN = 2171.259881 mean=-1.438,
prevFCN = 2171.259881 mean=0, sigma=0.4871,
prevFCN = 2171.26042 sigma=0.4815,
prevFCN = 2171.260367 a=2.003, sigma=0.4688,
prevFCN = 2171.275519 a=2.001, sigma=0.479,
prevFCN = 2171.261603 a=2, sigma=0.482,
prevFCN = 2171.260187 a=2, sigma=0.4832,
prevFCN = 2171.259943 a=2, sigma=0.4838,
prevFCN = 2171.259893 a=2, sigma=0.484,
prevFCN = 2171.259883 a=2, sigma=0.4841,
prevFCN = 2171.259881 a=2, sigma=0.4842, [#0] WARNING:Integration -- RooRombergIntegrator::integral: integral of model_mean over range (-6,6) did not converge after 20 steps
[1] h = 1 , s = 0
[2] h = 0.25 , s = 6
[3] h = 0.0625 , s = 3
[4] h = 0.01562 , s = 4.5
[5] h = 0.003906 , s = 3.75
[6] h = 0.0009766 , s = 4.125
[7] h = 0.0002441 , s = 3.938
[8] h = 6.104e-05 , s = 4.031
[9] h = 1.526e-05 , s = 3.984
[10] h = 3.815e-06 , s = 4.008
[11] h = 9.537e-07 , s = 3.996
[12] h = 2.384e-07 , s = 4.002
[13] h = 5.96e-08 , s = 3.999
[14] h = 1.49e-08 , s = 4
[15] h = 3.725e-09 , s = 4
[16] h = 9.313e-10 , s = 4
[17] h = 2.328e-10 , s = 4
[18] h = 5.821e-11 , s = 4
[19] h = 1.455e-11 , s = 4
[20] h = 3.638e-12 , s = 4
[#0] WARNING:Integration -- RooRombergIntegrator::integral: integral of model_mean over range (-6,6) did not converge after 20 steps
[1] h = 1 , s = 0
[2] h = 0.25 , s = 6
[3] h = 0.0625 , s = 3
[4] h = 0.01562 , s = 4.5
[5] h = 0.003906 , s = 3.75
[6] h = 0.0009766 , s = 4.125
[7] h = 0.0002441 , s = 3.938
[8] h = 6.104e-05 , s = 4.031
[9] h = 1.526e-05 , s = 3.984
[10] h = 3.815e-06 , s = 4.008
[11] h = 9.537e-07 , s = 3.996
[12] h = 2.384e-07 , s = 4.002
[13] h = 5.96e-08 , s = 3.999
[14] h = 1.49e-08 , s = 4
[15] h = 3.725e-09 , s = 4
[16] h = 9.313e-10 , s = 4
[17] h = 2.328e-10 , s = 4
[18] h = 5.821e-11 , s = 4
[19] h = 1.455e-11 , s = 4
[20] h = 3.638e-12 , s = 4
prevFCN = 2171.25988 a=2.017,
prevFCN = 2171.25988 a=1.983,
prevFCN = 2171.25988 a=2.172,
prevFCN = 2171.691427 a=1.84, [#0] WARNING:Integration -- RooRombergIntegrator::integral: integral of model_mean over range (-6,6) did not converge after 20 steps
[1] h = 1 , s = 0
[2] h = 0.25 , s = 6
[3] h = 0.0625 , s = 3
[4] h = 0.01562 , s = 4.5
[5] h = 0.003906 , s = 3.75
[6] h = 0.0009766 , s = 3.375
[7] h = 0.0002441 , s = 3.562
[8] h = 6.104e-05 , s = 3.656
[9] h = 1.526e-05 , s = 3.703
[10] h = 3.815e-06 , s = 3.68
[11] h = 9.537e-07 , s = 3.691
[12] h = 2.384e-07 , s = 3.686
[13] h = 5.96e-08 , s = 3.683
[14] h = 1.49e-08 , s = 3.681
[15] h = 3.725e-09 , s = 3.68
[16] h = 9.313e-10 , s = 3.68
[17] h = 2.328e-10 , s = 3.68
[18] h = 5.821e-11 , s = 3.68
[19] h = 1.455e-11 , s = 3.68
[20] h = 3.638e-12 , s = 3.68
[#0] WARNING:Integration -- RooRombergIntegrator::integral: integral of model_mean over range (-6,6) did not converge after 20 steps
[1] h = 1 , s = 0
