The following types of functions can be created:
TF1 *fa1 = new TF1("fa1","sin(x)/x",0,10);
fa1->Draw();
TF1 *fa2 = new TF1("fa2","TMath::DiLog(x)",0,10);
fa2->Draw();
Double_t myFunc(x) {
return x+sin(x);
}
TF1 *fa3 = new TF1("fa3","myFunc(x)",-3,5);
fa3->Draw();
fa->SetParameter(0,value_first_parameter); fa->SetParameter(1,value_second_parameter);Parameters may be given a name:
fa->SetParName(0,"Constant");
// Macro myfunc.C
Double_t myfunction(Double_t *x, Double_t *par)
{
Float_t xx =x[0];
Double_t f = TMath::Abs(par[0]*sin(par[1]*xx)/xx);
return f;
}
void myfunc()
{
TF1 *f1 = new TF1("myfunc",myfunction,0,10,2);
f1->SetParameters(2,1);
f1->SetParNames("constant","coefficient");
f1->Draw();
}
void myfit()
{
TH1F *h1=new TH1F("h1","test",100,0,10);
h1->FillRandom("myfunc",20000);
TF1 *f1=gROOT->GetFunction("myfunc");
f1->SetParameters(800,1);
h1.Fit("myfunc");
}
In an interactive session you can do:
Root > .L myfunc.C Root > myfunc(); Root > myfit();
TF1 objects can reference other TF1 objects (thanks John Odonnell) of type A or B defined above. This excludes CINT interpreted functions and compiled functions. However, there is a restriction. A function cannot reference a basic function if the basic function is a polynomial polN.
Example:
{
TF1 *fcos = new TF1 ("fcos", "[0]*cos(x)", 0., 10.);
fcos->SetParNames( "cos");
fcos->SetParameter( 0, 1.1);
TF1 *fsin = new TF1 ("fsin", "[0]*sin(x)", 0., 10.);
fsin->SetParNames( "sin");
fsin->SetParameter( 0, 2.1);
TF1 *fsincos = new TF1 ("fsc", "fcos+fsin");
TF1 *fs2 = new TF1 ("fs2", "fsc+fsc");
}
Example:
class MyFunctionObject {
public:
// use constructor to customize your function object
double operator() (double *x, double *p) {
// function implementation using class data members
}
};
{
....
MyFunctionObject * fobj = new MyFunctionObject(....); // create the function object
TF1 * f = new TF1("f",fobj,0,1,npar,"MyFunctionObject"); // create TF1 class.
.....
}
Example:
class MyFunction {
public:
...
double Evaluate() (double *x, double *p) {
// function implementation
}
};
{
....
MyFunction * fptr = new MyFunction(....); // create the user function class
TF1 * f = new TF1("f",fptr,&MyFunction::Evaluate,0,1,npar,"MyFunction","Evaluate"); // create TF1 class.
.....
}
| TF1() | |
| TF1(const TF1& f1) | |
| TF1(const char* name, const char* formula, Double_t xmin = 0, Double_t xmax = 1) | |
| TF1(const char* name, Double_t xmin, Double_t xmax, Int_t npar) | |
| TF1(const char* name, void* fcn, Double_t xmin, Double_t xmax, Int_t npar) | |
| TF1(const char* name, ROOT::Math::ParamFunctor f, Double_t xmin = 0, Double_t xmax = 1, Int_t npar = 0) | |
| TF1(const char* name, void* ptr, Double_t xmin, Double_t xmax, Int_t npar, char* className) | |
| TF1(const char* name, void* ptr, void*, Double_t xmin, Double_t xmax, Int_t npar, char* className, char* methodName = 0) | |
| virtual | ~TF1() |
| void | TObject::AbstractMethod(const char* method) const |
| static void | AbsValue(Bool_t reject = kTRUE) |
| virtual void | TFormula::Analyze(const char* schain, Int_t& err, Int_t offset = 0) |
| virtual Bool_t | TFormula::AnalyzeFunction(TString& chaine, Int_t& err, Int_t offset = 0) |
| virtual void | TObject::AppendPad(Option_t* option = "") |
| virtual void | Browse(TBrowser* b) |
| static void | CalcGaussLegendreSamplingPoints(Int_t num, Double_t* x, Double_t* w, Double_t eps = 3.0e-11) |
| virtual Double_t | CentralMoment(Double_t n, Double_t a, Double_t b, const Double_t* params = 0, Double_t epsilon = 0.000001) |
| static TClass* | Class() |
| virtual const char* | TObject::ClassName() const |
| virtual void | TFormula::Clear(Option_t* option = "") |
| virtual TObject* | TNamed::Clone(const char* newname = "") const |
| virtual Int_t | TNamed::Compare(const TObject* obj) const |
| virtual Int_t | TFormula::Compile(const char* expression = "") |
| virtual void | Copy(TObject& f1) const |
| virtual char* | TFormula::DefinedString(Int_t code) |
| virtual Double_t | TFormula::DefinedValue(Int_t code) |
| virtual Int_t | TFormula::DefinedVariable(TString& variable, Int_t& action) |
| virtual void | TObject::Delete(Option_t* option = "") |
| virtual Double_t | Derivative(Double_t x, Double_t* params = 0, Double_t epsilon = 0.001) const |
| virtual Double_t | Derivative2(Double_t x, Double_t* params = 0, Double_t epsilon = 0.001) const |
| virtual Double_t | Derivative3(Double_t x, Double_t* params = 0, Double_t epsilon = 0.001) const |
| static Double_t | DerivativeError() |
| Int_t | TAttLine::DistancetoLine(Int_t px, Int_t py, Double_t xp1, Double_t yp1, Double_t xp2, Double_t yp2) |
| virtual Int_t | DistancetoPrimitive(Int_t px, Int_t py) |
| virtual void | Draw(Option_t* option = "") |
| virtual void | TObject::DrawClass() const |
| virtual TObject* | TObject::DrawClone(Option_t* option = "") const |
| virtual TF1* | DrawCopy(Option_t* option = "") const |
| virtual void | DrawDerivative(Option_t* option = "al") |
| virtual void | DrawF1(const char* formula, Double_t xmin, Double_t xmax, Option_t* option = "") |
