| library: libGraf #include "TLatex.h"
 | 
TLatex
class description - source file - inheritance tree (.pdf)
    protected:
      TLatexFormSize Anal1(TextSpec_t spec, const Char_t* t, Int_t length)
      TLatexFormSize Analyse(Double_t x, Double_t y, TextSpec_t spec, const Char_t* t, Int_t length)
               Int_t CheckLatexSyntax(TString& text)
                void DrawCircle(Double_t x1, Double_t y1, Double_t r, TextSpec_t spec)
                void DrawLine(Double_t x1, Double_t y1, Double_t x2, Double_t y2, TextSpec_t spec)
                void DrawParenthesis(Double_t x1, Double_t y1, Double_t r1, Double_t r2, Double_t phimin, Double_t phimax, TextSpec_t spec)
      TLatexFormSize FirstParse(Double_t angle, Double_t size, const Char_t* text)
      TLatexFormSize Readfs()
                void Savefs(TLatexFormSize* fs)
    public:
                      TLatex()
                      TLatex(Double_t x, Double_t y, const char* text)
                      TLatex(const TLatex& text)
              virtual ~TLatex()
       static TClass* Class()
         virtual void Copy(TObject& text) const
              TLatex* DrawLatex(Double_t x, Double_t y, const char* text)
         virtual void GetBoundingBox(UInt_t& w, UInt_t& h)
             Double_t GetHeight() const
             Double_t GetXsize()
             Double_t GetYsize()
      virtual TClass* IsA() const
         virtual void Paint(Option_t* option = "")
         virtual void PaintLatex(Double_t x, Double_t y, Double_t angle, Double_t size, const char* text)
         virtual void SavePrimitive(ofstream& out, Option_t* option)
         virtual void SetIndiceSize(Double_t factorSize)
         virtual void SetLimitIndiceSize(Int_t limitFactorSize)
         virtual void ShowMembers(TMemberInspector& insp, char* parent)
         virtual void Streamer(TBuffer& b)
                 void StreamerNVirtual(TBuffer& b)
    protected:
           Double_t fFactorSize       !Relative size of subscripts and superscripts
           Double_t fFactorPos        !Relative position of subscripts and superscripts
              Int_t fLimitFactorSize  lower bound for subscripts/superscripts size
      const Char_t* fError            !error code
             Bool_t fShow             !is true during the second pass (Painting)
        FormSize_t* fTabSize          !array of values for the different zones
           Double_t fOriginSize       Font size of the starting font
              Int_t fTabMax           !Maximum allocation for array fTabSize;
              Int_t fPos              !Current position in array fTabSize;
    public:
      static const enum TLatex:: kTextNDC  
   TLatex : to draw Mathematical Formula
   This class has been implemented by 
 Nicolas Brun 
.
   ========================================================
   TLatex's purpose is to write mathematical equations
   The syntax is very similar to the Latex one :
   ** Subscripts and Superscripts
   ------------------------------
   Subscripts and superscripts are made with the _ and ^ commands.  These commands
   can be combined to make complicated subscript and superscript expressions.
   You may choose how to display subscripts and superscripts using the 2 functions
   SetindiceSize(Double_t) and SetLimitindiceSize(Int_t).
/*p
 */
*/
   ** Fractions
   ------------
   Fractions denoted by the / symbol are made in the obvious way.
   The #frac command is used for large fractions in displayed formula; it has
   two arguments: the numerator and the denominator.
/*
 */
*/
   ** splitting a line in two lines
   --------------------------------
   A text can be split in two lines via the command #splitline
   For example #splitline{"21 April 2003}{14:02:30}
   ** Roots
   --------
   The #sqrt command produces the square root of its argument; it has an optional
   first argument for other roots.
   ex: #sqrt{10}  #sqrt[3]{10}
   ** Mathematical Symbols
   -----------------------
   TLatex can make dozens of special mathematical symbols. A few of them, such as
   + and > , are produced by typing the corresponding keyboard character.  Others
   are obtained with the commands in the following table :
/*
 */
*/
    #Box draw a square
   ** Delimiters
   -------------
   You can produce 4 kinds of proportional delimiters.
   #[]{....} or "a la" Latex #left[.....#right] : big square brackets
   #{}{....} or              #left{.....#right} : big curly brackets
   #||{....} or              #left|.....#right| : big absolute value symbol
   #(){....} or              #left(.....#right) : big parenthesis
   ** Greek Letters
   ----------------
   The command to produce a lowercase Greek letter is obtained by adding a # to
   the name of the letter. For an uppercase Greek letter, just capitalize the first
   letter of the command name. Some letter have two representations. The name of the
   second one (the "variation") starts with "var".