[2] h = 0.25 , s = 6
[3] h = 0.0625 , s = 3
[4] h = 0.01562 , s = 4.5
[5] h = 0.003906 , s = 3.75
[6] h = 0.0009766 , s = 3.375
[7] h = 0.0002441 , s = 3.562
[8] h = 6.104e-05 , s = 3.656
[9] h = 1.526e-05 , s = 3.703
[10] h = 3.815e-06 , s = 3.68
[11] h = 9.537e-07 , s = 3.691
[12] h = 2.384e-07 , s = 3.686
[13] h = 5.96e-08 , s = 3.683
[14] h = 1.49e-08 , s = 3.681
[15] h = 3.725e-09 , s = 3.68
[16] h = 9.313e-10 , s = 3.68
[17] h = 2.328e-10 , s = 3.68
[18] h = 5.821e-11 , s = 3.68
[19] h = 1.455e-11 , s = 3.68
[20] h = 3.638e-12 , s = 3.68
prevFCN = 2175.251788 a=2.017,
prevFCN = 2171.25988 a=1.983,
prevFCN = 2171.25988 a=2, mean=1.438, [#0] WARNING:Integration -- RooRombergIntegrator::integral: integral of model_mean over range (-6,6) did not converge after 20 steps
[1] h = 1 , s = 0
[2] h = 0.25 , s = 6
[3] h = 0.0625 , s = 3
[4] h = 0.01562 , s = 4.5
[5] h = 0.003906 , s = 3.75
[6] h = 0.0009766 , s = 4.125
[7] h = 0.0002441 , s = 3.938
[8] h = 6.104e-05 , s = 4.031
[9] h = 1.526e-05 , s = 3.984
[10] h = 3.815e-06 , s = 4.008
[11] h = 9.537e-07 , s = 3.996
[12] h = 2.384e-07 , s = 4.002
[13] h = 5.96e-08 , s = 3.999
[14] h = 1.49e-08 , s = 4
[15] h = 3.725e-09 , s = 4
[16] h = 9.313e-10 , s = 4
[17] h = 2.328e-10 , s = 4
[18] h = 5.821e-11 , s = 4
[19] h = 1.455e-11 , s = 4
[20] h = 3.638e-12 , s = 4
[#0] WARNING:Integration -- RooRombergIntegrator::integral: integral of model_mean over range (-6,6) did not converge after 20 steps
[1] h = 1 , s = 0
[2] h = 0.25 , s = 6
[3] h = 0.0625 , s = 3
[4] h = 0.01562 , s = 4.5
[5] h = 0.003906 , s = 3.75
[6] h = 0.0009766 , s = 4.125
[7] h = 0.0002441 , s = 3.938
[8] h = 6.104e-05 , s = 4.031
[9] h = 1.526e-05 , s = 3.984
[10] h = 3.815e-06 , s = 4.008
[11] h = 9.537e-07 , s = 3.996
[12] h = 2.384e-07 , s = 4.002
[13] h = 5.96e-08 , s = 3.999
[14] h = 1.49e-08 , s = 4
[15] h = 3.725e-09 , s = 4
[16] h = 9.313e-10 , s = 4
[17] h = 2.328e-10 , s = 4
[18] h = 5.821e-11 , s = 4
[19] h = 1.455e-11 , s = 4
[20] h = 3.638e-12 , s = 4
prevFCN = 2171.25988 mean=-1.438,
prevFCN = 2171.25988 mean=0, sigma=0.487,
prevFCN = 2171.260398 sigma=0.4814,
prevFCN = 2171.260398 sigma=0.4842,
prevFCN = 2171.25988 a=2.017,
prevFCN = 2171.25988 a=1.983,
prevFCN = 2171.25988 a=2.172,
prevFCN = 2171.691427 a=1.84, [#0] WARNING:Integration -- RooRombergIntegrator::integral: integral of model_mean over range (-6,6) did not converge after 20 steps
[1] h = 1 , s = 0
[2] h = 0.25 , s = 6
[3] h = 0.0625 , s = 3
[4] h = 0.01562 , s = 4.5
[5] h = 0.003906 , s = 3.75
[6] h = 0.0009766 , s = 3.375
[7] h = 0.0002441 , s = 3.562
[8] h = 6.104e-05 , s = 3.656
[9] h = 1.526e-05 , s = 3.703
[10] h = 3.815e-06 , s = 3.68
[11] h = 9.537e-07 , s = 3.691
[12] h = 2.384e-07 , s = 3.686
[13] h = 5.96e-08 , s = 3.683
[14] h = 1.49e-08 , s = 3.681