| virtual void | DrawIntegral(Option_t* option = "al") |
| virtual void | TObject::Dump() const |
| virtual void | TObject::Error(const char* method, const char* msgfmt) const |
| virtual Double_t | Eval(Double_t x, Double_t y = 0, Double_t z = 0, Double_t t = 0) const |
| virtual Double_t | EvalPar(const Double_t* x, const Double_t* params = 0) |
| virtual Double_t | TFormula::EvalParOld(const Double_t* x, const Double_t* params = 0) |
| virtual void | TObject::Execute(const char* method, const char* params, Int_t* error = 0) |
| virtual void | TObject::Execute(TMethod* method, TObjArray* params, Int_t* error = 0) |
| virtual void | ExecuteEvent(Int_t event, Int_t px, Int_t py) |
| virtual void | TObject::Fatal(const char* method, const char* msgfmt) const |
| virtual void | TNamed::FillBuffer(char*& buffer) |
| virtual TObject* | TObject::FindObject(const char* name) const |
| virtual TObject* | TObject::FindObject(const TObject* obj) const |
| virtual void | FixParameter(Int_t ipar, Double_t value) |
| Double_t | GetChisquare() const |
| static TF1* | GetCurrent() |
| virtual Option_t* | TObject::GetDrawOption() const |
| static Long_t | TObject::GetDtorOnly() |
| virtual TString | TFormula::GetExpFormula(Option_t* option = "") const |
| virtual Color_t | TAttFill::GetFillColor() const |
| virtual Style_t | TAttFill::GetFillStyle() const |
| TH1* | GetHistogram() const |
| virtual const char* | TObject::GetIconName() const |
| virtual const TObject* | TFormula::GetLinearPart(Int_t i) |
| virtual Color_t | TAttLine::GetLineColor() const |
| virtual Style_t | TAttLine::GetLineStyle() const |
| virtual Width_t | TAttLine::GetLineWidth() const |
| virtual Color_t | TAttMarker::GetMarkerColor() const |
| virtual Size_t | TAttMarker::GetMarkerSize() const |
| virtual Style_t | TAttMarker::GetMarkerStyle() const |
| virtual Double_t | GetMaximum(Double_t xmin = 0, Double_t xmax = 0) const |
| virtual Double_t | GetMaximumX(Double_t xmin = 0, Double_t xmax = 0) const |
| TMethodCall* | GetMethodCall() const |
| virtual Double_t | GetMinimum(Double_t xmin = 0, Double_t xmax = 0) const |
| virtual Double_t | GetMinimumX(Double_t xmin = 0, Double_t xmax = 0) const |
| virtual const char* | TNamed::GetName() const |
| virtual Int_t | GetNDF() const |
| virtual Int_t | TFormula::GetNdim() const |
| virtual Int_t | TFormula::GetNpar() const |
| virtual Int_t | GetNpx() const |
| virtual Int_t | TFormula::GetNumber() const |
| virtual Int_t | GetNumberFitPoints() const |
| virtual Int_t | GetNumberFreeParameters() const |
| virtual char* | GetObjectInfo(Int_t px, Int_t py) const |
| static Bool_t | TObject::GetObjectStat() |
| virtual Option_t* | TObject::GetOption() const |
| Double_t | TFormula::GetParameter(Int_t ipar) const |
| Double_t | TFormula::GetParameter(const char* name) const |
| virtual Double_t* | TFormula::GetParameters() const |
| virtual void | TFormula::GetParameters(Double_t* params) |
| TObject* | GetParent() const |
| virtual Double_t | GetParError(Int_t ipar) const |
| virtual Double_t* | GetParErrors() const |
| virtual void | GetParLimits(Int_t ipar, Double_t& parmin, Double_t& parmax) const |
| virtual const char* | TFormula::GetParName(Int_t ipar) const |
| virtual Int_t | TFormula::GetParNumber(const char* name) const |
| virtual Double_t | GetProb() const |
| virtual Int_t | GetQuantiles(Int_t nprobSum, Double_t* q, const Double_t* probSum) |
| virtual Double_t | GetRandom() |
| virtual Double_t | GetRandom(Double_t xmin, Double_t xmax) |
| virtual void | GetRange(Double_t& xmin, Double_t& xmax) const |
| virtual void | GetRange(Double_t& xmin, Double_t& ymin, Double_t& xmax, Double_t& ymax) const |
| virtual void | GetRange(Double_t& xmin, Double_t& ymin, Double_t& zmin, Double_t& xmax, Double_t& ymax, Double_t& zmax) const |
| virtual Double_t | GetSave(const Double_t* x) |
| virtual const char* | TNamed::GetTitle() const |
| virtual UInt_t | TObject::GetUniqueID() const |
| virtual Double_t | GetX(Double_t y, Double_t xmin = 0, Double_t xmax = 0) const |
| TAxis* | GetXaxis() const |
| virtual Double_t | GetXmax() const |
| virtual Double_t | GetXmin() const |
| TAxis* | GetYaxis() const |
| TAxis* | GetZaxis() const |
| virtual Double_t | GradientPar(Int_t ipar, const Double_t* x, Double_t eps = 0.01) |
| virtual void | GradientPar(const Double_t* x, Double_t* grad, Double_t eps = 0.01) |
| virtual Bool_t | TObject::HandleTimer(TTimer* timer) |
| virtual ULong_t | TNamed::Hash() const |
| virtual void | TObject::Info(const char* method, const char* msgfmt) const |
| virtual Bool_t | TObject::InheritsFrom(const char* classname) const |
| virtual Bool_t | TObject::InheritsFrom(const TClass* cl) const |
| virtual void | InitArgs(const Double_t* x, const Double_t* params) |
| static void | InitStandardFunctions() |
| virtual void | TObject::Inspect() const |
| virtual Double_t | Integral(Double_t a, Double_t b, const Double_t* params = 0, Double_t epsilon = 1e-12) |