   #alpha #beta #chi #delta #varepsilon #phi #gamma #eta #iota #varphi #kappa #lambda
   #mu #nu #omicron #pi #theta #rho #sigma #tau #upsilon #varomega #omega #xi #psi #zeta
   #Alpha #Beta #Chi #Delta #Epsilon #Phi #Gamma #Eta #Iota #vartheta
   #Kappa #Lambda #Mu #Nu #Omicron #Pi #Theta #Rho #Sigma #Tau
   #Upsilon #varsigma #Omega #Xi #Psi #Zeta #varUpsilon #epsilon
/*
 */
*/
   ** Putting One Thing Above Another
   ----------------------------------
   Symbols in a formula are sometimes placed on above another. TLatex provides
   special commands for doing this.
   ** Accents
   ----------
    #hat{a} = hat
    #check  = inversed hat
    #acute  = acute
    #grave  = agrave
    #dot    = derivative
    #ddot   = double derivative
    #tilde  = tilde
    #slash special sign. Draw a slash on top of the text between brackets
   for example #slash{E}_{T}  generates "Missing ET"
/*
 */
*/
   #dot  #ddot  #hat  #check  #acute  #grave  #tilde
   ** Changing Style in Math Mode
   ------------------------------
   You can change the font and the text color at any moment using :
   #font[font-number]{...} and #color[color-number]{...}
   ** Example1
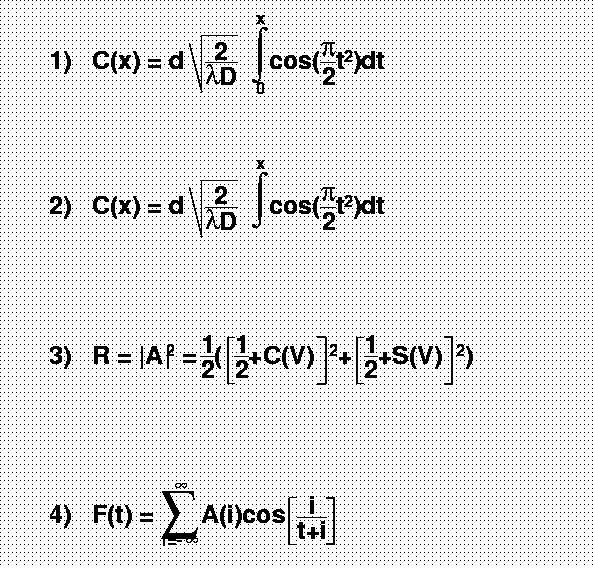
   -----------
     The following macro (tutorials/latex.C) produces the following picture:
  {
     gROOT->Reset();
     TCanvas c1("c1","Latex",600,700);
     TLatex l;
     l.SetTextAlign(12);
     l.SetTextSize(0.04);
     l.DrawLatex(0.1,0.8,"1)   C(x) = d #sqrt{#frac{2}{#lambdaD}}  #int^{x}_{0}cos(#frac{#pi}{2}t^{2})dt");
     l.DrawLatex(0.1,0.6,"2)   C(x) = d #sqrt{#frac{2}{#lambdaD}}  #int^{x}cos(#frac{#pi}{2}t^{2})dt");
     l.DrawLatex(0.1,0.4,"3)   R = |A|^{2} = #frac{1}{2}(#[]{#frac{1}{2}+C(V)}^{2}+#[]{#frac{1}{2}+S(V)}^{2})");
     l.DrawLatex(0.1,0.2,"4)   F(t) = #sum_{i=-#infty}^{#infty}A(i)cos#[]{#frac{i}{t+i}}");
  }
/*
 */
*/
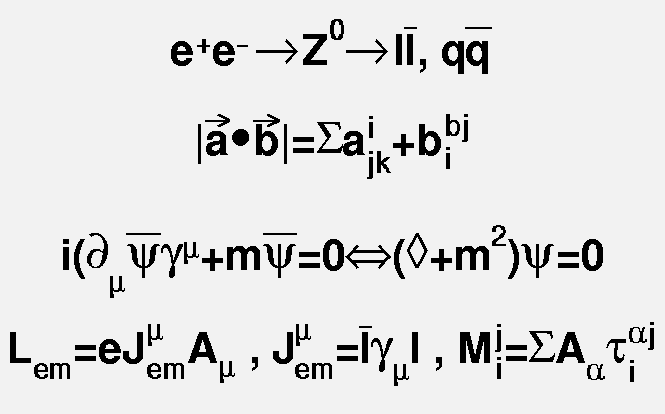
   ** Example2
   -----------
     The following macro (tutorials/latex2.C) produces the following picture:
  {
     gROOT->Reset();
     TCanvas c1("c1","Latex",600,700);
     TLatex l;
     l.SetTextAlign(23);
     l.SetTextSize(0.1);
     l.DrawLatex(0.5,0.95,"e^{+}e^{-}#rightarrowZ^{0}#rightarrowI#bar{I}, q#bar{q}");
     l.DrawLatex(0.5,0.75,"|#vec{a}#bullet#vec{b}|=#Sigmaa^{i}_{jk}+b^{bj}_{i}");
     l.DrawLatex(0.5,0.5,"i(#partial_{#mu}#bar{#psi}#gamma^{#mu}+m#bar{#psi}=0#Leftrightarrow(#Box+m^{2})#psi=0");