[15] h = 3.725e-09 , s = 3.68
[16] h = 9.313e-10 , s = 3.68
[17] h = 2.328e-10 , s = 3.68
[18] h = 5.821e-11 , s = 3.68
[19] h = 1.455e-11 , s = 3.68
[20] h = 3.638e-12 , s = 3.68
[#0] WARNING:Integration -- RooRombergIntegrator::integral: integral of model_mean over range (-6,6) did not converge after 20 steps
[1] h = 1 , s = 0
[2] h = 0.25 , s = 6
[3] h = 0.0625 , s = 3
[4] h = 0.01562 , s = 4.5
[5] h = 0.003906 , s = 3.75
[6] h = 0.0009766 , s = 3.375
[7] h = 0.0002441 , s = 3.562
[8] h = 6.104e-05 , s = 3.656
[9] h = 1.526e-05 , s = 3.703
[10] h = 3.815e-06 , s = 3.68
[11] h = 9.537e-07 , s = 3.691
[12] h = 2.384e-07 , s = 3.686
[13] h = 5.96e-08 , s = 3.683
[14] h = 1.49e-08 , s = 3.681
[15] h = 3.725e-09 , s = 3.68
[16] h = 9.313e-10 , s = 3.68
[17] h = 2.328e-10 , s = 3.68
[18] h = 5.821e-11 , s = 3.68
[19] h = 1.455e-11 , s = 3.68
[20] h = 3.638e-12 , s = 3.68
prevFCN = 2175.251788 a=2.083,
prevFCN = 2171.25988 a=1.92,
prevFCN = 2172.379556 a=2, mean=1.438, [#0] WARNING:Integration -- RooRombergIntegrator::integral: integral of model_mean over range (-6,6) did not converge after 20 steps
[1] h = 1 , s = 0
[2] h = 0.25 , s = 6
[3] h = 0.0625 , s = 3
[4] h = 0.01562 , s = 4.5
[5] h = 0.003906 , s = 3.75
[6] h = 0.0009766 , s = 4.125
[7] h = 0.0002441 , s = 3.938
[8] h = 6.104e-05 , s = 4.031
[9] h = 1.526e-05 , s = 3.984
[10] h = 3.815e-06 , s = 4.008
[11] h = 9.537e-07 , s = 3.996
[12] h = 2.384e-07 , s = 4.002
[13] h = 5.96e-08 , s = 3.999
[14] h = 1.49e-08 , s = 4
[15] h = 3.725e-09 , s = 4
[16] h = 9.313e-10 , s = 4
[17] h = 2.328e-10 , s = 4
[18] h = 5.821e-11 , s = 4
[19] h = 1.455e-11 , s = 4
[20] h = 3.638e-12 , s = 4
[#0] WARNING:Integration -- RooRombergIntegrator::integral: integral of model_mean over range (-6,6) did not converge after 20 steps
[1] h = 1 , s = 0
[2] h = 0.25 , s = 6
[3] h = 0.0625 , s = 3
[4] h = 0.01562 , s = 4.5
[5] h = 0.003906 , s = 3.75
[6] h = 0.0009766 , s = 4.125
[7] h = 0.0002441 , s = 3.938
[8] h = 6.104e-05 , s = 4.031
[9] h = 1.526e-05 , s = 3.984
[10] h = 3.815e-06 , s = 4.008
[11] h = 9.537e-07 , s = 3.996
[12] h = 2.384e-07 , s = 4.002
[13] h = 5.96e-08 , s = 3.999
[14] h = 1.49e-08 , s = 4
[15] h = 3.725e-09 , s = 4
[16] h = 9.313e-10 , s = 4
[17] h = 2.328e-10 , s = 4
[18] h = 5.821e-11 , s = 4
[19] h = 1.455e-11 , s = 4
[20] h = 3.638e-12 , s = 4
prevFCN = 2171.25988 mean=-1.438,
prevFCN = 2171.25988 mean=1.465,
prevFCN = 2171.25988 mean=-1.465,
prevFCN = 2171.25988 mean=0, [#0] WARNING:Minimization -- RooAbsMinimizerFcn::synchronize: WARNING: no initial error estimate available for a: using 0.5
[#1] INFO:Minimization -- RooAbsMinimizerFcn::synchronize: value of parameter a changed from 2 to 2
[#1] INFO:Minimization -- RooAbsMinimizerFcn::synchronize: error/step size of parameter a changed from 0.5 to 0.5