| virtual Double_t | Integral(Double_t ax, Double_t bx, Double_t ay, Double_t by, Double_t epsilon = 1e-12) |
| virtual Double_t | Integral(Double_t ax, Double_t bx, Double_t ay, Double_t by, Double_t az, Double_t bz, Double_t epsilon = 1e-12) |
| virtual Double_t | IntegralError(Double_t a, Double_t b, Double_t epsilon = 1e-12) |
| virtual Double_t | IntegralFast(Int_t num, Double_t* x, Double_t* w, Double_t a, Double_t b, Double_t* params = 0) |
| virtual Double_t | IntegralMultiple(Int_t n, const Double_t* a, const Double_t* b, Double_t epsilon, Double_t& relerr) |
| virtual Double_t | IntegralMultiple(Int_t n, const Double_t* a, const Double_t* b, Int_t minpts, Int_t maxpts, Double_t epsilon, Double_t& relerr, Int_t& nfnevl, Int_t& ifail) |
| void | TObject::InvertBit(UInt_t f) |
| virtual TClass* | IsA() const |
| virtual Bool_t | TObject::IsEqual(const TObject* obj) const |
| virtual Bool_t | TObject::IsFolder() const |
| virtual Bool_t | IsInside(const Double_t* x) const |
| virtual Bool_t | TFormula::IsLinear() |
| virtual Bool_t | TFormula::IsNormalized() |
| Bool_t | TObject::IsOnHeap() const |
| virtual Bool_t | TNamed::IsSortable() const |
| virtual Bool_t | TAttFill::IsTransparent() const |
| Bool_t | TObject::IsZombie() const |
| virtual void | TNamed::ls(Option_t* option = "") const |
| void | TObject::MayNotUse(const char* method) const |
| virtual Double_t | Mean(Double_t a, Double_t b, const Double_t* params = 0, Double_t epsilon = 0.000001) |
| Double_t | MinimBrent(Int_t type, Double_t& xmin, Double_t& xmax, Double_t xmiddle, Double_t fy, Bool_t& ok) const |
| Double_t | MinimStep(Int_t type, Double_t& xmin, Double_t& xmax, Double_t fy) const |
| virtual void | TAttLine::Modify() |
| virtual Double_t | Moment(Double_t n, Double_t a, Double_t b, const Double_t* params = 0, Double_t epsilon = 0.000001) |
| virtual Bool_t | TObject::Notify() |
| static void | TObject::operator delete(void* ptr) |
| static void | TObject::operator delete(void* ptr, void* vp) |
| static void | TObject::operator delete[](void* ptr) |
| static void | TObject::operator delete[](void* ptr, void* vp) |
| void* | TObject::operator new(size_t sz) |
| void* | TObject::operator new(size_t sz, void* vp) |
| void* | TObject::operator new[](size_t sz) |
| void* | TObject::operator new[](size_t sz, void* vp) |
| virtual Double_t | operator()(const Double_t* x, const Double_t* params = 0) |
| TF1& | operator=(const TF1& rhs) |
| void | TFormula::Optimize() |
| virtual void | Paint(Option_t* option = "") |
| virtual void | TObject::Pop() |
| virtual void | Print(Option_t* option = "") const |
| virtual void | TFormula::ProcessLinear(TString& replaceformula) |
| virtual Int_t | TObject::Read(const char* name) |
| virtual void | TObject::RecursiveRemove(TObject* obj) |
| static Bool_t | RejectedPoint() |
| static void | RejectPoint(Bool_t reject = kTRUE) |
| virtual void | ReleaseParameter(Int_t ipar) |
| virtual void | TAttFill::ResetAttFill(Option_t* option = "") |
| virtual void | TAttLine::ResetAttLine(Option_t* option = "") |
| virtual void | TAttMarker::ResetAttMarker(Option_t* toption = "") |
| void | TObject::ResetBit(UInt_t f) |
| virtual void | Save(Double_t xmin, Double_t xmax, Double_t ymin, Double_t ymax, Double_t zmin, Double_t zmax) |
| virtual void | TObject::SaveAs(const char* filename = "", Option_t* option = "") const |
| virtual void | TAttFill::SaveFillAttributes(ostream& out, const char* name, Int_t coldef = 1, Int_t stydef = 1001) |
| virtual void | TAttLine::SaveLineAttributes(ostream& out, const char* name, Int_t coldef = 1, Int_t stydef = 1, Int_t widdef = 1) |
| virtual void | TAttMarker::SaveMarkerAttributes(ostream& out, const char* name, Int_t coldef = 1, Int_t stydef = 1, Int_t sizdef = 1) |
| virtual void | SavePrimitive(ostream& out, Option_t* option = "") |
| void | TObject::SetBit(UInt_t f) |
| void | TObject::SetBit(UInt_t f, Bool_t set) |
| virtual void | SetChisquare(Double_t chi2) |
| static void | SetCurrent(TF1* f1) |
| virtual void | TObject::SetDrawOption(Option_t* option = "") |
| static void | TObject::SetDtorOnly(void* obj) |
| virtual void | TAttFill::SetFillAttributes() |
| virtual void | TAttFill::SetFillColor(Color_t fcolor) |
| virtual void | TAttFill::SetFillStyle(Style_t fstyle) |
| virtual void | SetFunction(Double_t (*)(Double_t*, Double_t*) fcn) |
| virtual void | TAttLine::SetLineAttributes() |
| virtual void | TAttLine::SetLineColor(Color_t lcolor) |
| virtual void | TAttLine::SetLineStyle(Style_t lstyle) |
| virtual void | TAttLine::SetLineWidth(Width_t lwidth) |
| virtual void | TAttMarker::SetMarkerAttributes() |
| virtual void | TAttMarker::SetMarkerColor(Color_t tcolor = 1) |
| virtual void | TAttMarker::SetMarkerSize(Size_t msize = 1) |
| virtual void | TAttMarker::SetMarkerStyle(Style_t mstyle = 1) |
| static void | TFormula::SetMaxima(Int_t maxop = 1000, Int_t maxpar = 1000, Int_t maxconst = 1000) |
| virtual void | SetMaximum(Double_t maximum = -1111) |
| virtual void | SetMinimum(Double_t minimum = -1111) |