     l.DrawLatex(0.5,0.3,"L_{em}=eJ^{#mu}_{em}A_{#mu} , J^{#mu}_{em}=#bar{I}#gamma_{#mu}I , M^{j}_{i}=#SigmaA_{#alpha}#tau^{#alphaj}_{i}");
  }
/*
 */
*/
   ** Example3
   -----------
     The following macro (tutorials/latex3.C) produces the following picture:
  {
     gROOT->Reset();
   TCanvas c1("c1");
   TPaveText pt(.1,.5,.9,.9);
   pt.AddText("#frac{2s}{#pi#alpha^{2}}  #frac{d#sigma}{dcos#theta} (e^{+}e^{-} #rightarrow f#bar{f} ) = ");
   pt.AddText("#left| #frac{1}{1 - #Delta#alpha} #right|^{2} (1+cos^{2}#theta");
   pt.AddText("+ 4 Re #left{ #frac{2}{1 - #Delta#alpha} #chi(s) #[]{#hat{g}_{#nu}^{e}#hat{g}_{#nu}^{f}
    (1 + cos^{2}#theta) + 2 #hat{g}_{a}^{e}#hat{g}_{a}^{f} cos#theta) } #right}");
   pt.SetLabel("Born equation");
   pt.Draw();
  }
/*
 */
*/
   ** Alignment rules
   ------------------
  The TText alignment rules apply to the TLatex objects with one exception
  concerning the vertical alignment:
  If the vertical alignment = 1 , subscripts are not taken into account
  if the vertical alignment = 0 , the text is aligned to the box surrounding
                                  the full text with sub and superscripts
  This is illustrated in the following example:
{
  gROOT->Reset();
  TCanvas c1("c1","c1",600,500);
  c1.SetGrid();
  c1.DrawFrame(0,0,1,1);
  const char *longstring = "K_{S}... K^{*0}... #frac{2s}{#pi#alpha^{2}}
 #frac{d#sigma}{dcos#theta} (e^{+}e^{-} #rightarrow f#bar{f} ) =
 #left| #frac{1}{1 - #Delta#alpha} #right|^{2} (1+cos^{2}#theta)";
  TLatex latex;
  latex.SetTextSize(0.033);
  latex.SetTextAlign(13);  //align at top
  latex.DrawLatex(.2,.9,"K_{S}");
  latex.DrawLatex(.3,.9,"K^{*0}");
  latex.DrawLatex(.2,.8,longstring);
  latex.SetTextAlign(12);  //centered
  latex.DrawLatex(.2,.6,"K_{S}");
  latex.DrawLatex(.3,.6,"K^{*0}");
  latex.DrawLatex(.2,.5,longstring);
  latex.SetTextAlign(11);  //default bottom alignment
  latex.DrawLatex(.2,.4,"K_{S}");
  latex.DrawLatex(.3,.4,"K^{*0}");
  latex.DrawLatex(.2,.3,longstring);
  latex.SetTextAlign(10);  //special bottom alignment
  latex.DrawLatex(.2,.2,"K_{S}");
  latex.DrawLatex(.3,.2,"K^{*0}");
  latex.DrawLatex(.2,.1,longstring);
  latex.SetTextAlign(12);
  latex->SetTextFont(72);
  latex->DrawLatex(.1,.80,"13");
  latex->DrawLatex(.1,.55,"12");
  latex->DrawLatex(.1,.35,"11");
  latex->DrawLatex(.1,.18,"10");
}
/*
 */
*/
______________________________________________________________________________
 TLatex()
 Default constructor.
