library: libGraf
#include "TGraphQQ.h"

TGraphQQ


class description - source file - inheritance tree (.pdf)

class TGraphQQ : public TGraph

Inheritance Chart:
TObject
<-
TNamed
TAttLine
TAttFill
TAttMarker
<-
TGraph
<-
TGraphQQ

    protected:
void MakeFunctionQuantiles() void MakeQuantiles() void Quartiles() public:
TGraphQQ() TGraphQQ(Int_t n, Double_t* x) TGraphQQ(Int_t n, Double_t* x, TF1* f) TGraphQQ(Int_t nx, Double_t* x, Int_t ny, Double_t* y) TGraphQQ(const TGraphQQ&) virtual ~TGraphQQ() static TClass* Class() virtual TClass* IsA() const TGraphQQ& operator=(const TGraphQQ&) virtual void Paint(Option_t* opt = "") void SetFunction(TF1* f) virtual void ShowMembers(TMemberInspector& insp, char* parent) virtual void Streamer(TBuffer& b) void StreamerNVirtual(TBuffer& b)

Data Members


    protected:
Int_t fNy0 size of the fY0 dataset Double_t fXq1 x1 coordinate of the interquartile line Double_t fXq2 x2 coordinate of the interquartile line Double_t fYq1 y1 coordinate of the interquartile line Double_t fYq2 y2 coordinate of the interquartile line Double_t* fY0 second dataset, if specified TF1* fF theoretical density function, if specified

Class Description

 This class allows to draw quantile-quantile plots

 Plots can be drawn for 2 datasets or for a dataset and a theoretical
 distribution function

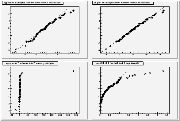
 2 datasets:
   Quantile-quantile plots are used to determine whether 2 samples come from
   the same distribution.
   A qq-plot draws the quantiles of one dataset against the quantile of the
   the other. The quantiles of the dataset with fewer entries are on Y axis,
   with more entries - on X axis.
   A straight line, going through 0.25 and 0.75 quantiles is also plotted
   for reference. It represents a robust linear fit, not sensitive to the
   extremes of the datasets.
   If the datasets come from the same distribution, points of the plot should
   fall approximately on the 45 degrees line. If they have the same
   distribution function, but location or scale different parameters,
   they should still fall on the straight line, but not the 45 degrees one.
   The greater their departure from the straight line, the more evidence there
   is, that the datasets come from different distributions.
   The advantage of qq-plot is that it not only shows that the underlying
   distributions are different, but, unlike the analytical methods, it also
   gives information on the nature of this difference: heavier tails,
   different location/scale, different shape, etc.

   Some examples of qqplots of 2 datasets:
/* */

 1 dataset:
   Quantile-quantile plots are used to determine if the dataset comes from the
   specified theoretical distribution, such as normal.
   A qq-plot draws quantiles of the dataset against quantiles of the specified
   theoretical distribution.
   (NOTE, that density, not CDF should be specified)
   A straight line, going through 0.25 and 0.75 quantiles can also be plotted
   for reference. It represents a robust linear fit, not sensitive to the
   extremes of the dataset.
   As in the 2 datasets case, departures from straight line indicate departures
   from the specified distribution.

   " The correlation coefficient associated with the linear fit to the data
     in the probability plot (qq plot in our case) is a measure of the
     goodness of the fit.
     Estimates of the location and scale parameters  of the distribution
     are given by the intercept and slope. Probability plots can be generated
     for several competing distributions to see which provides the best fit,
     and the probability plot generating the highest correlation coefficient
     is the best choice since it generates the straightest probability plot."
   From "Engineering statistic handbook",
   http://www.itl.nist.gov/div898/handbook/eda/section3/probplot.htm

   Example of a qq-plot of a dataset from N(3, 2) distribution and
           TMath::Gaus(0, 1) theoretical function. Fitting parameters
           are estimates of the distribution mean and sigma.

/* */


 References:
 http://www.itl.nist.gov/div898/handbook/eda/section3/qqplot.htm
 http://www.itl.nist.gov/div898/handbook/eda/section3/probplot.htm


TGraphQQ(Int_t n, Double_t *x) : TGraph(n)
Creates a quantile-quantile plot of dataset x.
Theoretical distribution function can be defined later by SetFunction method

TGraphQQ(Int_t n, Double_t *x, TF1 *f) : TGraph(n)
Creates a quantile-quantile plot of dataset x against function f

TGraphQQ(Int_t nx, Double_t *x, Int_t ny, Double_t *y)
Creates a quantile-quantile plot of dataset x against dataset y
Parameters nx and ny are respective array sizes

~TGraphQQ()
Destroys a TGraphQQ

void MakeFunctionQuantiles()
Computes quantiles of theoretical distribution function

void MakeQuantiles()
When sample sizes are not equal, computes quantiles of the bigger sample
by linear interpolation

void Quartiles()
 compute quartiles
 a quartile is a 25 per cent or 75 per cent quantile

void Paint(Option_t *opt)
 paint this graphQQ. No options for the time being

void SetFunction(TF1 *f)
Sets the theoretical distribution function (density!)
and computes its quantiles



Inline Functions


           TGraphQQ TGraphQQ(Int_t nx, Double_t* x, Int_t ny, Double_t* y)
            TClass* Class()
            TClass* IsA() const
               void ShowMembers(TMemberInspector& insp, char* parent)
               void Streamer(TBuffer& b)
               void StreamerNVirtual(TBuffer& b)
           TGraphQQ TGraphQQ(const TGraphQQ&)
          TGraphQQ& operator=(const TGraphQQ&)


Author: Anna Kreshuk 18/11/2005
Last update: root/graf:$Name: $:$Id: TGraphQQ.cxx,v 1.2 2005/11/21 09:27:11 brun Exp $
Copyright (C) 1995-2005, Rene Brun and Fons Rademakers. *


ROOT page - Class index - Class Hierarchy - Top of the page

This page has been automatically generated. If you have any comments or suggestions about the page layout send a mail to ROOT support, or contact the developers with any questions or problems regarding ROOT.