| virtual void | TNamed::SetName(const char* name) |
| virtual void | TNamed::SetNameTitle(const char* name, const char* title) |
| virtual void | SetNDF(Int_t ndf) |
| virtual void | SetNpx(Int_t npx = 100) |
| virtual void | TFormula::SetNumber(Int_t number) |
| virtual void | SetNumberFitPoints(Int_t npfits) |
| static void | TObject::SetObjectStat(Bool_t stat) |
| virtual void | TFormula::SetParameter(const char* name, Double_t parvalue) |
| virtual void | TFormula::SetParameter(Int_t ipar, Double_t parvalue) |
| virtual void | TFormula::SetParameters(const Double_t* params) |
| virtual void | TFormula::SetParameters(Double_t p0, Double_t p1, Double_t p2 = 0, Double_t p3 = 0, Double_t p4 = 0, Double_t p5 = 0, Double_t p6 = 0, Double_t p7 = 0, Double_t p8 = 0, Double_t p9 = 0, Double_t p10 = 0) |
| virtual void | SetParent(TObject* p = 0) |
| virtual void | SetParError(Int_t ipar, Double_t error) |
| virtual void | SetParErrors(const Double_t* errors) |
| virtual void | SetParLimits(Int_t ipar, Double_t parmin, Double_t parmax) |
| virtual void | TFormula::SetParName(Int_t ipar, const char* name) |
| virtual void | TFormula::SetParNames(const char* name0 = "p0", const char* name1 = "p1", const char* name2 = "p2", const char* name3 = "p3", const char* name4 = "p4", const char* name5 = "p5", const char* name6 = "p6", const char* name7 = "p7", const char* name8 = "p8", const char* name9 = "p9", const char* name10 = "p10") |
| virtual void | SetRange(Double_t xmin, Double_t xmax) |
| virtual void | SetRange(Double_t xmin, Double_t ymin, Double_t xmax, Double_t ymax) |
| virtual void | SetRange(Double_t xmin, Double_t ymin, Double_t zmin, Double_t xmax, Double_t ymax, Double_t zmax) |
| virtual void | SetSavedPoint(Int_t point, Double_t value) |
| virtual void | SetTitle(const char* title = "") |
| virtual void | TObject::SetUniqueID(UInt_t uid) |
| virtual void | ShowMembers(TMemberInspector& insp, char* parent) |
| virtual Int_t | TNamed::Sizeof() const |
| virtual void | Streamer(TBuffer& b) |
| void | StreamerNVirtual(TBuffer& b) |
| virtual void | TObject::SysError(const char* method, const char* msgfmt) const |
| Bool_t | TObject::TestBit(UInt_t f) const |
| Int_t | TObject::TestBits(UInt_t f) const |
| virtual void | Update() |
| virtual void | TObject::UseCurrentStyle() |
| virtual Double_t | Variance(Double_t a, Double_t b, const Double_t* params = 0, Double_t epsilon = 0.000001) |
| virtual void | TObject::Warning(const char* method, const char* msgfmt) const |
| virtual Int_t | TObject::Write(const char* name = 0, Int_t option = 0, Int_t bufsize = 0) |
| virtual Int_t | TObject::Write(const char* name = 0, Int_t option = 0, Int_t bufsize = 0) const |
| G__p2memfunc | TFormula::fOptimal | !pointer to optimal function |
| Double_t* | fAlpha | !Array alpha. for each bin in x the deconvolution r of fIntegral |
| TBits | TFormula::fAlreadyFound | ! cache for information |
| Double_t* | fBeta | !Array beta. is approximated by x = alpha +beta*r *gamma*r**2 |
| Double_t | fChisquare | Function fit chisquare |
| void* | fCintFunc | ! pointer to interpreted function class |
| Double_t* | TFormula::fConst | [fNconst] Array of fNconst formula constants |
| TString* | TFormula::fExpr | [fNoper] List of expressions |
| TString* | TFormula::fExprOptimized | ![fNOperOptimized] List of expressions |
| Color_t | TAttFill::fFillColor | fill area color |
| Style_t | TAttFill::fFillStyle | fill area style |
| TObjArray | TFormula::fFunctions | Array of function calls to make |
| ROOT::Math::ParamFunctor | fFunctor | ! Functor object to wrap any C++ callable object |
| Double_t* | fGamma | !Array gamma. |
| TH1* | fHistogram | !Pointer to histogram used for visualisation |
| Double_t* | fIntegral | ![fNpx] Integral of function binned on fNpx bins |
| Color_t | TAttLine::fLineColor | line color |
| Style_t | TAttLine::fLineStyle | line style |
| Width_t | TAttLine::fLineWidth | line width |
| TObjArray | TFormula::fLinearParts | ! Linear parts if the formula is linear (contains '|') |
| Color_t | TAttMarker::fMarkerColor | Marker color index |
| Size_t | TAttMarker::fMarkerSize | Marker size |
| Style_t | TAttMarker::fMarkerStyle | Marker style |
| Double_t | fMaximum | Maximum value for plotting |
| TMethodCall* | fMethodCall | !Pointer to MethodCall in case of interpreted function |
| Double_t | fMinimum | Minimum value for plotting |
| Int_t | fNDF | Number of degrees of freedom in the fit |
| Int_t | TFormula::fNOperOptimized | !Number of operators after optimization |
| TString | TNamed::fName | object identifier |
| TString* | TFormula::fNames | [fNpar] Array of parameter names |
| Int_t | TFormula::fNconst | Number of constants |
| Int_t | TFormula::fNdim | Dimension of function (1=1-Dim, 2=2-Dim,etc) |
| Int_t | TFormula::fNoper | Number of operators |
| Int_t | TFormula::fNpar | Number of parameters |
| Int_t | fNpfits | Number of points used in the fit |
| Int_t | fNpx | Number of points used for the graphical representation |