[#0] WARNING:Minimization -- RooAbsMinimizerFcn::synchronize: WARNING: no initial error estimate available for mean: using 0.6
[#0] WARNING:Minimization -- RooAbsMinimizerFcn::synchronize: WARNING: no initial error estimate available for sigma: using 0.1921
[#1] INFO:Minimization -- RooAbsMinimizerFcn::synchronize: value of parameter sigma changed from 0.5 to 0.4842
[#1] INFO:Minimization -- RooAbsMinimizerFcn::synchronize: error/step size of parameter sigma changed from 0.2 to 0.1921
prevFCN = 2171.25988 a=2.017,
prevFCN = 2171.25988 a=1.983,
prevFCN = 2171.25988 a=2.172,
prevFCN = 2171.691427 a=1.84, [#0] WARNING:Integration -- RooRombergIntegrator::integral: integral of model_mean over range (-6,6) did not converge after 20 steps
[1] h = 1 , s = 0
[2] h = 0.25 , s = 6
[3] h = 0.0625 , s = 3
[4] h = 0.01562 , s = 4.5
[5] h = 0.003906 , s = 3.75
[6] h = 0.0009766 , s = 3.375
[7] h = 0.0002441 , s = 3.562
[8] h = 6.104e-05 , s = 3.656
[9] h = 1.526e-05 , s = 3.703
[10] h = 3.815e-06 , s = 3.68
[11] h = 9.537e-07 , s = 3.691
[12] h = 2.384e-07 , s = 3.686
[13] h = 5.96e-08 , s = 3.683
[14] h = 1.49e-08 , s = 3.681
[15] h = 3.725e-09 , s = 3.68
[16] h = 9.313e-10 , s = 3.68
[17] h = 2.328e-10 , s = 3.68
[18] h = 5.821e-11 , s = 3.68
[19] h = 1.455e-11 , s = 3.68
[20] h = 3.638e-12 , s = 3.68
[#0] WARNING:Integration -- RooRombergIntegrator::integral: integral of model_mean over range (-6,6) did not converge after 20 steps
[1] h = 1 , s = 0
[2] h = 0.25 , s = 6
[3] h = 0.0625 , s = 3
[4] h = 0.01562 , s = 4.5
[5] h = 0.003906 , s = 3.75
[6] h = 0.0009766 , s = 3.375
[7] h = 0.0002441 , s = 3.562
[8] h = 6.104e-05 , s = 3.656
[9] h = 1.526e-05 , s = 3.703
[10] h = 3.815e-06 , s = 3.68
[11] h = 9.537e-07 , s = 3.691
[12] h = 2.384e-07 , s = 3.686
[13] h = 5.96e-08 , s = 3.683
[14] h = 1.49e-08 , s = 3.681
[15] h = 3.725e-09 , s = 3.68
[16] h = 9.313e-10 , s = 3.68
[17] h = 2.328e-10 , s = 3.68
[18] h = 5.821e-11 , s = 3.68
[19] h = 1.455e-11 , s = 3.68
[20] h = 3.638e-12 , s = 3.68
prevFCN = 2175.251788 a=2.083,
prevFCN = 2171.25988 a=1.92,
prevFCN = 2172.379556 a=2, mean=1.438, [#0] WARNING:Integration -- RooRombergIntegrator::integral: integral of model_mean over range (-6,6) did not converge after 20 steps
[1] h = 1 , s = 0
[2] h = 0.25 , s = 6
[3] h = 0.0625 , s = 3
[4] h = 0.01562 , s = 4.5
[5] h = 0.003906 , s = 3.75
[6] h = 0.0009766 , s = 4.125
[7] h = 0.0002441 , s = 3.938
[8] h = 6.104e-05 , s = 4.031
[9] h = 1.526e-05 , s = 3.984
[10] h = 3.815e-06 , s = 4.008
[11] h = 9.537e-07 , s = 3.996
[12] h = 2.384e-07 , s = 4.002
[13] h = 5.96e-08 , s = 3.999
[14] h = 1.49e-08 , s = 4
[15] h = 3.725e-09 , s = 4
[16] h = 9.313e-10 , s = 4
[17] h = 2.328e-10 , s = 4
[18] h = 5.821e-11 , s = 4
[19] h = 1.455e-11 , s = 4