 TLatex(Double_t x, Double_t y, const char *text)
       :TText(x,y,text)
 Normal constructor.
 ~TLatex()
 Destructor.
 TLatex(const TLatex &text) : TText(text), TAttLine(text)
 Copy constructor.
void Copy(TObject &obj) const
 Copy this TLatex object to another TLatex.
TLatexFormSize Anal1(TextSpec_t spec, const Char_t* t, Int_t length)
 Analyse function.
TLatexFormSize Analyse(Double_t x, Double_t y, TextSpec_t spec, const Char_t* t, Int_t length)
  Analyse and paint the TLatex formula
  It is called twice : first for calculating the size of
  each portion of the formula, then to paint the formula.
  When analyse finds an operator or separator, it calls
  itself recursively to analyse the arguments of the operator.
  when the argument is an atom (normal text), it calculates
  the size of it and return it as the result.
  for example : if the operator #frac{arg1}{arg2} is found :
  Analyse(arg1) return the size of arg1 (width, up, down)
  Analyse(arg2) return the size of arg2
  now, we know the size of #frac{arg1}{arg2}  :
  width = max(width_arg1, width_arg2)
  up = up_arg1 + down_arg1
  down = up_arg2 + down_arg2
  so, when the user wants to paint a fraction at position (x,y),
  the rect used for the formula is : (x,y-up,x+width,y+down)
 return size of zone occupied by the text/formula
 t : chain to be analyzed
 length : number of chars in t.
TLatex* DrawLatex(Double_t x, Double_t y, const char *text)
 Make a copy of this object with the new parameters
 And copy object attributes
void DrawLine(Double_t x1, Double_t y1, Double_t x2, Double_t y2, TextSpec_t spec)
 Draw a line in a Latex formula
void DrawCircle(Double_t x1, Double_t y1, Double_t r, TextSpec_t spec )
 Draw an arc of ellipse in a Latex formula (right or left parenthesis)
void DrawParenthesis(Double_t x1, Double_t y1, Double_t r1, Double_t r2,
                     Double_t  phimin, Double_t  phimax, TextSpec_t spec )
 Draw an arc of ellipse in a Latex formula (right or left parenthesis)
void Paint(Option_t *)
 Paint
void PaintLatex(Double_t x, Double_t y, Double_t angle, Double_t size, const Char_t *text1)
 Main drawing function
Int_t CheckLatexSyntax(TString &text)
 Check if the Latex syntax is correct
TLatexFormSize FirstParse(Double_t angle, Double_t size, const Char_t *text)
 First parsing of the analyse sequence
Double_t GetHeight() const
 Return height of current pad in pixels
Double_t GetXsize()
 Return size of the formula along X in pad coordinates
void GetBoundingBox(UInt_t &w, UInt_t &h)
 Return text size in pixels
Double_t GetYsize()
 Return size of the formula along Y in pad coordinates
TLatexFormSize Readfs()
 Read fs in fTabSize
void Savefs(TLatexFormSize *fs)
 Save fs values in array fTabSize
void SavePrimitive(ofstream &out, Option_t *)
 Save primitive as a C++ statement(s) on output stream out
void SetIndiceSize(Double_t factorSize)
 Set relative size of subscripts and superscripts
void SetLimitIndiceSize(Int_t limitFactorSize)
 Set limit for text resizing of subscipts and superscripts
Inline Functions
            TClass* Class()
            TClass* IsA() const
               void ShowMembers(TMemberInspector& insp, char* parent)
               void Streamer(TBuffer& b)
               void StreamerNVirtual(TBuffer& b)
Author: Nicolas Brun 07/08/98
Last update: root/graf:$Name:  $:$Id: TLatex.cxx,v 1.53 2005/11/18 16:55:07 couet Exp $
Copyright  (C) 1995-2000, Rene Brun and Fons Rademakers.               *
ROOT page - Class index - Class Hierarchy - Top of the page
This page has been automatically generated. If you have any comments or suggestions about the page layout send a mail to ROOT support, or contact the developers with any questions or problems regarding ROOT.