| Int_t | fNsave | Number of points used to fill array fSave |
| Int_t | TFormula::fNstring | Number of different constants character strings |
| Int_t | TFormula::fNumber | formula number identifier |
| Int_t | TFormula::fNval | Number of different variables in expression |
| TOperOffset* | TFormula::fOperOffset | ![fNOperOptimized] Offsets of operrands |
| Int_t* | TFormula::fOperOptimized | ![fNOperOptimized] List of operators. (See documentation for changes made at version 7) |
| Double_t* | fParErrors | [fNpar] Array of errors of the fNpar parameters |
| Double_t* | fParMax | [fNpar] Array of upper limits of the fNpar parameters |
| Double_t* | fParMin | [fNpar] Array of lower limits of the fNpar parameters |
| Double_t* | TFormula::fParams | [fNpar] Array of fNpar parameters |
| TObject* | fParent | !Parent object hooking this function (if one) |
| TFormulaPrimitive** | TFormula::fPredefined | ![fNPar] predefined function |
| Double_t* | fSave | [fNsave] Array of fNsave function values |
| TString | TNamed::fTitle | object title |
| Int_t | fType | (=0 for standard functions, 1 if pointer to function) |
| Double_t | fXmax | Upper bounds for the range |
| Double_t | fXmin | Lower bounds for the range |
| static Bool_t | fgAbsValue | use absolute value of function when computing integral |
| static TF1* | fgCurrent | pointer to current function being processed |
| static Bool_t | fgRejectPoint | True if point must be rejected in a fit |

F1 constructor using a formula definition See TFormula constructor for explanation of the formula syntax. See tutorials: fillrandom, first, fit1, formula1, multifit for real examples. Creates a function of type A or B between xmin and xmax if formula has the form "fffffff;xxxx;yyyy", it is assumed that the formula string is "fffffff" and "xxxx" and "yyyy" are the titles for the X and Y axis respectively.
F1 constructor using name of an interpreted function.
Creates a function of type C between xmin and xmax.
name is the name of an interpreted CINT cunction.
The function is defined with npar parameters
fcn must be a function of type:
Double_t fcn(Double_t *x, Double_t *params)
This constructor is called for functions of type C by CINT.
WARNING! A function created with this constructor cannot be Cloned.
F1 constructor using pointer to an interpreted function. See TFormula constructor for explanation of the formula syntax. Creates a function of type C between xmin and xmax. The function is defined with npar parameters fcn must be a function of type: Double_t fcn(Double_t *x, Double_t *params) see tutorial; myfit for an example of use also test/stress.cxx (see function stress1) This constructor is called for functions of type C by CINT. WARNING! A function created with this constructor cannot be Cloned.
F1 constructor using a pointer to a real function. npar is the number of free parameters used by the function This constructor creates a function of type C when invoked with the normal C++ compiler. see test program test/stress.cxx (function stress1) for an example. note the interface with an intermediate pointer. WARNING! A function created with this constructor cannot be Cloned.
F1 constructor using a pointer to real function. npar is the number of free parameters used by the function This constructor creates a function of type C when invoked with the normal C++ compiler. see test program test/stress.cxx (function stress1) for an example. note the interface with an intermediate pointer. WARNING! A function created with this constructor cannot be Cloned.
F1 constructor using the Functor class. xmin and xmax define the plotting range of the function npar is the number of free parameters used by the function This constructor can be used only in compiled code WARNING! A function created with this constructor cannot be Cloned.
Internal Function to Create a TF1 using a Functor. Used by the template constructors
F1 constructor from an interpreted class defining the operator() or Eval(). This constructor emulate the syntax of the template constructor using a C++ callable object (functor) which can be used only in C++ compiled mode. The class name is required to get the type of class given the void pointer ptr. For the method name is used the operator() (double *, double * ). Use the other constructor taking the method name for different method names. xmin and xmax specify the function plotting range npar are the number of function parameters see tutorial math.exampleFunctor.C for an example of using this constructor This constructor is used only when using CINT. In compiled mode the template constructor is used and in that case className is not needed
Internal function used to create from TF1 from an interpreter CINT class with the specified type (className) and member function name (methodName).
Static function: set the fgAbsValue flag. By default TF1::Integral uses the original function value to compute the integral However, TF1::Moment, CentralMoment require to compute the integral using the absolute value of the function.