[20] h = 3.638e-12 , s = 4
[#0] WARNING:Integration -- RooRombergIntegrator::integral: integral of model_mean over range (-6,6) did not converge after 20 steps
[1] h = 1 , s = 0
[2] h = 0.25 , s = 6
[3] h = 0.0625 , s = 3
[4] h = 0.01562 , s = 4.5
[5] h = 0.003906 , s = 3.75
[6] h = 0.0009766 , s = 4.125
[7] h = 0.0002441 , s = 3.938
[8] h = 6.104e-05 , s = 4.031
[9] h = 1.526e-05 , s = 3.984
[10] h = 3.815e-06 , s = 4.008
[11] h = 9.537e-07 , s = 3.996
[12] h = 2.384e-07 , s = 4.002
[13] h = 5.96e-08 , s = 3.999
[14] h = 1.49e-08 , s = 4
[15] h = 3.725e-09 , s = 4
[16] h = 9.313e-10 , s = 4
[17] h = 2.328e-10 , s = 4
[18] h = 5.821e-11 , s = 4
[19] h = 1.455e-11 , s = 4
[20] h = 3.638e-12 , s = 4
prevFCN = 2171.25988 mean=-1.438,
prevFCN = 2171.25988 mean=1.465,
prevFCN = 2171.25988 mean=-1.465,
prevFCN = 2171.25988 mean=0, [#1] INFO:Minimization -- RooAbsMinimizerFcn::setOptimizeConst: deactivating const optimization
[#0] WARNING:Eval -- The FFT convolution 'model' will run with 50 bins. A decent accuracy for difficult convolutions is typically only reached with n >= 1000. Suggest to increase the number of bins of the observable 'mean'.
[#1] INFO:NumericIntegration -- RooRealIntegral::init(gx_Int[mean,x]) using numeric integrator RooIntegrator1D to calculate Int(mean)
[#1] INFO:NumericIntegration -- RooRealIntegral::init(model_mean_Int[mean]) using numeric integrator RooIntegrator1D to calculate Int(mean)
[#0] WARNING:Integration -- RooRombergIntegrator::integral: integral of model_mean over range (-6,6) did not converge after 20 steps
[1] h = 1 , s = 0
[2] h = 0.25 , s = 6
[3] h = 0.0625 , s = 3
[4] h = 0.01562 , s = 4.5
[5] h = 0.003906 , s = 3.75
[6] h = 0.0009766 , s = 4.125
[7] h = 0.0002441 , s = 3.938
[8] h = 6.104e-05 , s = 4.031
[9] h = 1.526e-05 , s = 3.984
[10] h = 3.815e-06 , s = 4.008
[11] h = 9.537e-07 , s = 3.996
[12] h = 2.384e-07 , s = 4.002
[13] h = 5.96e-08 , s = 3.999
[14] h = 1.49e-08 , s = 4
[15] h = 3.725e-09 , s = 4
[16] h = 9.313e-10 , s = 4
[17] h = 2.328e-10 , s = 4
[18] h = 5.821e-11 , s = 4
[19] h = 1.455e-11 , s = 4
[20] h = 3.638e-12 , s = 4
[#1] INFO:Caching -- RooAbsCachedPdf::getCache(model) creating new cache 0x23c73f00 with pdf gx_CONV_model_mean_CACHE_Obs[x,mean]_NORM_x_mean for nset (x,mean) with code 1
[#0] WARNING:Eval -- The FFT convolution 'model' will run with 50 bins. A decent accuracy for difficult convolutions is typically only reached with n >= 1000. Suggest to increase the number of bins of the observable 'mean'.
[#1] INFO:Caching -- RooAbsCachedPdf::getCache(model) creating new cache 0x23c73f00 with pdf gx_CONV_model_mean_CACHE_Obs[x,mean]_NORM_x for nset (x) with code 3 from preexisting content.
Date
April 2009
Author
Wouter Verkerke

Definition in file rf211_paramconv.C.