Returns the first derivative of the function at point x, computed by Richardson's extrapolation method (use 2 derivative estimates to compute a third, more accurate estimation) first, derivatives with steps h and h/2 are computed by central difference formulasthe final estimate
"Numerical Methods for Scientists and Engineers", H.M.Antia, 2nd edition" if the argument params is null, the current function parameters are used, otherwise the parameters in params are used. the argument eps may be specified to control the step size (precision). the step size is taken as eps*(xmax-xmin). the default value (0.001) should be good enough for the vast majority of functions. Give a smaller value if your function has many changes of the second derivative in the function range. Getting the error via TF1::DerivativeError: (total error = roundoff error + interpolation error) the estimate of the roundoff error is taken as follows:
where k is the double precision, ai are coefficients used in central difference formulas interpolation error is decreased by making the step size h smaller. Author: Anna Kreshuk
Returns the second derivative of the function at point x, computed by Richardson's extrapolation method (use 2 derivative estimates to compute a third, more accurate estimation) first, derivatives with steps h and h/2 are computed by central difference formulasthe final estimate
"Numerical Methods for Scientists and Engineers", H.M.Antia, 2nd edition" if the argument params is null, the current function parameters are used, otherwise the parameters in params are used. the argument eps may be specified to control the step size (precision). the step size is taken as eps*(xmax-xmin). the default value (0.001) should be good enough for the vast majority of functions. Give a smaller value if your function has many changes of the second derivative in the function range. Getting the error via TF1::DerivativeError: (total error = roundoff error + interpolation error) the estimate of the roundoff error is taken as follows:
where k is the double precision, ai are coefficients used in central difference formulas interpolation error is decreased by making the step size h smaller. Author: Anna Kreshuk
Returns the third derivative of the function at point x, computed by Richardson's extrapolation method (use 2 derivative estimates to compute a third, more accurate estimation) first, derivatives with steps h and h/2 are computed by central difference formulasthe final estimate
"Numerical Methods for Scientists and Engineers", H.M.Antia, 2nd edition" if the argument params is null, the current function parameters are used, otherwise the parameters in params are used. the argument eps may be specified to control the step size (precision). the step size is taken as eps*(xmax-xmin). the default value (0.001) should be good enough for the vast majority of functions. Give a smaller value if your function has many changes of the second derivative in the function range. Getting the error via TF1::DerivativeError: (total error = roundoff error + interpolation error) the estimate of the roundoff error is taken as follows:
where k is the double precision, ai are coefficients used in central difference formulas interpolation error is decreased by making the step size h smaller. Author: Anna Kreshuk
Static function returning the error of the last call to the Derivative functions
Compute distance from point px,py to a function. Compute the closest distance of approach from point px,py to this function. The distance is computed in pixels units. Note that px is called with a negative value when the TF1 is in TGraph or TH1 list of functions. In this case there is no point looking at the histogram axis.
Draw this function with its current attributes. Possible option values are: "SAME" superimpose on top of existing picture "L" connect all computed points with a straight line "C" connect all computed points with a smooth curve. "FC" draw a fill area below a smooth curve Note that the default value is "L". Therefore to draw on top of an existing picture, specify option "LSAME" NB. You must use DrawCopy if you want to draw several times the same function in the current canvas.
Draw a copy of this function with its current attributes. This function MUST be used instead of Draw when you want to draw the same function with different parameters settings in the same canvas. Possible option values are: "SAME" superimpose on top of existing picture "L" connect all computed points with a straight line "C" connect all computed points with a smooth curve. "FC" draw a fill area below a smooth curve Note that the default value is "L". Therefore to draw on top of an existing picture, specify option "LSAME"
Draw formula between xmin and xmax.
Evaluate this formula.
Computes the value of this function (general case for a 3-d function)
at point x,y,z.
For a 1-d function give y=0 and z=0
The current value of variables x,y,z is passed through x, y and z.
The parameters used will be the ones in the array params if params is given
otherwise parameters will be taken from the stored data members fParams
Evaluate function with given coordinates and parameters. Compute the value of this function at point defined by array x and current values of parameters in array params. If argument params is omitted or equal 0, the internal values of parameters (array fParams) will be used instead. For a 1-D function only x[0] must be given. In case of a multi-dimemsional function, the arrays x must be filled with the corresponding number of dimensions. WARNING. In case of an interpreted function (fType=2), it is the user's responsability to initialize the parameters via InitArgs before calling this function. InitArgs should be called at least once to specify the addresses of the arguments x and params. InitArgs should be called everytime these addresses change.
Execute action corresponding to one event. This member function is called when a F1 is clicked with the locator
Fix the value of a parameter The specified value will be used in a fit operation
Return the maximum value of the function Method: First, the grid search is used to bracket the maximum with the step size = (xmax-xmin)/fNpx. This way, the step size can be controlled via the SetNpx() function. If the function is unimodal or if its extrema are far apart, setting the fNpx to a small value speeds the algorithm up many times. Then, Brent's method is applied on the bracketed interval
Return the X value corresponding to the maximum value of the function Method: First, the grid search is used to bracket the maximum with the step size = (xmax-xmin)/fNpx. This way, the step size can be controlled via the SetNpx() function. If the function is unimodal or if its extrema are far apart, setting the fNpx to a small value speeds the algorithm up many times. Then, Brent's method is applied on the bracketed interval
Returns the minimum value of the function on the (xmin, xmax) interval Method: First, the grid search is used to bracket the maximum with the step size = (xmax-xmin)/fNpx. This way, the step size can be controlled via the SetNpx() function. If the function is unimodal or if its extrema are far apart, setting the fNpx to a small value speeds the algorithm up many times. Then, Brent's method is applied on the bracketed interval
Returns the X value corresponding to the minimum value of the function on the (xmin, xmax) interval Method: First, the grid search is used to bracket the maximum with the step size = (xmax-xmin)/fNpx. This way, the step size can be controlled via the SetNpx() function. If the function is unimodal or if its extrema are far apart, setting the fNpx to a small value speeds the algorithm up many times. Then, Brent's method is applied on the bracketed interval
Returns the X value corresponding to the function value fy for (xmin<x<xmax). Method: First, the grid search is used to bracket the maximum with the step size = (xmax-xmin)/fNpx. This way, the step size can be controlled via the SetNpx() function. If the function is unimodal or if its extrema are far apart, setting the fNpx to a small value speeds the algorithm up many times. Then, Brent's method is applied on the bracketed interval
Grid search implementation, used to bracket the minimum and later use Brent's method with the bracketed interval The step of the search is set to (xmax-xmin)/fNpx type: 0-returns MinimumX 1-returns Minimum 2-returns MaximumX 3-returns Maximum 4-returns X corresponding to fy
Finds a minimum of a function, if the function is unimodal between xmin and xmax This method uses a combination of golden section search and parabolic interpolation Details about convergence and properties of this algorithm can be found in the book by R.P.Brent "Algorithms for Minimization Without Derivatives" or in the "Numerical Recipes", chapter 10.2 type: 0-returns MinimumX 1-returns Minimum 2-returns MaximumX 3-returns Maximum 4-returns X corresponding to fy if ok=true the method has converged
Return the number of degrees of freedom in the fit the fNDF parameter has been previously computed during a fit. The number of degrees of freedom corresponds to the number of points used in the fit minus the number of free parameters.
Redefines TObject::GetObjectInfo. Displays the function info (x, function value) corresponding to cursor position px,py
Return limits for parameter ipar.
Compute Quantiles for density distribution of this function
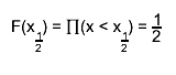
Quantile x_q of a probability distribution Function F is defined as
For instance the median
of a distribution is defined as that value
of the random variable for which the distribution function equals 0.5:
code from Eddy Offermann, Renaissance
input parameters
- this TF1 function
- nprobSum maximum size of array q and size of array probSum
- probSum array of positions where quantiles will be computed.
It is assumed to contain at least nprobSum values.
output
- return value nq (<=nprobSum) with the number of quantiles computed
- array q filled with nq quantiles
Getting quantiles from two histograms and storing results in a TGraph,
a so-called QQ-plot
TGraph *gr = new TGraph(nprob);
f1->GetQuantiles(nprob,gr->GetX());
f2->GetQuantiles(nprob,gr->GetY());
gr->Draw("alp");
Return a random number following this function shape The distribution contained in the function fname (TF1) is integrated over the channel contents. It is normalized to 1. For each bin the integral is approximated by a parabola. The parabola coefficients are stored as non persistent data members Getting one random number implies: - Generating a random number between 0 and 1 (say r1) - Look in which bin in the normalized integral r1 corresponds to - Evaluate the parabolic curve in the selected bin to find the corresponding X value. The parabolic approximation is very good as soon as the number of bins is greater than 50.
Return a random number following this function shape in [xmin,xmax] The distribution contained in the function fname (TF1) is integrated over the channel contents. It is normalized to 1. For each bin the integral is approximated by a parabola. The parabola coefficients are stored as non persistent data members Getting one random number implies: - Generating a random number between 0 and 1 (say r1) - Look in which bin in the normalized integral r1 corresponds to - Evaluate the parabolic curve in the selected bin to find the corresponding X value. The parabolic approximation is very good as soon as the number of bins is greater than 50. IMPORTANT NOTE The integral of the function is computed at fNpx points. If the function has sharp peaks, you should increase the number of points (SetNpx) such that the peak is correctly tabulated at several points.
Return range of a 2-D function.
Return range of function.
Compute the gradient (derivative) wrt a parameter ipar Parameters: ipar - index of parameter for which the derivative is computed x - point, where the derivative is computed eps - if the errors of parameters have been computed, the step used in numerical differentiation is eps*parameter_error. if the errors have not been computed, step=eps is used default value of eps = 0.01 Method is the same as in Derivative() function If a paramter is fixed, the gradient on this parameter = 0
Compute the gradient wrt parameters Parameters: x - point, were the gradient is computed grad - used to return the computed gradient, assumed to be of at least fNpar size eps - if the errors of parameters have been computed, the step used in numerical differentiation is eps*parameter_error. if the errors have not been computed, step=eps is used default value of eps = 0.01 Method is the same as in Derivative() function If a paramter is fixed, the gradient on this parameter = 0
Return Integral of function between a and b. based on original CERNLIB routine DGAUSS by Sigfried Kolbig converted to C++ by Rene Brun This function computes, to an attempted specified accuracy, the value of the integral.Usage: In any arithmetic expression, this function has the approximate value of the integral I. - A, B: End-points of integration interval. Note that B may be less than A. - params: Array of function parameters. If 0, use current parameters. - epsilon: Accuracy parameter (see Accuracy). Method: For any interval [a,b] we define g8(a,b) and g16(a,b) to be the 8-point and 16-point Gaussian quadrature approximations to
and define
Then,
where, starting with x0 = A and finishing with xk = B, the subdivision points xi(i=1,2,...) are given by
![]()
is equal to the first member of the sequence 1,1/2,1/4,... for which r(xi-1, xi) < EPS. If, at any stage in the process of subdivision, the ratio
is so small that 1+0.005q is indistinguishable from 1 to machine accuracy, an error exit occurs with the function value set equal to zero. Accuracy: Unless there is severe cancellation of positive and negative values of f(x) over the interval [A,B], the argument EPS may be considered as specifying a bound on the <I>relative</I> error of I in the case |I|>1, and a bound on the absolute error in the case |I|<1. More precisely, if k is the number of sub-intervals contributing to the approximation (see Method), and if
then the relation
will nearly always be true, provided the routine terminates without printing an error message. For functions f having no singularities in the closed interval [A,B] the accuracy will usually be much higher than this. Error handling: The requested accuracy cannot be obtained (see Method). The function value is set equal to zero. Note 1: Values of the function f(x) at the interval end-points A and B are not required. The subprogram may therefore be used when these values are undefined. Note 2: Instead of TF1::Integral, you may want to use the combination of TF1::CalcGaussLegendreSamplingPoints and TF1::IntegralFast. See an example with the following script: void gint() { TF1 *g = new TF1("g","gaus",-5,5); g->SetParameters(1,0,1); //default gaus integration method uses 6 points //not suitable to integrate on a large domain double r1 = g->Integral(0,5); double r2 = g->Integral(0,1000); //try with user directives computing more points Int_t np = 1000; double *x=new double[np]; double *w=new double[np]; g->CalcGaussLegendreSamplingPoints(np,x,w,1e-15); double r3 = g->IntegralFast(np,x,w,0,5); double r4 = g->IntegralFast(np,x,w,0,1000); double r5 = g->IntegralFast(np,x,w,0,10000); double r6 = g->IntegralFast(np,x,w,0,100000); printf("g->Integral(0,5) = %g\n",r1); printf("g->Integral(0,1000) = %g\n",r2); printf("g->IntegralFast(n,x,w,0,5) = %g\n",r3); printf("g->IntegralFast(n,x,w,0,1000) = %g\n",r4); printf("g->IntegralFast(n,x,w,0,10000) = %g\n",r5); printf("g->IntegralFast(n,x,w,0,100000)= %g\n",r6); delete [] x; delete [] w; } This example produces the following results: g->Integral(0,5) = 1.25331 g->Integral(0,1000) = 1.25319 g->IntegralFast(n,x,w,0,5) = 1.25331 g->IntegralFast(n,x,w,0,1000) = 1.25331 g->IntegralFast(n,x,w,0,10000) = 1.25331 g->IntegralFast(n,x,w,0,100000)= 1.253
Return Integral of a 2d function in range [ax,bx],[ay,by]
Return Integral of a 3d function in range [ax,bx],[ay,by],[az,bz]
Return Error on Integral of a parameteric function between a and b due to the parameters uncertainties It is assumed the parameters are estimated from a fit and the covariance matrix resulting from the fit is used in estimating this error. IMPORTANT NOTE: The calculation is valid assuming the parameters are resulting from the latest fit. If in the meantime a fit is done using another function, the routine will signal an error and return zero.
Gauss-Legendre integral, see CalcGaussLegendreSamplingPoints
See more general prototype below. This interface kept for back compatibility
Adaptive Quadrature for Multiple Integrals over N-Dimensional Rectangular RegionsAuthor(s): A.C. Genz, A.A. Malik converted/adapted by R.Brun to C++ from Fortran CERNLIB routine RADMUL (D120) The new code features many changes compared to the Fortran version. Note that this function is currently called only by TF2::Integral (n=2) and TF3::Integral (n=3). This function computes, to an attempted specified accuracy, the value of the integral over an n-dimensional rectangular region. Input parameters: n : Number of dimensions [2,15] a,b : One-dimensional arrays of length >= N . On entry A[i], and B[i], contain the lower and upper limits of integration, respectively. minpts: Minimum number of function evaluations requested. Must not exceed maxpts. if minpts < 1 minpts is set to 2^n +2*n*(n+1) +1 maxpts: Maximum number of function evaluations to be allowed. maxpts >= 2^n +2*n*(n+1) +1 if maxpts<minpts, maxpts is set to 10*minpts eps : Specified relative accuracy. Output parameters: relerr : Contains, on exit, an estimation of the relative accuracy of the result. nfnevl : number of function evaluations performed. ifail : 0 Normal exit. . At least minpts and at most maxpts calls to the function were performed. 1 maxpts is too small for the specified accuracy eps. The result and relerr contain the values obtainable for the specified value of maxpts. 3 n<2 or n>15 Method: An integration rule of degree seven is used together with a certain strategy of subdivision. For a more detailed description of the method see References. Notes: 1.Multi-dimensional integration is time-consuming. For each rectangular subregion, the routine requires function evaluations. Careful programming of the integrand might result in substantial saving of time. 2.Numerical integration usually works best for smooth functions. Some analysis or suitable transformations of the integral prior to numerical work may contribute to numerical efficiency. References: 1.A.C. Genz and A.A. Malik, Remarks on algorithm 006: An adaptive algorithm for numerical integration over an N-dimensional rectangular region, J. Comput. Appl. Math. 6 (1980) 295-302. 2.A. van Doren and L. de Ridder, An adaptive algorithm for numerical integration over an n-dimensional cube, J.Comput. Appl. Math. 2 (1976) 207-217.
Release parameter number ipar If used in a fit, the parameter can vary freely. The parameter limits are reset to 0,0.
Save primitive as a C++ statement(s) on output stream out
Static function setting the current function. the current function may be accessed in static C-like functions when fitting or painting a function.
Set the maximum value along Y for this function In case the function is already drawn, set also the maximum in the helper histogram
Set the minimum value along Y for this function In case the function is already drawn, set also the minimum in the helper histogram
Set the number of degrees of freedom ndf should be the number of points used in a fit - the number of free parameters
Set the number of points used to draw the function The default number of points along x is 100 for 1-d functions and 30 for 2-d/3-d functions You can increase this value to get a better resolution when drawing pictures with sharp peaks or to get a better result when using TF1::GetRandom the minimum number of points is 4, the maximum is 100000 for 1-d and 10000 for 2-d/3-d functions
Set errors for all active parameters when calling this function, the array errors must have at least fNpar values
Set limits for parameter ipar. The specified limits will be used in a fit operation when the option "B" is specified (Bounds). To fix a parameter, use TF1::FixParameter
Initialize the upper and lower bounds to draw the function.
The function range is also used in an histogram fit operation
when the option "R" is specified.
Set function title if title has the form "fffffff;xxxx;yyyy", it is assumed that the function title is "fffffff" and "xxxx" and "yyyy" are the titles for the X and Y axis respectively.
Called by functions such as SetRange, SetNpx, SetParameters to force the deletion of the associated histogram or Integral
Static function to set the global flag to reject points the fgRejectPoint global flag is tested by all fit functions if TRUE the point is not included in the fit. This flag can be set by a user in a fitting function. The fgRejectPoint flag is reset by the TH1 and TGraph fitting functions.
Type safe interface (static method) The number of sampling points are taken from the TGraph
for using TF1 as a callable object (functor)
{ return EvalPar(x,params); }{return Moment(1,a,b,params,epsilon);}{return CentralMoment(2,a,b,params,epsilon);}